



1.中海油研究总院有限责任公司,北京 100029;2.中国矿业大学,徐州 221116
摘要: 临界解吸压力是多含气系统能否合层排采的基本度量指标,其影响因素较多,一般需要获取兰氏参数,根据兰氏方程进行计算。但在实际勘探开发中,往往需要在没有兰氏参数的条件下快速准确获取临界解吸压力。本文基于老厂区块参数井实验测试数据,首先分析临界解吸压力主控因素,得出研究区临界解吸压力与储层温度、埋深、储层压力和煤质参数等相关性较高。考虑各因素之间的复杂关系,引入神经网络分析方法,发现该方法对于预测临界解吸压力比较有效,但存在步骤繁琐、不易应用的缺点,利用该方法得到标准化重要性参数依次为 A d 、 V daf 、 T ,基于这三个参数,结合多元回归方程建立了便于实际快速应用的预测方程。计算并预测研究区临界解吸压力,并与实测值进行比较,发现相关性较高。以研究区一口关键参数井为例,划分了产气序列。
关键词: 煤层气;临界解吸压力;BP神经网络;预测方程
多煤层煤层气勘探开发是中国“十三五”重点科技攻关方向,滇东黔西是中国南方重要的煤炭与煤层气资源赋存区,上二叠统煤层气地质资源量约占全国的10%(国土资源部油气资源战略研究中心,2006),具有“煤层层数多而薄、应力高、弱富水、煤体结构复杂”的地质特征 [1] 。滇东地区煤层气资源量占云南全省的90% [2] ,老厂区块是全省范围内煤层气资源的富集中心,可采资源量1142.09亿m 3 ,占全省可采资源总量的38.04%;可采资源平均丰度1.91亿m 3 /km 2 。2010年以来,区内已经施工20余口煤层气参数井和生产试验井,初步显示了良好的开发前景 [3] 。多层合采是该区域开发方式的最佳选择,部分单井产量较高,但普遍出现单井或井组合层排采产量不稳定,开发效果不理想,产层贡献难以有效识别等科学问题。
临界解吸压力是多含气系统能否合层排采的基本度量指标 [4-6] ,也是有效判识多产层贡献的基础指标 [4-6] 。若多产层临界解吸压力相差太大,则意味着不适宜合层排采,容易造成储层伤害。在勘探开发的初期阶段,预测临界解吸压力,既是产层优化组合的需要,也是下一步判识产气序列分析产层贡献的需要,因此在多层合采开发前,多产层临界解吸压力准确判识显得十分重要。目前,关于多煤层多产层临界解吸压力预测的研究较少,更多的是针对单煤层临界解吸压力主控地质因素分析及预测。
为此,选择滇东老厂雨旺区块为例。以该区块积累的大量基础数据、测试数据与相关研究为基础 [7-10] ,基于临界解吸压力计算公式,探讨临界解吸压力的主控地质因素,采用神经网络分析方法,最终建立预测模型进行应用。
云南雨旺区块位于老厂复背斜南翼,面积81.75km 2 ,总体为一平缓的单斜构造,边缘为弧形断裂围绕,内部有次一级的宽缓褶曲,断层稀少。含煤地层为晚二叠世龙潭组,全区可采煤层为2 # 、3 # 、7 # 、8 # 、9 # 、16 # 、19 # 煤层共7层;大部分区域可采煤层为4 # 、13 # 、17 # 、18 # 煤层共4层,可采煤层总厚3228m;煤级为贫煤—无烟煤,部分煤层煤体结构较为破碎。煤层含气量较高,平均含气量在12m 3 /t左右;试井渗透率较低,平均为0.13×10 -3 μm 2 ,平均储集层压力梯度为1.05MPa/(100m),储集层压力状态为正常—超压。
雨旺区块早期部署煤层气开发井4口,参数井11口。2016年以来,通过实施“十三五”国家科技重大专项“滇东黔西煤层气开发技术及先导性试验”,新部署实施试验井6口,目前在稳产阶段。
选择LC-C1、LC-C2、LC-C3、LC-C4、LC-07、LC-08井取芯样56块完成各项实验测试。煤质工业分析测试:遵照GB/T 212-2008《煤的工业分析方法》执行;煤的镜质体反射率:遵照GB/T 6948-2008《煤的镜质体反射率显微镜测定方法》执行;煤层含气量测定:遵照GB/T 19559-2008《煤层气含量测定方法》执行;等温吸附参数测试:遵照GB/T 19560—2008《煤的高压等温吸附试验方法》执行;储层压力、储层温度根据注入/压降试井分析结果得出,其中部分储层温度根据井温测井得出。部分关键测试数据如表1所示。
