购买
下载掌阅APP,畅读海量书库
立即打开
畅读海量书库
扫码下载掌阅APP

2.2 液晶的性质

液晶是物质状态(相)的一种,是介于液体和固体之间的一种状态,也被称为液态晶体,是具有结晶性的液体,可以流动,通常由特殊形状的有机物分子组成。

LCD依赖于液晶分子对光偏振态的调控,要了解LCD的原理,需要理解液晶的光学和电学性质。

2.2.1 液晶的发展

液晶有着大约100年的历史,当今液晶研究已经变成了一门重要学科。

1888年,液晶由奥地利植物学家弗里德里希·莱尼泽(Friedrich Reinitzer)首次发现。在测定有机化合物熔点时,他发现将胡萝卜中的苯甲酸胆固醇酯加热到145.5℃时会熔化,并产生白色浑浊物,在温度升到178.5℃后,液体透明。透明液体稍微冷却,浑浊又会出现。这种浑浊液体的中间相具有与晶体相似的性质。莱尼泽找到德国物理学家奥托·雷曼(Otto Lehmann),雷曼使用具有加热功能和偏光镜的显微镜研究浑浊液体,发现其具有双折射性质,并称浑浊液体为流动晶体(Fliessende Kristalle)。莱尼泽和雷曼因此被誉为液晶之父。但雷曼所发现的液晶在当时并没有得到实际应用,甚至几乎被遗忘了。

1922年,法国人乔治斯·弗里德尔(Georges Friedel)仔细分析了当时已知的液晶,按照分子排列方式,把液晶分为三类:向列型(Nematic)液晶、层列型(Smectic)液晶、胆甾型(也称为胆固醇型,Cholesteric)液晶。前两者分别取自希腊文线状和清洁剂(肥皂)。胆固醇型液晶因首次在胆固醇酯中发现而得名,如果用近代分类法,则属于向列型液晶。其实弗里德尔对“液晶”一词不赞同,他认为“中间相”才是最合适的表达。20世纪70年代才发现的碟形液晶,是由具有高对称性的原状分子重叠组成的向列型或柱形系统。按照液晶的产生条件及相态结构等又有不同的分类方式和命名,具体分类方式见2.2.2节和2.2.3节。

1968年,法国物理学家皮埃尔-吉勒·德热纳(Pierre-Gilles de Gennes)开始研究液晶,并编著了《液晶物理学》一书。它是液晶领域的权威著作。同时,皮埃尔还是软物质(液晶、胶体、高分子、泡沫、凝胶)领域的开创者,被称为软物质物理之父。1991年,皮埃尔获得诺贝尔物理学奖,贡献为“发现研究简单系统中有序现象的方法可以被推广到比较复杂的物质形式,特别是推广到液晶和聚合物的研究中”。

1971年,人们发现了TN-LCD(Twisted Nematic LCD,扭曲向列型液晶显示)模式,使LCD迅速工业化。20世纪80年代初,人们相继开发了STN-LCD(Super Twisted Nematic LCD,超扭曲向列型液晶显示)、FLC-LCD(Ferroelectric Liquid Crystal LCD,铁电液晶显示)和AM-LCD(Active Matrix LCD,主动矩阵液晶显示,即TFT-LCD)等现代显示技术。其中,STN-LCD和AM-LCD在1985—1987年相继实现了大规模量产。

2.2.2 液晶的分类

按照分子结构分类,液晶主要分为棒/杆形液晶和碟形液晶(Discotic LC)。

(1)传统的棒/杆形液晶是在1922年被发现的,如图2-12(a)所示,包括向列型液晶、层列型(近晶型)液晶和胆甾型(胆固醇型)液晶。

(2)碟形液晶在1970年左右被发现,如图2-12(b)所示,包括向列型液晶、向列柱形液晶和柱形(Columnar)液晶。目前有大量关于碟形液晶的文章发表,其主要应用于显示和存储技术等。

图2-12 液晶分类:按照结构分类

棒形液晶向列相的特点是分子只有一维有序。如图2-13所示,向列相分子质心没有长程有序性,具有类似于普通液体的流动性,分子不排列成层,能够上、下、左、右、前、后滑动,长轴相互平行,对外界电场、磁场、温度、应力敏感。该相结构的液晶是LCD的主要材料。

胆甾型(胆固醇型)液晶主要是从胆固醇中发现的,每层均像向列型液晶,如图2-14所示。胆甾相也被称为Chiral Nematic,是向列相的一种特殊状态,不同的是该相结构的液晶每层的排列方向(指向矢)不同。螺距 P 被定义为指向矢旋转360°所经过的距离,容易受外力影响,电场、磁场均可使胆甾相转变为向列相。

图2-13 部分向列型液晶分子

图2-14 部分胆甾型液晶分子

层列型(近晶型)液晶的特点是分子二维有序。如图2-15所示,层列相分子能够排列成层,层内长轴平行,且各层距离可以变动,分子在层内滑动。由于层列型液晶的黏度和表面张力大,因此对外界变化不敏感。

