



摘要 ; 本课题在全面摸清县域工业经济发展情况的基础上,从国内外区域产业竞争力理论和县域经济评价体系研究现状入手,理论指导实践,明晰县域工业经济高质量发展的内涵特征及评价意义,通过厘清研究思路、构建原则、设计框架、赋权方法和数据来源,构建符合现阶段山东省县域工业发展需要的评价指标体系,为提高政府决策的科学性与合理性提供有益参考。
关键词 ; 县域;工业经济;综合竞争力;评价体系
县域是相对独立的发展社会经济的基本单元,是我国深入推进新型城镇化建设的重要载体,是城乡融合发展的桥梁和纽带。习近平总书记高度重视县域经济发展,指出“县一级处在承上启下的关键环节,是发展经济、保障民生、维护稳定、促进国家长治久安的重要基础”。2021年,中央一号文件提到“把县域作为城乡融合发展的重要切入点”“壮大县域经济,承接适宜产业转移,培育支柱产业”。2022年,中央一号文件和省政府一号文件再次提到了县域发展在城镇化建设中的重要性以及引导县域产业结构优化、聚焦优势特色产业、加强县域基层创新、鼓励发展中小企业、完善产业配套服务等内容。
当前,山东省总体经济稳中向好、进中提质,高质量发展步伐坚实有力,但是,错综复杂的国际、国内形势和新冠疫情的多点频发都对工业经济稳增长造成了较大压力。在这样的发展背景下,山东省工业需要立足新发展阶段,完整、准确、全面贯彻新发展理念,主动服务和融入新发展格局,特别是推动县域工业高质量发展,挖掘县域产业发展潜力,增强工业基础支撑实力,充分发挥县域工业的“压舱石”作用。因此,亟须构建一套科学完善和行之有效的县域工业经济评价体系,来客观反映和评价山东省各县(区)工业经济的综合竞争力,引导推动县域工业产业结构向更加合理的方向调整、优化和升级。
“县域工业经济评价”从根本上说是一个区域产业竞争力比较的概念。基于区域经济学视角结合产业竞争力理论,将国内外产业竞争力理论的主流观点、分析框架、要素分析等方法运用于本课题研究中,从而为客观评价和分析山东省县域工业经济综合竞争力提供理论依据。
产业竞争力是指某个区域内某个特定产业相对于其他区域同一产业在市场竞争过程中体现出的争夺资源或市场的综合能力。国外与产业竞争力相关的理论最早可以追溯到18世纪关于国际贸易理论的探讨,主要涉及亚当·斯密的绝对优势理论、大卫·李嘉图的比较优势理论、赫克歇尔和俄林的要素禀赋理论以及最经典的实证悖论“里昂惕夫之谜”与国际贸易新理论等。古典理论主要偏向于分析国家之间的贸易竞争力,认为区域竞争力是由成本绝对优势或区位条件、自然资源、劳动力价格、技术进步、智力资源等具有比较优势的要素决定的。自20世纪80年代起,产业竞争力研究逐渐成为各国政府、地方政府和产业界、学术界共同关注的热点之一。现代理论普遍认为,产业竞争力是由区域比较优势(包括自然禀赋、人力资源、先进技术、地理集中性、政策环境等)和企业竞争优势二者共同形成的,其中较具代表性和权威性的有:一是迈克尔·波特的国家竞争优势理论,他在比较优势理论的基础上对区域产业竞争力的决定因素和集群现象进行了直接研究,提出了“钻石模型”和产业集群理论;二是保罗·克鲁格曼的新经济地理学,他以规模经济和产品差异为出发点,突破了传统国际贸易理论运输成本为零的假定,提出了经济活动的区位问题。此外,自20世纪90年代起,国际竞争力的评价体系建设成为理论研究热门方向之一,值得借鉴的有以世界经济论坛(WEF)和瑞士洛桑国际管理学院(IMD)为代表建立的评估体系,包括经济绩效、政府效率、企业效率、创新因素等多个维度。