表1 LC-08井煤样关键基础信息表
人工神经网络理论本质是非线性动力学理论,它是由大量神经元按照一定的方式组合而成的网络 [11] 。如果把该网络看成一个输入到输出的映射,则该映射是一个高度非线性映射。BP神经网络于1986年由Rumelhart和McCelland为首的科学家小组提出,是一种按误差逆传播算法训练的多层前馈网络,是目前应用最广泛的神经网络模型之一。BP网络能学习和存贮大量的输入输出模式映射关系,而无需事前揭示描述这种映射关系的数学方程。它的学习规则是通过反向传播来不断调整网络的权值和阈值,使网络的误差平方和最小。BP神经网络模型拓扑结构包括输入层、隐含层和输出层(如图1所示)。
图1 BP神经网络模型拓扑(左)和BP神经网络计算流程(右)(焦李成等,2016)
煤层气临界解吸压力是指解吸与吸附达到平衡时对应的压力,即压力降低使吸附在煤微孔隙表面上的气体开始解吸时的压力 [12] 。
计算临界解吸压力最常用的方法是通过吸附等温曲线获取,即吸附等温曲线上煤样实测含气量所对应的压力,可由如下公式计算得到:
式中: P cd 为临界解吸压力,MPa; V L ,朗格缪尔体积,cm 3 ·g -1 ; P L ,朗格缪尔压力,MPa; V 实 ,实测含气量,cm 3 ·g -1 。
图2 各煤层气井关键煤层临界解吸压力
由图2可知,各煤层气井关键煤层临界解吸压力差异较大,同一井各煤层之间临界解吸压力差异也较大。由公式(1)可知,临界解吸压力主要受实测含气量、兰氏体积和兰氏压力的直接影响,进一步深入分析则是受到沉积环境、构造地质条件、地下水动力条件、煤层埋深等宏观因素,以及煤物质组成、孔隙结构、煤化作用程度等微观因素的共同作用(如图3所示)。其中,构造、沉积、地下水以及煤储层埋深等因素控制着煤储层的含气性,而吸附性则主要受煤物质组成、孔隙结构特征等微观地质因素的影响。宏观地质因素制约着微观地质因素,主要表现在构造应力和构造形态控制煤储层孔隙结构特征;沉积环境通过聚煤环境对煤岩、煤质产生影响从而决定煤物质组成、孔隙结构等。由此可以看出,宏观和微观地质因素之间的相互耦合共同控制了煤储层的含气性和吸附性特征,进而影响了临界解吸压力,关系比较复杂。
图3 LC-08井各煤层关键因素随埋深变化
吸附参数反映了煤本身的吸附能力。含气量反映了在内外部因素的共同作用下,煤的储气能力。根据图4、图5、图6,多井多煤层临界解吸压力与含气量、 P L 呈现出正相关关系,与 V L 呈负相关关系,与含气量相关性较强。可以得出,研究区临界解吸压力主要受外部因素的控制,但内部因素也同样不可忽略。
图4 P cd 随实测含气量变化关系
图5 P cd 实测 V L 变化关系
图6 P cd 实测 P L 变化关系
煤系地层的温度—压力场是其内部能量的综合体现,是区域地层构造活动长期耦合的结果,也是影响煤层气勘探开发的重要因素 [13,14] 。多井多煤层临界解吸压力与 H 、 p 呈正相关,与 T 呈负相关,皮尔逊相关性为0.6左右(如图7、图8、图9所示),煤层埋深主要是通过控制含气性的变化而影响煤储层的临界解吸压力。煤层埋藏得越深,煤层中的气体向地表运移的距离就越长,散失就越困难。同时,深度的增加也使煤层在上覆地层压力的作用下降低了透气性,增加了储层压力,有利于气体的保存,而温度增加会导致含气量降低,这主要是由于温度增加对于分子扩散运动的促进作用,因此温度与临界解吸压力呈负相关关系。
图7 P cd 随实测 H 变化关系
图8 P cd 随实测 T 变化关系
图9 P cd 随实测 p 变化关系
一般认为水分子可以被煤吸附,并占据一定的内表面积。随着煤中水分含量的增加,煤内表面吸附的水分子也越来越多,水占据了煤内部分孔隙,减少了煤吸附甲烷的有效面积 [15] ,导致吸附难度增大,甲烷的最大吸附量减少,吸附能力下降,进而使煤样的临界解吸压力降低。图10为不同煤层煤样水分含量与临界解吸压力的关系,可以看出其临界解吸压力随水分含量的增加而降低,符合上述规律,但相关性较弱,说明其并不是主要影响因素。
