



    除法定理也称带余除法。设
     ,且
    ,且
     。如果存在
    。如果存在
     ,使得
    ,使得
     ,则称
    ,则称
     整除
    整除
     ,记作
    ,记作
     。此时,
    。此时,
     叫作
    叫作
     的因数,
    的因数,
     叫作
    叫作
     的倍数。
    的倍数。
   
    如果
     不能整除
    不能整除
     ,则记作
    ,则记作
     。由于不能整除,这个时候就需要引入余数,即除法定理
    
     [8]
    
    。
    。由于不能整除,这个时候就需要引入余数,即除法定理
    
     [8]
    
    。
   
定理2.2.1 除法定理(Division Theorem)
    设
     且
    且
     ,这样存在唯一的整数
    ,这样存在唯一的整数
     使得:
    使得:
   
 
   
    并且
     。
    。
     被称为商 (Quotient),
    被称为商 (Quotient),
     被称为余数 (Remainder)。
    被称为余数 (Remainder)。
   
除法定理是整除的基本定理,是数论的证明中最基本、最常用的工具。例如,在证明与整数不同进制表示相关的定理时,就需要用到除法定理。下面尝试证明除法定理。
证明
    设
     且
    且
     。考虑整数序列:
    。考虑整数序列:
   
 
   
    则
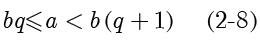
     必在上述序列某相邻的两项之间。假设:
    必在上述序列某相邻的两项之间。假设:
   
 
   
    于是
     ,令
    ,令
     ,则
    ,则
     。因此,当
    。因此,当
     时,就有
    时,就有
     ,证明了
    ,证明了
     的存在性。
    的存在性。
   
    假设存在另一组
     ,使得
    ,使得
     ,
    ,
     ,则:
    ,则:
   
 
   
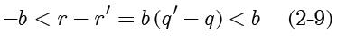
    因此
     ,从而
    ,从而
     ,即
    ,即
     ,
    ,
     ,证明了
    
     q
    
    ,
    
     r
    
    具有唯一性。
    ,证明了
    
     q
    
    ,
    
     r
    
    具有唯一性。
   
结合存在性和唯一性,除法定理得证。
    
     例
    
    
     2.2.1
    
    当
     ,
    ,
     。计算
    。计算
     除以
    除以
     的商和余数。
    的商和余数。
   
    
     解:
    
     ,那么现在就可以知道商
    ,那么现在就可以知道商
     。余数就可以很容易计算得到
    。余数就可以很容易计算得到
     。
    。
   
    
     例
    
    
     2.2.2
    
    当
     ,
    ,
     。计算
    。计算
     除以
    除以
     的商和余数。
    的商和余数。
   
    
     解:
    
     ,那么现在就可以知道商
    ,那么现在就可以知道商
     。余数就可以很容易计算得到
    。余数就可以很容易计算得到
     。
    。