



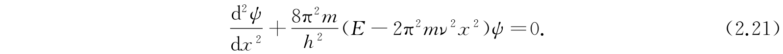
作为用薛定谔方程解力学体系的第一个例子,我们选择一维谐振子,之所以挑选这个体系,不仅是因为这个例子能很好地说明应用波动方程的方法,同时也因为这个体系在以后的应用上相当重要.
在经典力学中,对某一弹性系数为k的线形弹簧,在某一位置x时的势能是
. 假设m是质量,ν是振子的频率,则k=4π
2
mν
2
. 因此可以写成V(x)=2π
2
mν
2
x
2
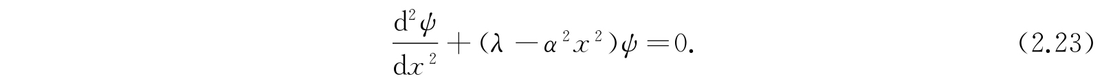
,表示我们在考虑一个具有经典频率ν的谐振子. 将这个势能代入一维体系的波动方程中去,那么,
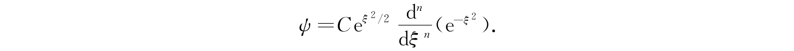
为了方便起见,我们引入
于是
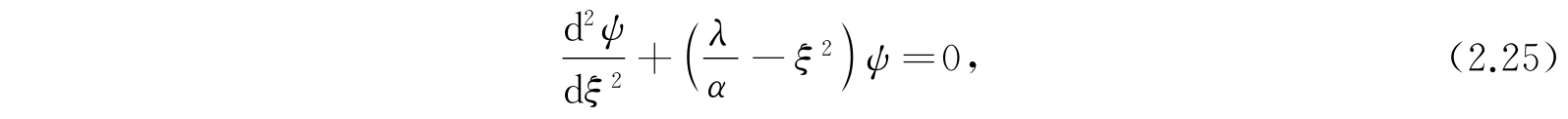
我们希望ψ(x)对-∞<x<+∞间的所有x值都满足这个方程,并且满足函数是连续的、单值的和在全空间是有限的条件. 现在令
方程(2.23)变成
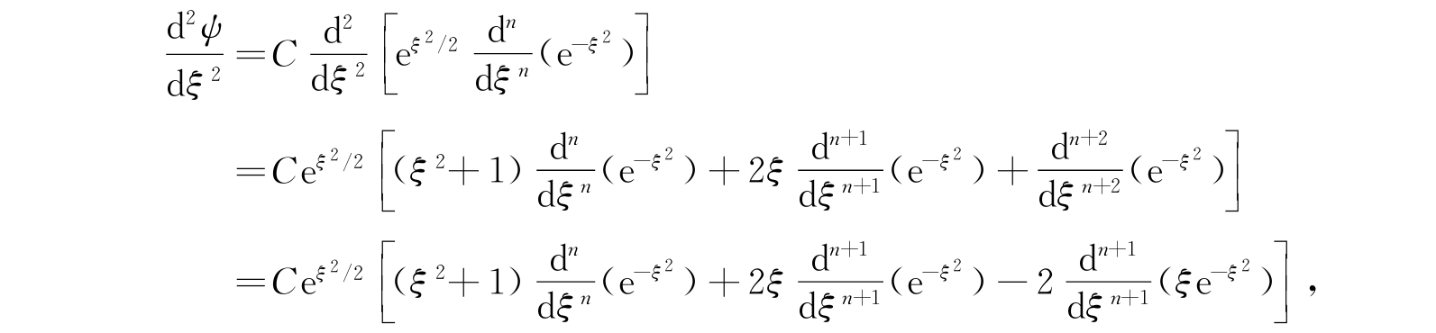
我们试用下面的解:
这个解显然是适于用来作为波函数的,其中C是待定的归一化常数. 为了看它是否能满足方程(2.25),我们先求微商
括号中的最后一项可以用欧拉公式展开:
因此方程(2.25)给出
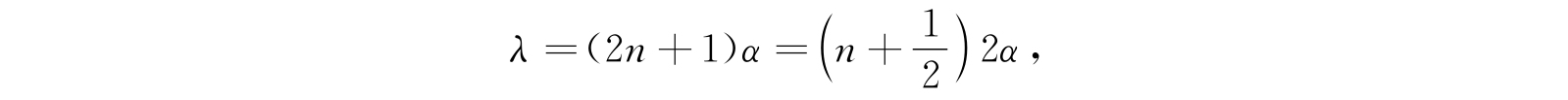
所以本征值为
于是由方程(2.22),
说明了间断能态有均匀的间隔,n可以确定量子能级序数,一般叫作主量子数.
关于方程(2.26)有一个值得注意的结果,就是最低能态不为零,而是等于
. 这就是所谓的零点能,它表示了即使在最低能态时,质点也不停止运动. 这一事实和测不准原理密切相关,在这个原则下,质点实际上是永远不停止游移的. 对于宏观质量,ν总不很大,由于h是一个非常小的量,所以hν在数值上也是很小的. 这样零点能也就可以忽略不计. 其次能级的间隔是hν,所以间隔也很小,因此对于一个宏观质量,能量几乎是连续的,所以对于宏观质量可以忽略量子效应. 只是对微观体系,量子效应才是重要的. 低能级能量的大小与h和频率ν的乘积同级,这就是量子力学的特征结果,并且将要在下面的讨论中常常用到.
波动方程的这一个解可以写成更普遍的归一化形式:
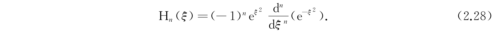
其中H n (ξ)是厄米(Hermite)n次多项式,它是由下面的式子来计算的:
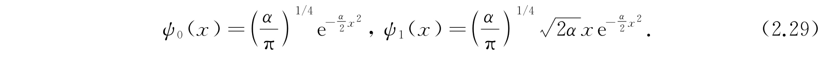
对最低能态(n=0)及次一个能态(n=1),我们有
它们的平方就是概率分布函数,如图2.3所示. 在图中我们还表示了粒子位置的经典概率. 这样,量子情形和经典情形的差异就清楚地显示出来了. 按照经典理论,振子的最小能量是E=0,并相当于停在平衡位置上的振子能量. 在这种情况下,除了点x=0外,概率处处为零. 在量子情形中,原点处有最大概率,但由于零点能的存在,在原点以外找到粒子的概率也不等于零. 当n=2时,可以看到量子概率在经典的运动边界(A和B点)附近也具有极大值,和经典情形不同的是在边界以外找到粒子的概率也不等于零. 这似乎是一个令人惊异的结果:“粒子能穿透到一个势能大于总能量的区域中去.”但是这种情况对量子力学来说并没有任何矛盾,因为根据测不准原理,粒子的位置和速度是不能同时测准的量. 因此,总能量和势能也不是同时能测准的量.
图2.3 低能态谐振子概率分布函数
对于较高的能态,n>0,ψ
n
有n个零点,所以概率分布函数
也有n个零点,这也是量子力学的一个值得注意的结果. 但是假使我们不管这些零点的存在,随着n→∞时概率分布函数的一般形状是和谐振子的经典概率分布函数越来越接近的. 图2.4表示n=10的情形. 这结果或者是可以想象的,因为对于宏观质量来说,大的n值才有实际意义,而那时量子力学和经典力学的结果就很接近.
图2.4 高能态谐振子概率分布函数