图10 研究区 P cd 与 M ad 关系
煤的挥发分反映了煤的变质程度,挥发分由大到小,煤的变质程度由小到大,根据图11所示,(LC-08)挥发分随埋深逐渐降低。煤的挥发分主要来自煤中分子的脂肪侧链、含氧官能团断裂后形成的化合物和煤有机质高分子缩聚时产生的氢气,这些物质的存在,占据了可供甲烷体积分子吸附的空间。随着煤化程度的提高(镜质体反射率的增大),煤分子上的脂肪侧链和含氧官能团含量下降,挥发分产率下降,煤岩对甲烷的吸附能力逐渐上升,所以,临界解吸压力与挥发分呈正相关关系,相关性较弱(如图11所示)。
图11 研究区 P cd 与 V daf 关系
研究表明,总体煤层灰分与含煤层序的旋回性具有很好的吻合性,海水进退旋回直接控制了煤层的煤质特征 [16] 。关于煤中灰分产率对煤吸附性能的影响,主要有两种观点:一种观点认为,气体主要存储在微孔中,灰分的存在堵塞了部分微孔,导致孔比表面积减少,从而降低了煤的吸附性能 [17] ;另一种观点认为,煤中灰分的存在降低了煤中吸附甲烷气体的有机质,从而降低了煤的吸附性能 [18] 。总体来说,灰分产率的增加会降低煤的吸附性能。研究区内, V L 随灰分产率的增大而逐渐减小,这与前人的研究成果是一致的,因此,临界解吸压力与灰分呈负相关关系,相关性较弱(如图12所示)。
图12 研究区 P cd 与 A d 关系
图13 各关键影响因素关系图及网络图
综合以上分析,临界解吸压力受到多种因素错综复杂的影响(如图13所示),各因素与临界解吸压力之间的关系是非线性的(相关性不高的)、模糊的。而近年来得到快速发展的BP神经网络具有较强的自学习、自适应能力,泛化能力以及高度的并行性,适用于非线性、复杂性及模糊性问题的求解,能真实刻画出输入变量与输出变量之间的非线性关系,目前已得到广泛应用 [19-21] 。因此,结合各影响因素与临界解吸压力的关系,开展基于BP神经网络的煤层气井临界解吸压力的预测,并在此基础上尝试去构建其预测模型,是比较可行的。
采用自动体系结构选择构建具有一个隐藏层的网络,其指定隐藏层中允许存在的最小或最大单位量,自动体系结构选择计算隐藏层中的“最佳”单位量。自动体系结构选择使用隐藏层和输出层的缺省激活函数。隐藏层激活函数为双曲正切,函数格式为:
其取实数值参数并将其变换到(-1、1)范围。使用自动体系结构选择时,此为隐藏层所有单位的激活函数。
输出层激活函数为恒等,函数格式为:
其取实数值参数并且其返回值保持不变。使用自动体系结构选择时,如果存在刻度因变量,则此为输出层中所有单位的激活函数。
错误函数为平方和函数,函数格式为:
一共23个样本,培训16个,测试7个。将可能影响 P cd 的因素作为输入层,例如: M ad 、 A d 、 V daf 、 M e 、 p 、 T 、 H 、 R o,max 、 V L 、 P L 、 V 。以 P cd 为输出层。本次运行时将 V L 、 P L 、 V 均作为输入层,以此考察该方法的可靠性。为了避免算法本身的缺陷,进行了多次计算,最终选取错误较小的一次作为结果。培训平方和错误0.141、相对错误0.019,测试平方和错误0.078、相对错误0.049。
由图14可以看出,实测 V L 、 P L 、 V 对 P cd 贡献度较高,这也与实际相符,证明用神经网络分析方法预测临界解吸压力还是比较可靠的,可以寻找到对临界解吸压力影响较大的参数,误差在可接受范围之内。但是仍然需要先有一部分临界解吸压力实测数据、实验测试数据作为训练数据。于是为了进一步对其进行研究,探究 P cd 的直接影响因素,接着采用这个方法进行分析。培训15个,测试8个。输入层去掉直接决定 P cd 的 V L 、 P L 、 V ,剩余为 M ad 、 A d 、 V daf 、 p 、 T 、 H 、 R o,max ,输出层为 P cd 。经过多次运算,最终模型汇总培训平方和错误0.450、相对错误0.064,测试平方和错误0.994、相对错误0.262。