产业竞争力是决定一个国家或地区经济发展的重要因素。随着我国经济发展进入新常态,产业发展模式发生了根本性变化,产业由高速发展阶段进入竞争阶段,提升区域产业竞争力成为各省市发展当地经济的关键。国内学术界关于产业竞争力的决定因素大致有以下几种观点:传统经济学认为,产业竞争力应当遵循比较优势原理,即一个国家或地区产业竞争力的强弱主要取决于土地、劳动力、资本和自然资源等要素禀赋的差异;发展经济学认为,工业化是带动经济发展的主要原因,因此政府决策能否适应和促进工业化,对提高产业竞争力至关重要;现代经济学认为,知识和人力资本是决定产业竞争力的首要因素;研究企业发展的学者认为,产业竞争力在很大程度上取决于一个国家或地区的工业实力,而工业实力取决于企业的发展状态。
从20世纪90年代中期开始,国内有关产业竞争力的研究范围逐渐由国家竞争力拓展到省域、城市、县域等各个层次的区域竞争力,研究内容也由纯理论研究转向理论与实证相结合的评价研究,其中比较有代表性的有:王秉安教授借鉴迈克尔·波特的“钻石模型”进行的省域经济竞争力体系模型构造研究、我国县域经济综合竞争力现状研究,从不同角度揭示出区域产业竞争力的内容和规律性;赛迪研究院开展的中国县域经济百强研究,将县域经济高质量发展评价指标体系从经济实力、增长潜力、富裕程度、绿色水平四个维度设置分项指标,对县域经济、社会、人口、资源、环境等多方面进行综合评价;中国信息通信研究院开展的中国县域工业竞争力评价立足新发展理念,形成综合质效、创新、协调、绿色、开放、共享六大维度24项指标的评价体系。
综上所述,我国区域产业竞争力的相关研究主要局限在国家、省域和城市层面,县域竞争力评价则更多着眼于县域整体经济,县域工业竞争力评价的研究文献还很有限。
基于区域经济学和产业竞争力相关理论,解析县域工业经济综合竞争力的内涵与特征,明确评价体系建立的目的与作用,对于下一步搭建评价体系研究框架,确定评价维度和指标选择方向具有十分重要的意义。
“县域工业经济综合竞争力”是基于区域经济学视角结合产业竞争力理论形成的一个区域比较的概念,它反映了某个县域工业相对于其他县域工业在规模效益、资本集聚、技术创新、结构优化、资源节约等多方面表现出来的竞争能力。现阶段,其主要特征体现在以下五个方面。
目前,我国工业经济运行呈现“稳中有进”的特点,“稳”主要体现在工业增速保持在一定的水平,体现在县域工业经济实力增长这一基本盘上。县域工业经济高质量发展应以稳定的发展速度为基础,产业竞争力的提升首先需要提高规模水平,没有量的积累难以实现质的突破,因此积极培育龙头企业和引进战略投资者,坚持做大规模总量仍是县域工业发展的重点目标之一。
工业经济发展的质量和效益决定着县域工业竞争优势的持久性和县域工业经济能否实现跨越式发展。发展质效能力的提高主要体现为更高的劳动生产率、投资回报率和资源配置效率,用较少的要素投入、较小的资源环境代价产出较多的产品,获得更大的经济效益和社会效益。
提高产业技术创新能力,有助于实现自驱式发展,推动县域工业转型升级。在新一轮科技革命的背景下,激发新动能、释放高质量发展潜力必须建立健全工业化的创新驱动机制,完善创新生态体系,实现创新链、产业链与资金链的有机统一,保障科研经费和重大项目投入,推动科技成果加速转化落地。
