



对三维空间中相互作用的N个粒子的体系,薛定谔方程和前节中处理的一自由度简单体系十分相似. 含时方程是一个有3N+1个独立变量(N个粒子的3N个笛卡儿坐标和时间)的偏微分方程,波函数是这3N+1个变量的函数. 和简单体系一样,利用类似的变换可以使含时方程分离成只含时间的方程和包含3N个坐标的振幅方程. 只含时间的方程和简单体系的方程相同,所以对点粒子的一般体系,定态波函数与时间的关系与一维情形相同. 但是振幅方程就不是原来的一个变量的常微分方程,而是3N个独立变量即3N个坐标的偏微分方程. 为了方便起见,我们说这是3N维位形空间中的方程,意思就是要找一个对3N个笛卡儿坐标x 1 ,…,z N 的一切数值(-∞到+∞)都能满足方程的解;这样的解是3N个坐标的振幅函数,也就是位形空间中的一个函数. 位形空间中的一个点与坐标x 1 ,…,z N 的一组确定数值对应,因此在一般空间中确定了粒子的位置,也就是确定了体系的位形. 关于一般体系的波动方程,波函数的附加条件,以及波函数的物理意义是和一自由度体系相似的,唯一的变化是因位形空间的维数增加而引起的.
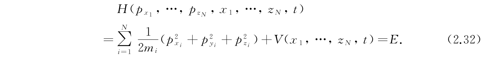
让我们考虑包含N个点粒子的体系:这N个粒子的质量为m 1 ,m 2 ,…,m N ,处在以势能函数V(x 1 ,y 1 ,…,z N ;t)表示的力场影响下,在三维空间中运动. 这里x 1 ,…,z N 是N个粒子的3N个笛卡儿坐标. 代表粒子间的相互作用或者粒子和外力场的相互作用,或者是两种情况共存的势能函数V只可以是3N个坐标的函数,也可以是时间的函数. 在前一种情形,V=V(x 1 ,…,z N ),我们的体系也就是保守体系. 我们的主要兴趣就集中在这一类型的体系上,因此,我们的讨论就只限于这类体系. 这类体系的薛定谔波动方程是
这个方程经常写成
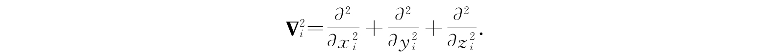
其中
是第i个粒子的拉普拉斯算符,也就是
可以注意到,一般体系的含时薛定谔方程和经典能量方程在形式上是相互关联的,其关系和前节中的一自由度体系相同. 对点粒子的牛顿体系有能量方程
把动能用动量表出来就变成
现在用算符
代替
,…,
,又以算符
代替E,并引进Ψ(x
1
,…,z
N
,t),使算符作用在它上面,方程就变为
这与方程(2.30)一致. 恰如在一维情形中那样,波动方程可以形式地简写成
HΨ=EΨ. (2.33)
现在让我们把注意力转到保守体系上,这时V只是3N个坐标的函数. 解这一情形中的波动方程,我们可以像求解2.1节中的简单问题一样地进行. 这就是令
代入方程(2.30)中,我们就有对ψ和φ的两个方程:
和
后一方程常写为
这是点粒子保守系的薛定谔振幅方程. 为了能够把解采纳作波函数,方程的解要满足2.2节所给的辅助条件. 这些条件必须在全部位形空间中成立,也就是对3N个坐标中的每一个从-∞到+∞间的所有数值都成立. 就像一维情形一样,只对能量参数E的某些数值有适合的解存在. 这些数值可以是间断的,或连续的,或两者都有.
通常可以用3N个整数来标记能量参数的各个有效值和对应的振幅函数,它们代表与3N个坐标结合的量子数n
1
,…,n
3N
. 结合的方式将用以后的例子来说明. 现在我们用一个字母n代表所有的量子数n
1
,…,n
3N
,并且用简单的符号E
n
和ψ
n
代替
,…,n
3N
和
,…,n
3N
.
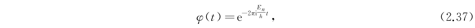
对φ(t)的方程(2.35)积分,得
这和一维情况完全相同. 波动方程的各个特殊解将是
这代表了体系的各个定态. 波动方程的一般解是
其中a
n
是常数. 符号
代表对所有的间断E
n
值求和以及对所有的连续E
n
值积分.
波函数Ψ * (x 1 ,…,z N ,t)是共轭波动方程
的一个解. 对保守体系,这个方程的一般解是
对该一般体系波函数的物理意义与2.3节中关于一自由度体系的讨论非常相似. 因此, 量 Ψ * (x 1 ,…,z N ,t)Ψ(x 1 ,…,z N ,t)dx 1 ,…,dz N 是物理状态由波函数 Ψ(x 1 ,…,z N ,t) 所代表的体系在时间 t 处在位形空间的体积单元 dx 1 ,…,dz N 中的概率 .Ψ * Ψ就起着体系位形的概率分布函数的作用. 函数Ψ(x 1 ,…,z N ,t)必须归一化,就是要满足方程
其中符号dτ代表位形空间中的体积单元dx 1 ,…,dz N ,而积分拓展到全部位形空间. 按照方程
也可以使振幅函数ψ(x 1 ,…,z N )归一化.
更进一步,还可以用
使波函数正交. 如果用这样一些正交归一的波函数,将一般的波函数Ψ如方程(2.39)和(2.41)展开,其归一化条件为
和2.3节类似的论证说明Ψ
n
(x
1
,…,z
N
,t)=ψ
n
(x
1
,…,z
N
)
给出的概率分布函数是和时间无关的,因此与定态对应.
根据2.3节所示的线索,可以给波函数指出更一般的物理解释. 如果G(
,…,
,x
1
,…,z
N
,t)是体系的某一个动力学的量,它的平均值用
表示,于是
其中算符G是通过G(
,…,
,x
1
,…,z
N
,t)把其中的
,…,
代之以
,…,
而得来的. 积分也拓展到全部的位形空间.