图14 BP神经网络分析重要结果图
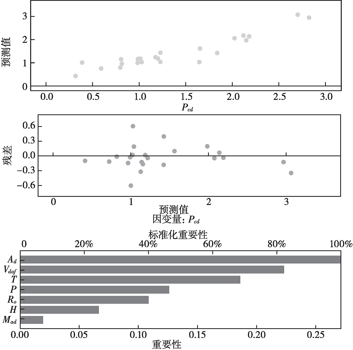
从图15中的第一幅图可以看出,神经网络分析方法确实可以用来进行临界解吸压力的预测,但是需要进行多次培训,从结果不难发现 T 、 A d 、 V daf 三个参数标准化重要性相对其他参数较高,因此,基于神经网络预测模型的结果尝试进行进一步分析,采用最常用的多元回归模型,进行回归计算,增强适用性,调整后的R 2 为0.63。
式中, P cd 为临界解吸压力,MPa; T 为储层温度,℃; A d 为灰分,%; V daf 为挥发分,%。
图15 BP神经网络分析重要结果图(不含关键参数)
图16 预测与实测值的比较
从传统计算方法可以看出,临界解吸压力主要受兰氏体积、兰氏压力、实测含气量影响。本文从其影响因素开始分析,发现其与温度、灰分、挥发分相关性较高。研究区吸附参数中,与临界解吸压力相关性较高的为含气量,工业分析中灰分与临界解吸压力相关性较高,一般认为灰分代表沉积旋回特性,说明研究区临界解吸压力受多煤层垂向分布的旋回性影响还是比较大的。通过神经网络分析的技术方法可以实现利用现有数据对临界解吸压力的预测,但是,需要进行多次分析才能提高其准确性,提取贡献度较高的温度、灰分、挥发分,通过多元回归建立便于使用的预测公式。通过对比传统方法与本文方法计算得到的临界解吸压力,发现其相关性较好(如图16所示),说明其具有一定的准确性。
煤层气井通过地面抽吸、扩大生产压差,促进煤层产水及煤层降压,达到煤层压力低于临界解吸压力的目的,最终实现煤层连续稳定产气。确定多煤层合采的产气序列对多煤层合采兼容性的判识、各产层贡献的确定具有重要意义。在煤层气多层合采过程中,当临界解吸压力对应液面高度等于或大于井底流压换算液面高度时,可以认为开始产气,据此可预测该井各层位产气序列(Yang et al.,2019)。
以LC-C1井为例,该井下泵深度为773.35m,约在13 # 煤层底板深度,根据公式(5)计算7+8 # 煤层临界解吸压力约为1.78MPa、13 # 煤层临界解吸压力约为1.61MPa(如表2所示),两煤层间距55m,压差为0.55MPa,所以7+8#煤层首先解吸。实际排采数据显示(如图17所示):排采至123天左右,井底流压降至1.987MPa,7+8 # 煤层开始解吸,由于泵放在13#煤底板附近,此时流压是以13#煤底板为深度起算的,对于7+8#煤来说,其实际流压为1.437MPa。预测临界解吸压力略大于实际见气套压。排采到第150天左右,日产气量出现明显上升,推测13#煤开始解吸,此时井底流压为1.460MPa。预测临界解吸压力为1.614MPa。预测结果略大于实际见气套压,但在允许范围之内。
表2 LC-C1井临界解吸压力预测
图17 典型井产气序列初步划分
(1)综合分析了研究区埋深、储层压力、储层温度、工业分析与临界解吸压力之间的关系,发现与临界解吸压力相关度较高的依次为储层温度、埋深、储层压力、灰分、水分、挥发分,各因素之间关系较为复杂。
(2)利用神经网络分析方法可以实现对临界解吸压力的预测,但是不够简便,通过该方法标准化重要性可以得知储层温度、灰分、挥发分相对其他因素更为重要,继而建立多元回归预测方程,并对研究区一口多煤层参数井进行应用,多煤层的煤层气临界解吸压力预测值与实际见气套压接近,新的临界解吸压力预测方程有效。
[1]XU H,SANG S,YANG J,et al. In-situ stress measurements by hydraulic fracturing and its implication on coalbed methane development in Western Guizhou,SW China[J]. Journal of Unconventional Oil and Gas Resources,2016(15):1-10.
