



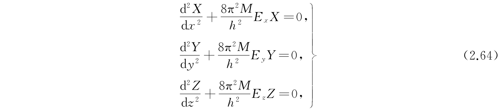
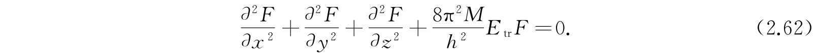
在进行氢原子的内部动力学的详细计算以前,我们先研究由方程(2.54)描述的原子整体的运动. 我们用M表示体系的总质量m 1 +m 2 ,于是平动波函数就由下列方程决定:
现在让我们试用解
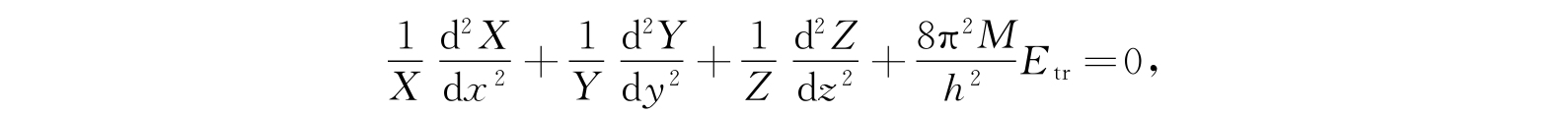
于是方程(2.62)给出
其中每一项应该是常数. 因而,我们可以令
其中
方程(2.64)的解是
现在必须考察函数F,E tr =E x +E y +E z 应该取怎样的数值才能满足2.5节所规定的波函数条件. 因为正弦函数是连续的、单值的,并对辐角的所有实数值是有限的,加在E上的唯一限制是:E x 、E y 和E z 必须是正的,因此E tr 也只能是正的数值. 这样我们就得出结论:自由粒子可能的能值是连续的.
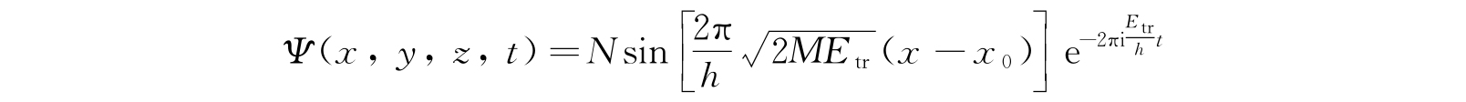
在讨论这一个体系的波函数的物理意义时,让我们首先考虑E y 和E z 为零,而E x =E tr 的波函数所代表的物理状态. 函数
是一组波前与x轴垂直的驻波. 波长由下式给定:
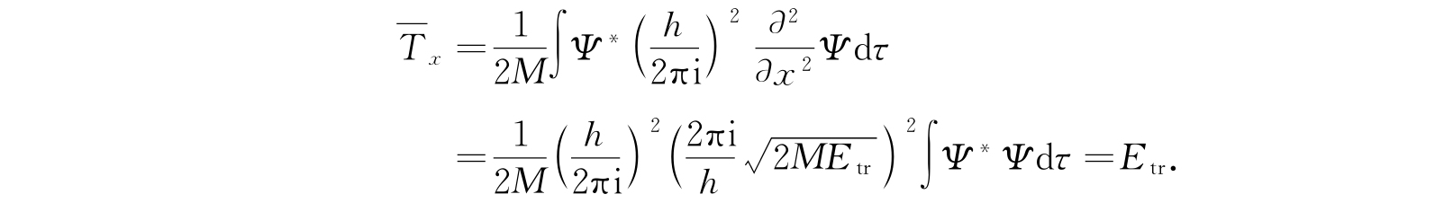
在经典力学中以速度v运动的质量为M的自由粒子具有总能量
. 或者我们把动能写为
,T
x
的平均值可以计算如下:
类似地,我们能找到
,按照2.3节的讨论,这表示沿x轴运动的动能有确定的数值E
tr
,它的概率分布函数除对这数值外都为零,因而我们有
. 方程(2.67)就可以写成
这是和具有质量M及速度v的运动粒子相关联的德布罗意(de Broglie)波长的表示式.
利用单色平面波函数
,我们可以发现p
x
的平均值
为零. 这不能解释成粒子沿x轴的运动方向是时正时负,而是粒子沿其中一个方向运动,但在两个运动方向上的概率相等. 为了作出一个代表运动粒子的波函数Ψ,可以用基本解叠加,这里不再进行描述,读者可以参阅量子力学的书籍.