



为了解方程(2.1),我们用分离变量的方法,也就是将
Ψ(x,t)=ψ(x)φ(t) (2.6)
代入方程(2.1)再除以ψ(x)φ(t),就得到
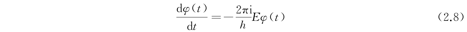
上述方程的右方是时间t的函数,而左方仅是坐标x的函数. 因此方程的每一边就必须等于一个既不依赖x也不依赖t的数值;也就是说等于一个常数,我们叫它为E. 现在方程(2.7)可以写成两个方程,就是
和
习惯上把后一方程写成
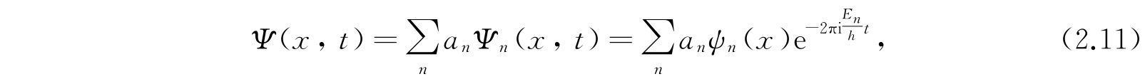
方程(2.9)常被称为薛定谔波动方程,有时也叫作振幅方程,因为ψ(x)确定函数Ψ(x,t)的振幅. 与常数E的不同数值相对应,这个方程有不同的解. 我们用下标n来区别这些E的值. 类似地,与E n 对应的振幅函数用ψ n (x)表示.φ(t)的方程可以立刻积分出:
方程(2.1)是线性的,它的一般解是所有具有任意系数的特殊解的叠加. 所以我们把这个体系的波函数的一般形式表示为
其中a
n
是常数. 符号
表示对E
n
的断续值求和,或者是对一连续区间积分,也可以同时包含两种情况,按照特殊例子的需要而定.
以后会指出,关于波函数的物理意义所作的一般假设,要求常数E n 代表体系处在不同定态时的能量,因此把E n 叫作波动方程的特性能值或本征值. 既然我们要把波函数的绝对值平方解释成概率分布函数,为了使解释能说得通,而且不含糊,就必须给波函数以某些限制,例如单值性等. 事实上要成为合适的波函数, 薛定谔波动方程的解必须是连续的、单值的,而且一般来说,在体系的全部位形空间 (也就是对体系的所有可能的坐标x) 中是有限的 .
对一给定的体系,特性能值E n 可以是一组断续值,或者有一连续的区间,也可以是两种情况都有. 和光谱相似,常常说在这三种情形中能值是一组断续谱、连续谱,或两者并存. 习惯地把图2.1所表示的体系的特性能值标记成:E 0 是最低态,E 1 其次,并依此类推. 这些能值与波函数ψ 0 (x)、ψ 1 (x)、ψ 2 (x)等是对应的.E n 和ψ n (x)的下标n(整数)叫作量子数. 对这样一个一维体系,数n等于ψ n 所有的节点数目. 正如图2.1所示,假使E大于V(-∞)或V(+∞)中的一个,分析的结果指出,E的值是连续的,因此,当x→-∞或x→∞时,如果V(x)趋近有限值,特性能值就会同时有连续谱和断续谱.
图2.1 体系的特性能值
在波动方程和它的解的物理解释中,Ψ(x,t)的共轭复数Ψ * (x,t)是和Ψ(x,t)等价的. Ψ * 满足的波动方程是方程(2.1)的复数共轭,就是
这个共轭方程的一般解是
必须注意,含时指数项在Ψ
*
(x,t)和Ψ(x,t)中是不同的,形成共轭复数时要去掉负号. 另外,振幅函数ψ
n
(x)常常是实数,在这种场合就有
.