工业产业结构反映了生产要素在产业间、行业间、企业间的资源配置情况,是县域工业经济发展质量提升的重要表现,是激发县域工业特色活力的主要着力点。产业结构的优化升级有助于提升县域工业竞争力,必须统筹处理好主导产业与配套产业、传统产业与新兴产业、劳动密集型产业与资本技术密集型产业、内生型发展模式与外向型经济、大集团大企业与中小企业等的重要关系,优化生产要素配置。
绿色发展是提升县域工业竞争力的重要要求,也是县域工业社会效益的具体表现方面之一。实现工业经济与资源环境的和谐发展,是缓解资源约束矛盾的根本出路。实践证明,粗放利用资源、以损害环境为代价的工业发展模式具有极强的社会负外部性,终将随着社会文明的进步而被淘汰。
加强对县域工业经济的评价和研究,是推进全省工业新旧动能转换的重要基础性工作之一,对于打造县域经济新增长极,夯实经济基本盘,实现全省工业经济健康平稳增长具有重要意义。
加快县域工业转型升级是推动全省经济结构调整和发展方式转变的重要路径。县域工业转型升级应综合考虑规模速度、质量效益、资本技术、要素结构、绿色低碳等诸多方面,其核心目标就是要实现县域工业的高质量发展。工业转型升级是一个系统性工程,单一指标难以准确、客观衡量转型升级的效果,当前亟须构建一套能够全面准确衡量县域工业综合竞争力的指标体系,引导地方政府和企业走“内生增长、集约高效”的发展道路。
从县域工业经济评价标准出发,开展全方位工业竞争力诊断评估,有利于树立一批产业发展基础较好、转型升级成效明显、发展模式典型、产业特色突出的县区为引领县域工业发展的先进典型;有利于帮助中等追赶型县区实现资源要素的高层次开发、发展动力的高能级转换和发展效率的高质量提升,探索出一条可落地、可实施、契合县域特色的工业竞争力跃升之路;有利于找准后发突破型县区发展痛点、难点、堵点,精准施策,充分盘活县域经济存量,挖掘县区产业升级、数字化转型潜力空间,在城市群、都市圈区域战略带动下,培育形成县域经济新增长点,突破当前阶段瓶颈。
通过对县域工业经济发展水平的长期持续跟踪评价,有利于全面分析县域工业经济运行的中长期特点、趋势及影响因素,深刻剖析县域工业经济发展中的深层次问题和矛盾,准确把握工业经济运行的客观规律,进而在把握规律的基础上指导实践,提高政府决策的科学性与合理性。
本文从县域工业经济综合竞争力的内涵特征出发,确定评价体系构建的研究思路和基本原则,并按照内在逻辑要求选择重要而有代表性的指标;同时,坚持以指标数据的可获得性为前提来保证评价结果的客观性。
评价体系的构建需要认真研究、不断尝试和逐步完善,必须在明确县域工业经济综合竞争力内涵特征的基础上,按内在逻辑要求选取能够反映当前山东省县域工业发展水平和质量效益的指标,充分挖掘指标数据本身的统计意义和经济意义,运用客观、公正、科学的赋权方法确定各指标所占权重,对数据进行处理和计算,并对初步测算结果进行分析与验证,然后根据验证结果对指标体系进行必要的修改和调整,确立适合山东省县域工业发展情况的评价指标体系。
为使县域工业经济评价指标体系能够成为有效评价县域工业与社会、资源、环境等之间关系的量化工具,真正对县域工业发展过程起到监测和评价、指导和监督、规范和约束的作用,在构建评价指标体系的过程中,应遵循以下四个原则。