[2]林玉成.云南煤层气资源与开发前景[J].云南地质,2004,23(4):503-508.
[3]贾高龙,莫日和,赖文奇,等.云南恩洪—老厂煤层气勘查区地质特征及勘探开发策略[J].中国海上油气,2016,28(1):29-34.
[4]张政,秦勇,傅雪海.沁南煤层气合层排采有利开发地质条件[J].中国矿业大学学报,2014,43(6):1019-1024.
[5]周效志,桑树勋,易同生,等.煤层气合层开发上部产层暴露的伤害机理[J].天然气工业,2016,36(6):52-59.
[6]SHI J,CHANG Y,WU S,et al. Development of material balance equations for coal-bed methane reservoirs considering dewatering process,gas solubility,pore compressibility and matrix shrinkage[J]. International Journal of Coal Geology,2018(195):200-216.
[7]JU W,JIANG B,QIN Y,et al. The present-day in-situ stress field within coalbed methane reservoirs,Yuwang Block,Laochang Basin,south China[J]. Marine and Petroleum Geology,2019(102):61-73.
[8]WANG Z,QIN Y.Physical experiments of CBM coproduction:A case study in Laochang district,Yunnan province,China[J]. Fuel,2019(239):964-981.
[9]YANG Z,LI Y,QIN Y,et al. Development unit division and favorable area evaluation for joint mining coalbed methane[J]. Petroleum Exploration and Development,2019,46(3):583-593.
[10]TANG S,TANG D,XU H,et al. Geological mechanisms of the accumulation of coalbed methane induced by hydrothermal fluids in the western Guizhou and eastern Yunnan regions[J]. Journal of Natural Gas Science and Engineering,2016(33):644-656.
[11]焦李成,杨淑媛,刘芳,等.神经网络七十年:回顾与展望[J].计算机学报,2016,39(8):1697-1716.
[12]傅雪海,葛燕燕,梁文庆,等.多层叠置含煤层气系统递进排采的压力控制及流体效应[J].天然气工业,2013,33(11):35-39.
[13]秦勇,袁亮,胡千庭,等.我国煤层气勘探与开发技术现状及发展方向[J].煤炭科学技术,2012,40(10):1-6.
[14]谭静强,琚宜文,张文永,等.淮北煤田中南部大地热流及其煤层气资源效应[J].中国科学:地球科学,2010,40(7):855-865.
[15]秦勇,宋全友,傅雪海.煤层气与常规油气共采可行性探讨——深部煤储层平衡水条件下的吸附效应[J].天然气地球科学,2005(4):492-498.
[16]杨兆彪.多煤层叠置条件下的煤层气成藏作用[D].中国矿业大学,2011.
[17]张群,杨锡禄.平衡水分条件下煤对甲烷的等温吸附特性研究[J].煤炭学报,1999(6):566-570.
[18]CHIKATAMARLA L,CROSDALE P J.Modelling methane adsorption isothrms using pore filling models:a case study on indian coals:Proceedings of the 1999 International Coalbed Methane Symposium[C].Tuscaloosa,AL.
[19]SIREGAR I,NIU Y,MOSTAGHIMI P,et al. Coal ash content estimation using fuzzy curves and ensemble neural networks for well log analysis[J]. International Journal of Coal Geology,2017(181):11-22.
[20]MAHMOUDAAA,ELKATATNY S,MAHMOUD M,et al. Determination of the Total Organic Carbon(TOC)based on conventional well logs using artificial neural network[J]. International Journal of Coal Geology,2017(179):72-80.
[21]CHELGANI S C,MESROGHLI S,HOWER J G.Simultaneous prediction of coal rank parameters based on ultimate analysis using regression and artificial neural network[J]. International Journal of Coal Geology,2010,83(1):31-34.