



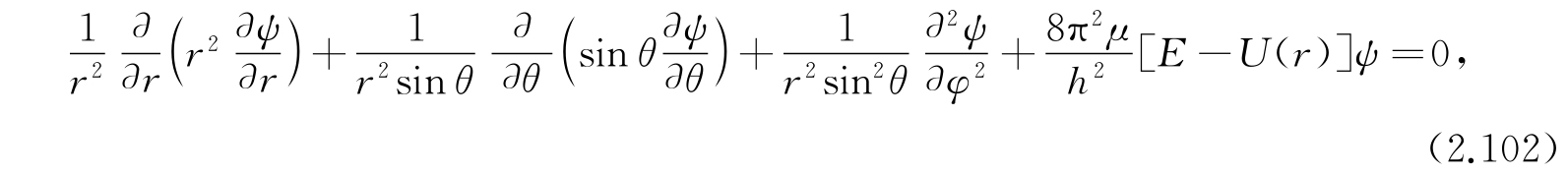
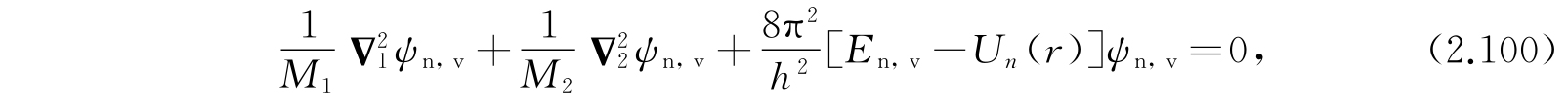
现在我们要考虑最简单的分子——双原子分子的原子核波函数和对应的能级. 我们将假定第n个电子能量U n 现在仅是核间距离r的已知函数. 双原子分子的振动-转动波函数ψ n,v 适合
其中ψ n,v =ψ n,v (x 1 ,y 1 ,z 1 ,x 2 ,y 2 ,z 2 )是核运动的波函数,M 1 和M 2 是两个核各自的质量,而
x i 、y i 、z i 是第i个核相对于固定在空间中的轴的笛卡儿坐标. 方程(2.100)与氢原子的波动方程一致,不过这里的两个粒子都是原子核而不是一个质子和一个电子. 所以在处理这一方程时可以和前面的氢原子方程联系起来(参看2.6和2.8节). 在U n (r)的形式中代入r的方程以前,所有的步骤是相同的. 因此,分子的内部运动的方程变成
其中μ是约化质量,
而r、θ、φ是第二个核相对于作为原点的第一个核的极坐标. 假若我们设
ψ(r,θ,φ)=R(r)Θ(θ)Φ(φ), (2.104)
如同对类氢原子一样,我们有
和
其中
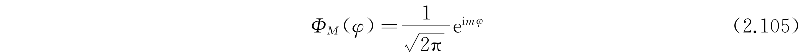
(cos θ)是一个关联勒让德函数. 按照分子光谱学家的习惯,K称为角量子数,M称为磁量子数.K与M都必须是整数,并且
正如氢原子的情形,量子数M和K代表角动量.
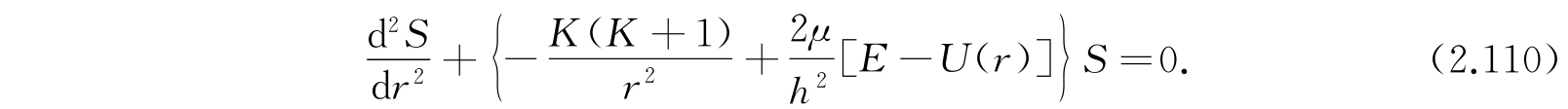
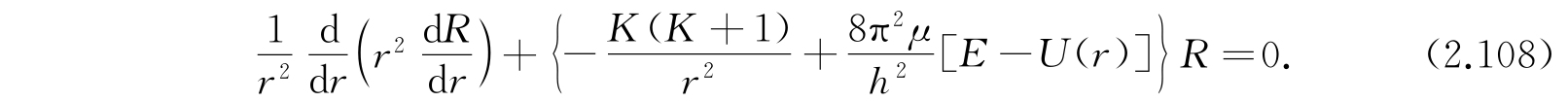
R(r)的方程是
利用替换
我们有