



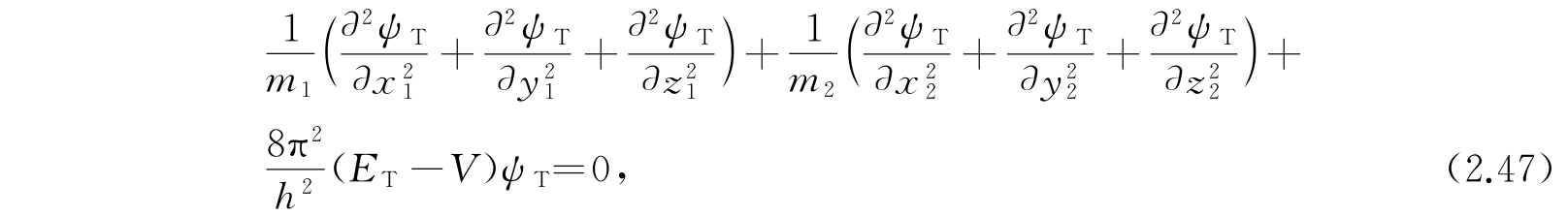
现在我们来说明氢原子的量子力学计算. 我们将会看到,由于氢原子是两质点(一个电子和一个质子)组合,从这一概念出发,我们能够很精确地计算得到氢原子的定态和其他重要性质. 质子和电子之间可能有的相互作用是万有引力和静电力. 但是静电力,或者是库仑力远比万有引力要大得多,所以我们可以忽略掉万有引力. 为了广泛起见,我们令核电荷是+Ze(对质子Z=1),电子电荷是-e. 那么体系的势能就是-Ze 2 /r,这里r是核和电子间的距离. 假使我们将核和电子的笛卡儿坐标写作x 1 、y 1 、z 1 和x 2 、y 2 、z 2 ,而将它们的质量写作m 1 和m 2 ,则波动方程的形式就成为
其中
这里E与ψ的下标T是表明整个体系的物理量,它们包含有六个坐标.
波动方程立刻可以分离成两个,一个代表把原子作为整体的平移运动,另一个代表两个粒子的相对运动. 当势能V像上面所说那样,只是两个粒子的相对坐标的函数,也就是V=V(x 1 -x 2 ,y 1 -y 2 ,z 1 -z 2 ),那么并不需要知道势能函数的具体形式,就可以完成波动方程的分解. 例如,氢原子处在z方向的恒定电场中时,由于场强E产生的势能是eEz 2 -eEz 1 =-eE(z 1 -z 2 ),就可以包括在这类情形中.
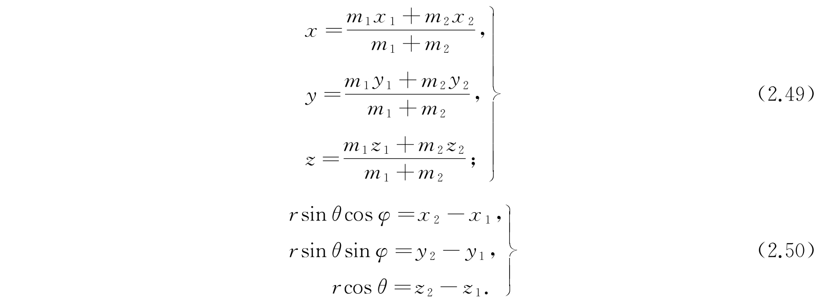
为了有效地进行分离,我们引进新变量x、y、z,它们是体系质量中心的笛卡儿坐标;此外r、θ、φ是第二个粒子相对于第一个粒子的极坐标. 这些坐标和两个粒子的笛卡儿坐标的关系如下:
新变量的引入是很容易完成的,这样,方程(2.47)就转化成下列形式:
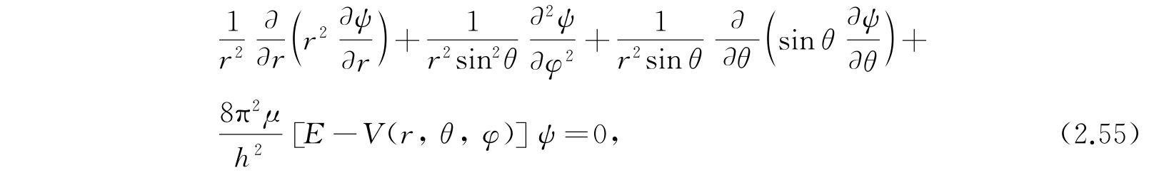
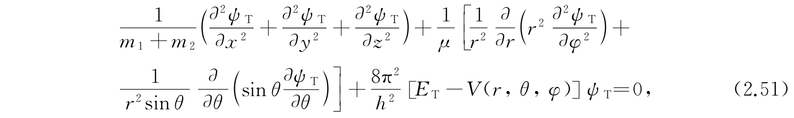
其中引进的符号μ代表下列数量:
