



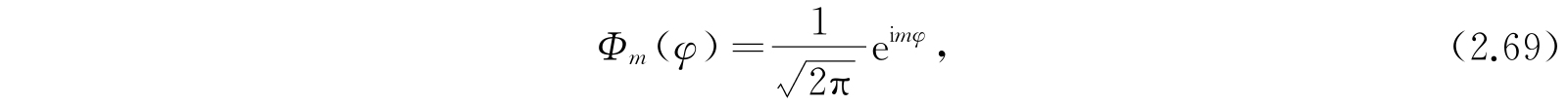
现在我们转向氢原子的内部动力学问题. 首先我们看到方程(2.59)的解是
为了满足单值条件,参数m必须是整数. 因此m=0,±1,±2,±3,….
是归一化因子,也就是
为了找函数Θ(θ),我们引进
z=cosθ, (2.71)
方程(2.60)就变成
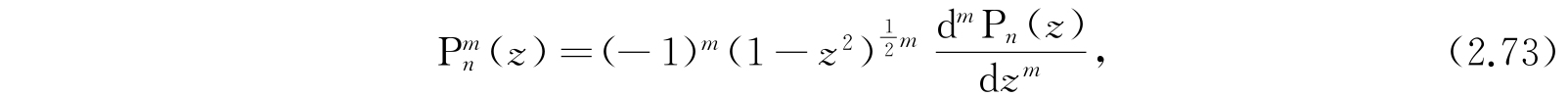
这个微分方程的解是熟知的关联勒让德(Legendre)函数
,而这个函数的定义是
其中P n (z)是勒让德n次多项式. 那么事情立刻很清楚:m必须是正的才不会使解在z=±1(θ=0,2π)时变为无穷大. 所以实际上这解应写成
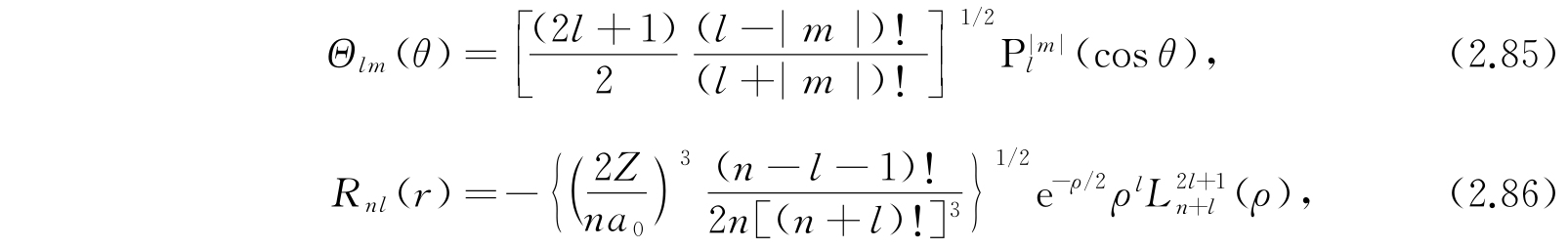
另外P l (z)的次数l也必须是正整数,必须等于或大于|m|才不会使解等于零. 将这解代入方程(2.72)就得到
更详细的研究指出,这样规定的解是唯一可用的波函数Θ(θ). 在物理术语中,m叫作磁量子数,而l是角量子数. 应该在这里着重指出,现在得到的Φ(φ)和Θ(θ)是与势能函数V(r)无关的,对任意的V(r)它们都适用,在以后我们将利用这个事实.V(r)的效应只对波函数R(r)出现,我们就来证明这一点.
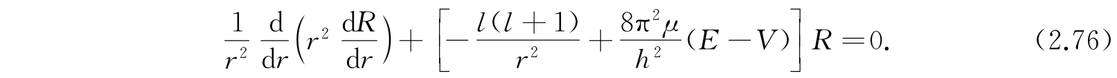
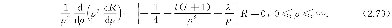
利用式(2.75),R(r)的方程(2.61)就变成
在库仑引力的作用下,V(r)=-Ze 2 /r,Z是核电荷的数目,或者是原子序数. 让我们首先考虑E是负值的情形,这相当于总能量不足以使原子离解的情形. 引进符号
和
以及新的自变量
方程(2.76)变成
现在把因变量改变如下:
那么L(ρ)的方程是
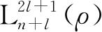
满足方程的解是关联拉盖尔(Laguerre)多项式
,其中
λ=n, n=整数 (2.82)
和
从方程(2.83)的定义,我们看到圆括弧中的量是一个r次的多项式. 为了使关联拉盖尔多项式不等于零,必须使
n=l+1,l+2,…, (2.84)
n叫作主量子数.
利用勒让德多项式和拉盖尔多项式的已知性质,我们能够决定Θ(θ)和R(r)的归一化因子. 实际上,
其中
由于这些多项式是相互正交的,所以波函数ψ nlm (r,θ,φ)=R nl (r)Θ lm Φ m (φ)也是相互正交的,也就是
在n≠n′,l≠l′和m≠m′时等于零. 当n=n′,l=l′和m=m′时积分是1.
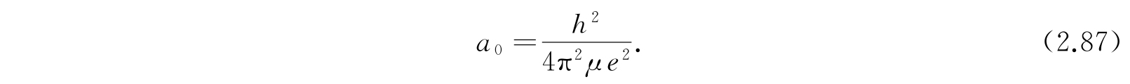
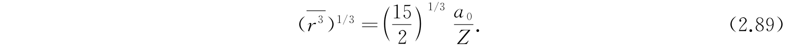
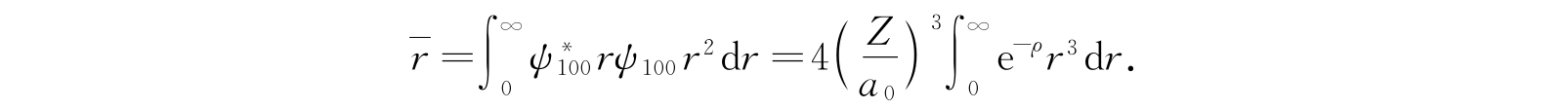
让我们作一个简单的数字计算:在最低能级,n=1,l=m=0,于是
电子与核的平均径向距离
利用式(2.78),
再利用式(2.77),我们最终得到
类似地,
基于有效体积的观点,可以认为这是基态时原子的尺寸. 对氢原子,Z=1,a
0
=0.529Å;
,
. 最后的数值与表1.7中列举的范德瓦耳斯半径1.3Å是接近的,这表明了我们的理论是与事实相符合的.