



前一节所给出的简单处理与实验有一些不符合的地方,上节给出的是有均匀间隔的能级,而实验观察到的振动能级却显示出随v增加而收敛. 为了获得这样一个特点,就需要用比前节中的势函数更接近于真实的势函数U(r),特别要注意对大r值时势函数的行为.
莫尔斯(P.M. Morse)建议了下列形式的势函数:
它在r=r e 处有极小值为零,对大的r值趋近于某一有限值D. 在r=0处,实际的势能函数应该是无穷大,但莫尔斯势却是有限的. 不过,莫尔斯势在这一点的值也很大,所以这一缺陷并不严重.
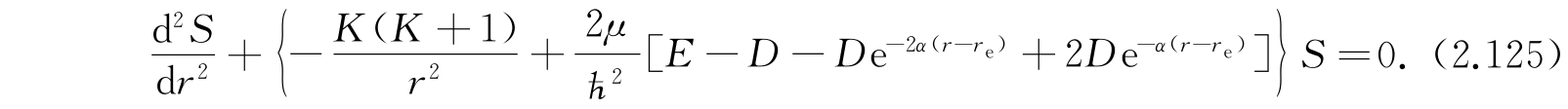
将式(2.124)代入式(2.110),我们得到
我们作下列替换:
方程变为
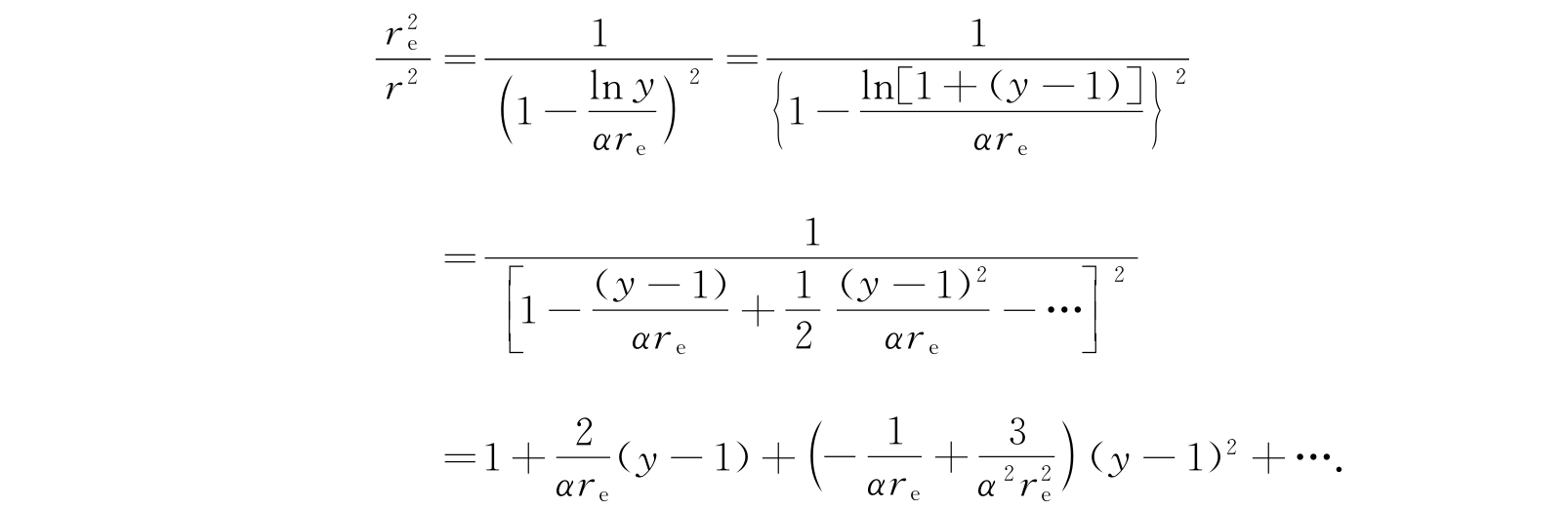
最后一项是转动和振动型的耦合效应,所以在低转动和振动态时是很小的. 在平衡时r=r e ,y=1,我们把(r e /r) 2 展成(y-1)的幂级数:
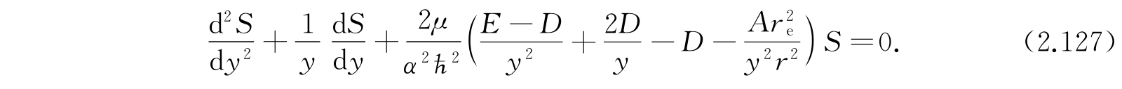
只用已经写出的前三项,方程(2.127)就变成