图2-15 部分层列型液晶分子

按照产生方式分类,液晶主要分为热致液晶(Thermotropic LC)和溶致液晶(Lyotropic LC)。

(1)如图2-16(a)所示,热致液晶是通过把某些有机物加热溶解,由加热破坏结晶晶格而形成的,显示用的液晶基本都是热致液晶。

(2)如图2-16(b)所示,溶致液晶是通过把某些有机物放在一定的溶剂中,由溶剂破坏结晶晶格形成的,在生物系统中较为常见。近些年,人们开始尝试用溶致液晶制备偏光膜,以能制备厚度小、薄膜化且工艺简单的溶致液晶固态偏光膜。

图2-16 液晶分类:按照产生方式分类

2.2.3 液晶的各向异性

前面介绍了液晶的基本概念和常见分类。本节将简单介绍液晶的各种物理性质。由于液晶分子结构的各向异性(Anisotropic),介电常数及折射率等特性都具有各向异性,因此我们可以利用这些性质来改变入射光的强度,以形成灰阶,将其应用于显示技术中。

(1)介电常数的各向异性。如图2-17(a)所示,以棒形液晶为例,分子长轴和短轴具有不同的性质,末端和侧面所接的基团不同,存在电学各向异性。指向矢 n 是描述液晶分子长轴平均取向的物理量,取分子长轴方向为指向矢 n 的方向。如图2-17(b)所示,通常定义介电常数 ϵ (平行于 n 的分量)和 ϵ (垂直于 n 的分量),两者之差Δ ϵ = ϵ 反映了因外加电场而极化的程度:当Δ ϵ >0时,称为正(P)性液晶;当Δ ϵ <0时,称为负(N)性液晶(注意,与光学正性、负性区分开)。在外加电场的作用下,正性液晶分子的长轴朝着平行于电力线的方向旋转,负性液晶分子的长轴朝着垂直于电力线的方向旋转。并且液晶分子的旋转程度与电场强度相关,当电场强度足够大时,液晶分子最终平行或垂直于电力线的方向排列,如图2-17(c)所示。

液晶分子的介电常数差Δ ϵ 影响液晶分子对电场的敏感程度。在相同条件下,Δ ϵ 越大,液晶分子对电场越敏感,在电场作用下,液晶分子越容易发生转动,所需的驱动电压越小。

(2)折射率的各向异性。在光学特性上液晶分子也存在各向异性。在前面的章节中提到了双折射效应,也就是存在两个折射率 n n ,其方向分别平行和垂直于指向矢 n

图2-17 棒形液晶介电常数的各向异性

对于向列型液晶和层列型液晶,如图2-18(a)所示,指向矢 n 的方向一般是光轴方向,o光折射率 n o = n ,e光折射率 n e = n

对于胆甾型液晶,如图2-18(b)所示,与指向矢 n 垂直的螺旋轴相当于光轴,o光折射率 ,e光折射率 n e = n

图2-18 液晶折射率的各向异性

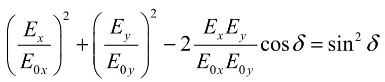
由于o光和e光的传播速度不同,因此在透射出液晶分子后,两者存在相位差,相位差的大小决定了两者合成之后光的振动方向和振动强度。因此,入射光经过液晶层的相位差Δ n⋅d d 为液晶层的厚度)是液晶分子影响光学特性的重要参数,与显示透过率、对比度、视角等息息相关。这里假设入射偏振光的 x y 方向分量分别为

E x = E 0 x cos( ωt-k z )= E 0 cos θ cos( ωt-k z

E y = E 0 y cos( ωt-k z )= E 0 sin θ cos (ωt-k z

偏振椭圆方程为

式中,相位差

如图2-19(a)所示,入射光偏振方向与指向矢的初始夹角为 θ ,从液晶出射时的偏振态由相位差 δ 决定。当偏振方向平行或者垂直于指向矢 n ,即图2-19(b)中 θ =0°/90°时,出射方向不变;当 θ 为其他角度时,出射时的偏振态变成椭圆偏振、圆偏振。

图2-19 液晶的双折射效应

2.2.4 液晶的旋光特性

2.2.3节提及液晶可以改变光的偏振态,利用的是液晶的光学各向异性,TN-LCD主要利用了液晶的旋光性质。前面小节提到具有双折射性的材料都有旋光性。根据液晶的连续体理论(后面小节会细讲),如图2-20所示,液晶分子可以从上到下均匀转一个角度,图中液晶分子转动了1/4个螺距,入射光的偏振方向可以随着液晶分子的指向矢旋转。在液晶分子扭曲排列的螺距 P (指向矢 n 旋转360°所经过的距离)大大超过光的波长的情况下,若光以平行于分子轴的偏振方向入射,则随着光轴的扭曲,光将以平行于出射面光轴的偏振方向射出;若光以垂直于光轴的偏振方向入射,则光将以垂直于出射面光轴的偏振方向射出;若光以其他线偏振光的方向入射,根据双折射效应带来的附加相位差,则光将以椭圆、圆或直线等形式射出。

