



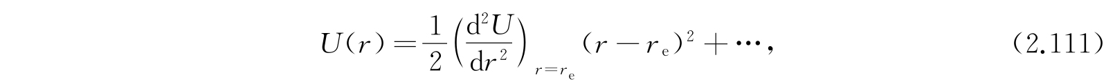
关于双原子分子的原子间的力能够作出的最简单的假定是:力正比于核间距r和它的平衡值r e 的差值. 因为U在r e 处有一极小,从而在r e 附近,
在r e 处U取作零,所以能量W是从U(r e )量起的. 令
和
ρ=r-r e , (2.113)
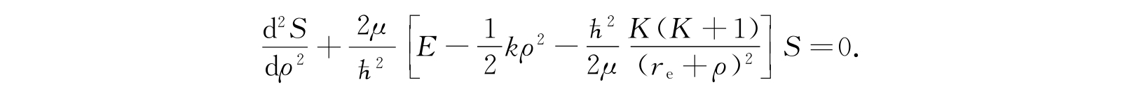
由方程(2.110)得到
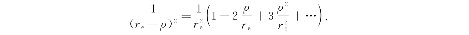
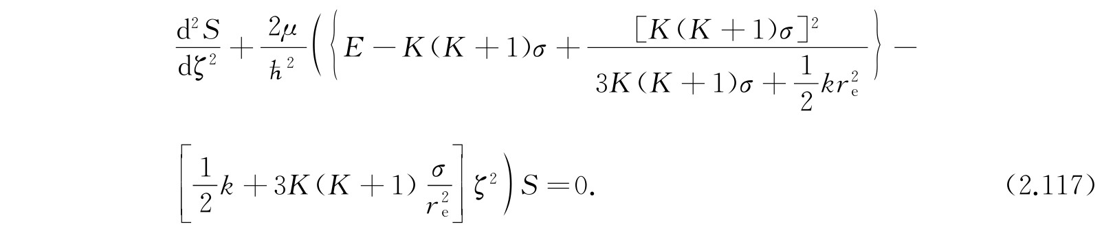
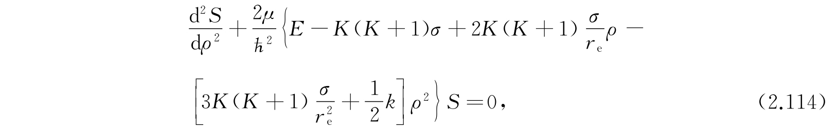
由于这一近似只对小ρ值适用,因此上述方程中最后一项应该展成
保留到ρ的平方项,方程可以写作
其中
I e 是分子转动惯量的平衡值.
利用
我们能够把式(2.114)化为式(2.25)那样的谐振子方程:
边界条件是在r=0和r=∞时S等于零. 这一条件和谐振子的边界条件有些不同:对谐振子在ζ=±∞时S是零. 但是因为S在经典许可的区域以外迅速地减少,把这两个条件看作等价,实际上也并不会引进严重的误差,所以我们可以用谐振子的波函数作为函数S的近似.
于是能级为
其中
如果我们引入在平衡状态附近的振动频率ν e ,
就得到最终的近似公式
第一项显然是分子被看作谐振子的振动能;第二项是假定分子为刚体时的转动能;第三项的来源是:考虑非刚性分子由于转动产生分子的伸长,伸长后角惯量又有所改变,因此又产生这个修正项. 更高次的项并不可靠,因为所假定的势函数不够精确. 大多数分子的实验数据很好地适合方程(2.121). 对于更精确的工作,还需要其他的项并且需要比式(2.111)更精确的势函数.
前面已经说过,量子数K是和分子的转动关联的. 但是现在得到的转动能是
. 若p
θ
是转动的角动量,就正如线性动量的情形,转动能是
. 所以对任何特殊K值,角动量是
因为按照方程(2.107),有2K+1个M值与各个不同的波函数对应,也与不同的转动轴定向对应,所以转动态是2K+1重退化的. 事实上发现在任意特别选定的方向,例如分子的轴(取作z轴)上角动量的分量是
这些结果对任何具有转动惯量为I e 的刚性线转子都是对的. 需要着重指出的是:按照方程(2.115),决定I e 的是平衡核间距和核质量,而不是原子的质量.