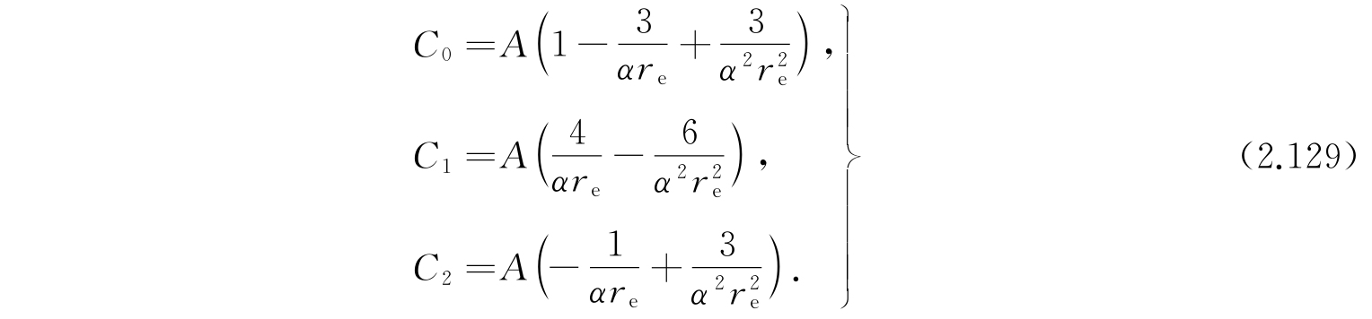
其中
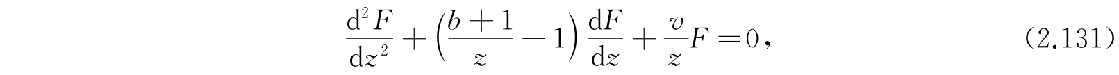
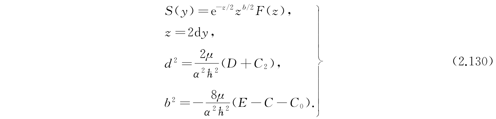
现在用下列替换可以把式(2.128)化成前面处理过的氢原子的径向函数方程:
于是就有
其中
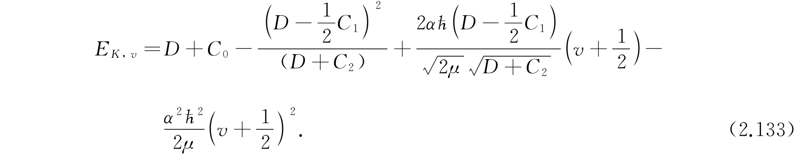
这一方程与氢原子的半径波函数的方程很相似,并且能够用拉盖尔多项式解.v的本征值是0,1,2,…. 利用式(2.130)和(2.132)解E,得
因为A是很小的,因此我们应该把上面的表示式展成C 1 /D和C 2 /D的幂次项,于是
而
其中c是真空中的光速.
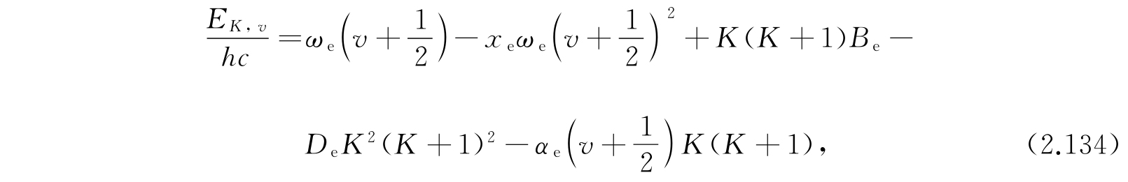
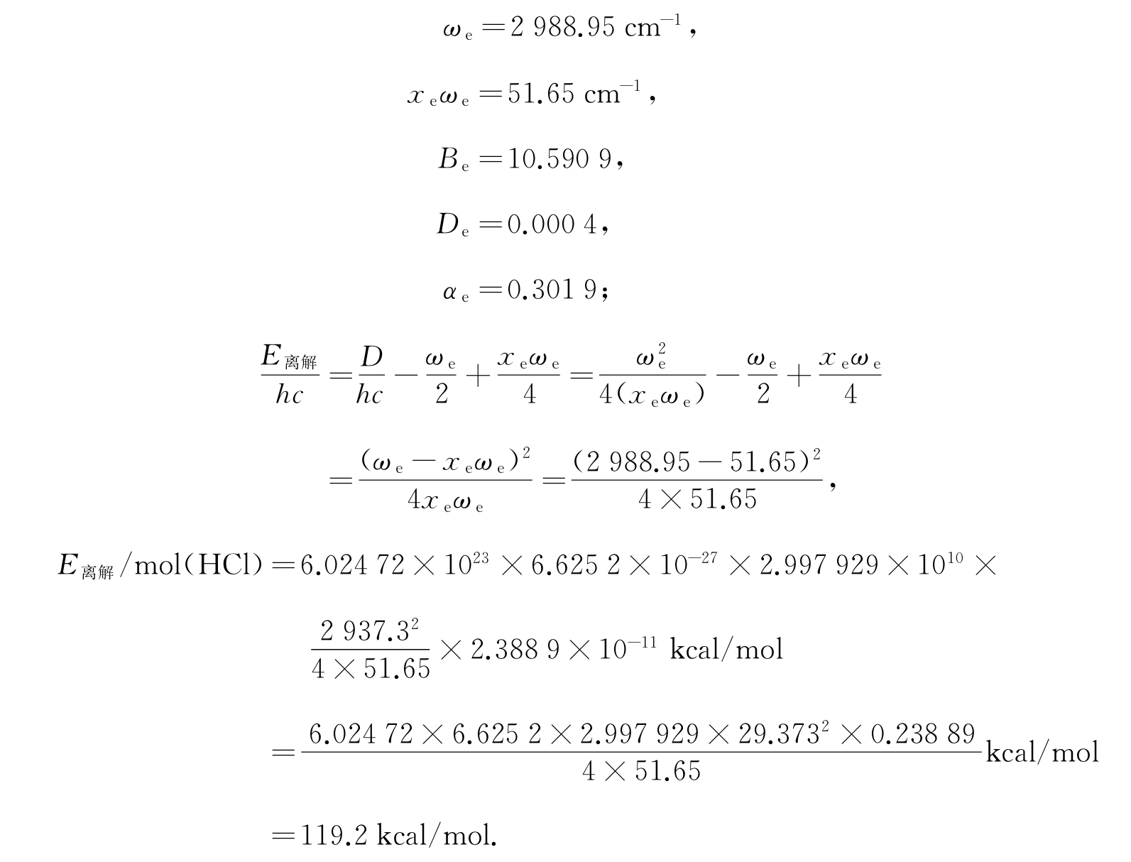
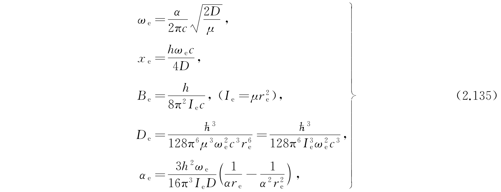