图2-20 液晶分子转动1/4螺距示意图

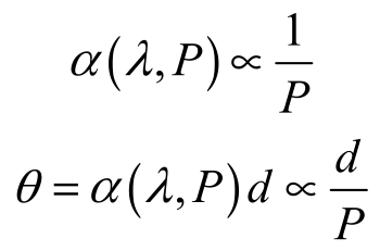
通常,旋光角度与厚度成正比,即公式 θ λ )d 。如图2-21所示,由于液晶分子相邻层间依次规则地扭转一定角度,形成螺旋面结构,因此液晶分子的螺距 P 可调,旋光率也是螺距的函数,旋光角度可表示为 θ = α λ P d 。由于旋光色散,因此不同波长的光通过液晶分子后的旋转角度虽不同,但TN模式最重要的特点是液晶的旋光设置满足摩根(J.A.Morgan)条件:液晶分子的厚度和双折射率(两个折射率的差Δ n )的乘积远大于入射光波长的一半,也就是

d⋅ Δ n λ /2

图2-21 TN液晶分子的螺距可调

当光通过液晶层时,偏振面发生的旋转与波长无关,几乎没有旋光色散。或者说,当满足摩根条件时,不同波长的入射光经过液晶层后各,自偏振面产生的旋转角度是一样的,旋光率在可见光范围内几乎不变,所有光在通过TN液晶后都旋转同样的角度:

一般TN-LCD的厚度是 d = P /4(旋转90°),大约为10μm。对于高扭曲向列型(HTN)液晶和超扭曲向列型(STN)液晶而言,旋光性能在可见光范围内变化较大,人眼可以看到明显的旋光色散。

2.2.5 液晶的连续体理论

像一般的固体问题和流体问题那样,有关液晶的许多重要物理现象都可以把液晶当作连续介质来处理,这种连续体模型最早是由欧欣(C.W.Qseen)和祖歇(H.Zöcher)在20世纪20年代后期提出的。20世纪50年代后期,弗兰克(F.C.Frank)重新研究了欧欣的处理方法,并整理出了曲率弹性理论。虽然液晶是液态物质,不能产生像固体那样的形变,但液晶在外场作用下可以改变指向矢的方向;液晶在取消外场后,通过分子间的相互作用,又有恢复到原有取向的趋势。这种现象和固体的弹性形变类似,被称为液晶的连续体理论,也叫作欧欣-弗兰克(Oseen-Frank)液晶连续体理论。

液晶的指向矢 n 是某一体积内液晶分子长轴取向的平均方向,若液晶中各处的指向矢偏离了平衡态时的方向,则称液晶发生了形变。液晶中各处的指向矢并不相同,根据液晶的连续体理论,指向矢 n 为位置 r 的连续函数。图2-22显示了液晶中的三种形变类型或三类弗雷德里克兹转变(Fréedericksz Transition):展曲(Splay)、扭曲(Twist)和弯曲(Bend),指向矢都是连续变化的。

如图2-23所示,在向列型液晶分子的上下表面,通过取向膜锚定上下两层分子的指向矢,使之成90°夹角。因为指向矢 n 为位置 r 的连续函数,向列型液晶的上下两层分子之间呈螺旋状排列,即形成了TN液晶。

图2-22 液晶中的三种形变类型

图2-23 通过取向膜使向列型液晶分子呈螺旋状排列,形成TN液晶

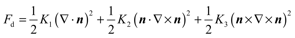
由于液晶分子在外场作用前后分别处于两个不同的平衡状态,分子自由能分别处于一个极小值的情况,因此用自由能变化来分析液晶分子的弗雷德里克兹转变比较方便。畸变自由能密度(Distortion Free Energy Density)的定义为:描述液晶的自由能密度增加(均匀排列到畸变)的量,也叫作弗兰克(Frank)自由能密度。液晶分子在形变过程中的弹性形变自由能可表述为

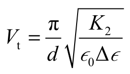
上式中相加的三项自由能依次代表了“展曲”自由能、“扭曲”自由能和“弯曲”自由能。其中, K i 为弗兰克常数(Frank Constants), n 为指向矢。液晶从一个平衡态到另一个平衡态,指向矢在电场中的分布使系统的自由能趋向最小值。通过求上式的极小值,可以推导出阈值电压(Threshold Voltage,液晶转向的最小电压),对于TN-LCD,阈值电压为

可以看出,Δ ϵ 越大,阈值电压越低。 IXgTpkcsciPF+fXxGlKMrsNkek5nJa4nLRX4pJ0qbxK0+cE9oLA9Oe97Qi5aJ/+9

点击中间区域
呼出菜单
上一章
目录
下一章
×

打开