系统性原则主要表现在整体性、层次性、动态性和自组织适应性。由于县域工业经济综合竞争力涉及经济、社会、生态等诸多方面,评价体系应当是由那些具有代表性的、能够直接反映县域工业发展质量内在要求的要素指标组成的一个科学客观、结构合理、逻辑严谨的有机整体。
考虑到不同县(区)在区位条件、自然资源、产业基础等方面的差异,为便于进行区域比较,选择指标时尽量采用普适性指标,兼顾采用特殊指标;同时,为使代表不同经济含义的指标在经过无量纲化处理后可以相互比较,尽量采用均量和比率指标,兼顾采用总量指标。
指标的选择必须以指标数据的可获得性为前提,以保证评价结果的客观性,因此应充分考虑数据的可获得性和指标量化的难易程度,定性与定量相结合,使评价体系既能全面反映县域工业经济综合竞争力的内涵特征,又能最大限度地利用统计资料并采取不同计算方法对其加以量化。
评价体系的构建应具备现实性与发展性的双重特征。当下指标的选取要突出“十四五”时期山东省工业发展的战略导向,符合转型升级、两化融合、绿色生态等形势要求;同时,由于受统计指标、数据来源等多重因素制约,不宜过分强调体系的完备性,对于暂时无法纳入本评价体系的指标,要根据经济发展需要和数据获取情况,逐渐补充和完善。
根据对县域工业经济综合竞争力的理解和指标选取的基本原则,初步建立了由3个层次组成的评价指标体系。
目标层:评价体系建设研究的总体目标是县域工业经济综合竞争力评价。
准则层:准则是实现目标需要考虑的主要因素,即一级指标,根据县域工业经济综合竞争力的五个方面特征可将目标层分解为五大维度:经济实力、质效能力、发展潜力、特色活力、绿色动力。
指标层:将准则层各个维度分解为若干项可比较、可操作、可获得的具体指标,即二级指标。
根据评价体系层级架构,以下设立五大维度包含的各项具体指标并做出阐释。
经济实力,是指一个地区拥有的对社会发展有利的经济资源多少的实力,此处用于反映县域工业经济的年度基本盘,主要体现在县域工业的规模总量、发展速度以及工业企业的营运能力、税收贡献等方面。本维度选取了工业增加值、工业增加值增速、工业企业营业收入、工业企业利润总额和工业企业税金总额等5项指标。
质效能力,是指工业经济发展的质量和效率,对于工业经济的高质量增长具有重要意义,主要体现在工业企业生产经营的经济效益和社会效益水平以及抗风险能力等方面。本维度选取了全员劳动生产率、营收利润率、总资产贡献率、资产负债率、百元营业收入成本费用和企业亩均税收等6项指标,其中,资产负债率、百元营业收入成本费用为逆向指标。
发展潜力,是指一个地区工业发展可能具有而尚未实现的能力,是提高工业竞争力的重要支撑,主要体现在社会资本的积累集聚和技术研发领域的创新能力上。其中,创新是引领高质量发展的第一动力,是推动山东省县域工业产业转型升级的关键环节。本维度选取了工业投资额、工业技改投资额和战略性新兴产业投资额分别占全省该项投资总额的比重以及研发经费投入强度、研发人员占比、省级以上企业研发平台占比等6项指标。
特色活力,是指县域工业经济带有鲜明的地方色彩或者与众不同的风格,县域之间的竞争本质上是特色之争,县域工业实现高质量发展归根结底就是要不断优化产业结构,大力发展特色经济。本维度主要选取了主导产业相对专业化系数、高新技术产业产值占比、数字经济核心产业增加值占比、出口交货值占、年新增规上企业数量占比、省级以上“专精特新”中小企业数量占比等6项指标。