这一关系式几乎对所有双原子分子都能给出非常精确的能级数值. 无须说明,所有的计算是关于较低电子能级的. 式(2.134)中的常数的实验值曾经由赫兹堡(G. Herzberg)
给出. 根据假定的势函数V(r),显然由式(2.134)计算的E只当E<D时才有意义. 对E>D,按照2.2节的一般讨论,能级应该是连续的而不是间断的. 所以间断能级的数目是有限的. 在应用式(2.134)时必须记住这一事实. 基态(v=0,K=0)的能量是
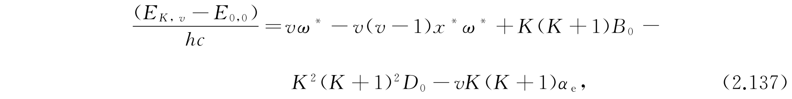
E K,v 和E 0,0 的差值是
其中
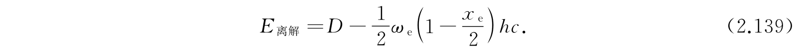
离解能是D-E 0,0 ,即
D可以按照式(2.135)由ω e 和x e 计算出来,所以离解能也可以从光谱数据计算出来. 但是式(2.135)由各种近似得到,这样测定的离解能不可能希望是准确的;实际上也常和用更直接的方法所确定的数值不很一致. 我们可以举一个例子,考虑氯化氢(HCl)分子,就有
实验值是102.1 kcal/mol(1 cal=4.186 8 J),约有17%的误差,但作为估计则是够用的了. 这说明从光谱的数据,我们能估计分子的离解能.