



很多人在小学期间就接触过欧几里得算法(The Euclidean Algorithm) [8] ,它就是数学课本中的辗转相除法。它最早出现在欧几里得所著的《几何原本》中,书中不光介绍了平面几何和立体几何,还介绍了一些基础数论的知识,如整除性、素数、最大公约数、最小公倍数等。中国古代学者也发现了辗转相除法,如在《九章算术》中,作者就介绍了约分术。其原文是:“ 约分术日:可半者半之,不可半者,副置分母子之数,以少减多,更相减损,求其等也。以等数约之。 ”大意是给定两个整数,如果它们都为偶数,则将它们减半后再计算;如果不是偶数,则用较大的数减去较小的数,然后将所得差与较小的数组合为一对新的数,再用大数减小数,反复相减直到差数与较小的数相等,这个等数就是最初两个数的最大公约数。
遗憾的是,《几何原本》中的数学知识有明确的概念及严格的推导过程和证明,《九章算术》则没有。因此后世也将辗转相除法称为欧几里得算法。
如果
是两个整数,其中至少有一个非零整数,那么
和
的最大公约数(The Greatest Common Divisor,GCD) 就是能同时除
和
的最大整数,记作
。并且它们有几个性质,如果
且
,那么
能整除
就说明
。如果
,在除法定理中,
。
那么如何找到
呢? 使用欧几里得算法。
1)设
,并且
。令
,
。通过除法定理,可求得:
2)如果
,显然
能整除
,因此
。如果
,那么用
除
则得到整数
和
:
3)如果
,显然
能整除
,因此
。如果
,那么用
除
则得到整数
和
。对于
,可求得:
4)继续使用该除法过程直到余数等于 0 为止,最后一个非零余数就是最大公约数
:
这是因为余数组成的递减序列是
,不会包含大于
的整数。对于
,有
。因此
。
如果
,那么
。以下展示两个计算最大公约数的示例。
例
2.3.1
计算
。
解:
所以
。
例
2.3.2
计算
。
解:
所以
。
计算最大公约数的 Python 代码如下,该函数与
math.gcd(a,b)
结果相同。
1 def gcd(a, b):
2 if(b == 0):
3 return abs(a)
4 else:
5 return gcd(b, a % b)
假设
,
,如果
,那么就可以说
是互素(Coprime)的。
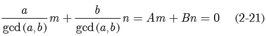
现在设想一个问题,如果给定 3 个整数
,需要在方程
中找到所有的整数
,应该如何运算呢?该方程也称不定方程或者丢番图方程(Diophantine Equation),值得注意的是,如果
,则式子被称为齐次的(Homogeneous),反之,则称为非齐次的。
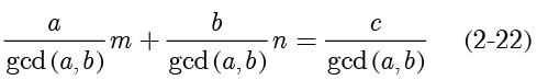
首先假设
,那么
。这个时候需要同除以
,得到:
其中
,
,此时
。下一步,可以将
和
两式联立,得到
,
,
,有多组解。
假设
,同样的,式子左右都同除以
,得到:
值得注意的是,如果
不能整除
,那么方程无解。如果可以整除
,那么式子就可以改写成
,
。接着使用欧几里得算法找到方程
的解
,方程
的解
等于
,方程
的解
等于
。
最后,联立
和
,得到解:
例
2.3.3
找出式
的所有解。
解:
首先使用欧几里得算法计算得到最大公约数
,发现 7 可以整除 35 ,有解。接着式子同除以
:
然后对式子
使用欧几里得算法,得到:
,
。而
。因此最后得到解
,其中
。