μ是体系的约化质量. 如果m 1 和m 2 有很大的差别时,μ接近于较小质点的质量. 我们注意到第一个括弧中是ψ T 在笛卡儿坐标(x,y,z)中的拉普拉斯算符,而第二个大括弧中是ψ T 在极坐标(r,θ,φ)中的拉普拉斯算符. 所以我们企图来分离这个方程,而把ψ T 表示为x、y、z的函数和r、θ、φ的函数的乘积:
把方程(2.53)代入方程(2.51),就得到
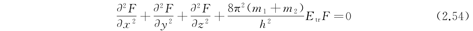
和
并且
这一方程系有一个简单的解释:方程(2.54)显然是一个质量等于m 1 +m 2 (体系的质量总和)的粒子的波动方程,其空间坐标为m 1 和m 2 的质量中心. 这里的势能是零,所以它实际上描述的是自由粒子的运动;E tr 也就是自由粒子的平动能. 方程(2.55)是具有势能V和约化质量μ的粒子的波动方程,它描述了体系的内部运动,E是体系的内部能量.
如果我们再限制势能V只是r的函数,
V=V(r),
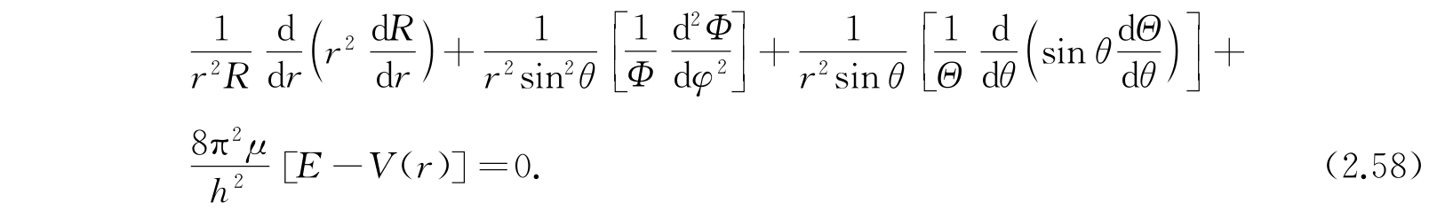
方程(2.55)能够进一步分离. 将ψ写成
代入方程(2.55)并除以RΘΦ,就变成
在乘上r
2
sin
2
θ以后,第二项留下的部分
只能够是独立变量φ的函数,但从整个方程来看,却等于一些与φ无关的项. 所以这一项应该等于常数,我们把这个常数写作-m
2
:
于是包含有θ与r的方程可以写成
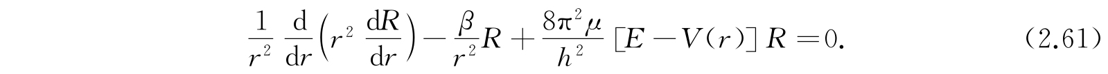
这方程的第二项和第三项与r无关,而余下的部分和θ无关,所以我们能够使这两个部分的每一部分都等于常数. 令包含θ项的部分等于常数-β,而包含r项的部分等于+β,我们得到两个方程
和
为了确定容许的能值,现在可以解方程(2.59)、(2.60)和(2.61). 解的步骤如下:首先找出方程(2.59)的合适解和参数m的相应数值. 将这些m值代入方程(2.60),就能发现只有β在某些值时方程(2.60)才有合适的解. 最后把这些结果引进方程(2.61),我们就找到能级E.