绿色动力,是指用更少的、更清洁低碳的能源支撑经济社会发展,发展工业经济的同时需要不断提高资源节约和综合利用效率,守住生态保护红线,绿色低碳发展既是加快转变经济发展方式的重要着力点,也是实现工业可持续发展的内在要求。本维度选取了六大高耗能行业占比和单位工业增加值能耗降速、主要污染物排放降速、单位GDP二氧化碳排放降速等4项指标,其中,六大高耗能行业占比为逆向指标。
综合竞争力,是指某个县域工业相对于其他县域工业在规模总量、质量效益、资本技术、产业结构、能耗环保等多方面表现出来的竞争能力。在深刻理解和把握县域工业经济综合竞争力的内涵与特征,明确经济实力、质效能力、发展潜力、特色活力、绿色动力各维度所包含具体指标的基础上,形成3个层级、五大维度共27项指标的县域工业经济综合竞争力评价指标体系(见表1)。
表1 县域工业经济综合竞争力评价指标体系及权重
从统计学上来看,权重确定一般分为主观赋权法和客观赋权法。为尽量避免主观赋权法的经验性较强以及客观赋权法的数据依赖性较强的影响,本文采用主观与客观相结合、定性与定量相结合的赋权方法,先通过专家调查法,经过多轮专家打分、讨论确定目标层与准则层各维度的相关性,再利用熵值法来确定准则层各维度与指标层各指标的相关程度,二者结合确定各级指标的权重,完成指标体系的量化打分。
专家调查法属于主观赋权法,是由评估机构选定有关专家,采用匿名函询的方式收集专家意见,加以综合整理,再将整理结果匿名反馈给专家,这样经过几轮的征询及反馈,使各种不同意见逐步趋向一致,从而得出比较正确的结果。其过程可简单表示如下。
匿名征求专家意见→归纳、统计→匿名反馈→归纳、统计……若干轮后停止。
熵值法属于客观赋权法,是用来判断某项指标的离散程度的数学方法,属于计算机科学中的一种算法,可根据各项指标观测值提供的信息量大小来确定指标权重,为多指标综合评价提供依据。在信息论中,熵是对不确定性的一种度量,通过计算熵值可以判断某项指标在评价系统中的影响程度,影响程度越大,该指标权重越大,其对应关系如下。
熵大→不确定性大→有效信息量小→影响小→权重小
熵小→不确定性小→有效信息量大→影响大→权重大
具体算法实现过程如下。
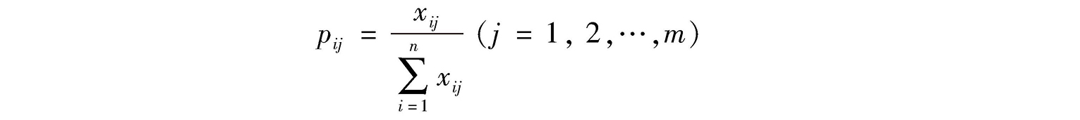
设有 n 个待评方案, m 项评价指标,形成原始指标数据矩阵如下。
x ij ( i =1,2,…, n ; j =1,2,…, m )为第 i 个方案第 j 项指标的数值。
由于各项指标的量纲不同而不能直接比较,且熵值法计算过程要求数值中不能存在0或负数,因此选择区间化对数据进行无量纲化处理。
区间化公式:正向指标
逆向指标
各式中, x min 表示该项指标最小值, x max 表示该项指标最大值,设定 a 、 b 值分别为60和100。
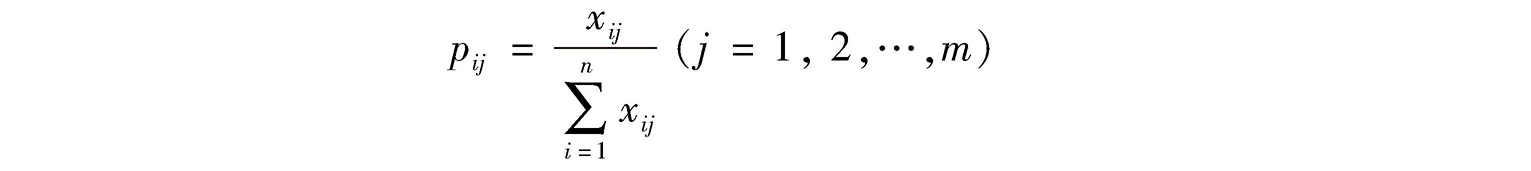
①计算第 j 项指标下第 i 个方案占该指标的比重:
②计算第 j 项指标的熵值:
式中,常数
k
与样本数
n
有关,
,则0≤
e
≤1。
③计算第 j 项指标的差异系数,即信息效用值:
g j =1- e j
对于第 j 项指标,指标值 x ij 的差异越大,对方案评价的作用越大,熵值就越小,即 g j 越大指标越重要。
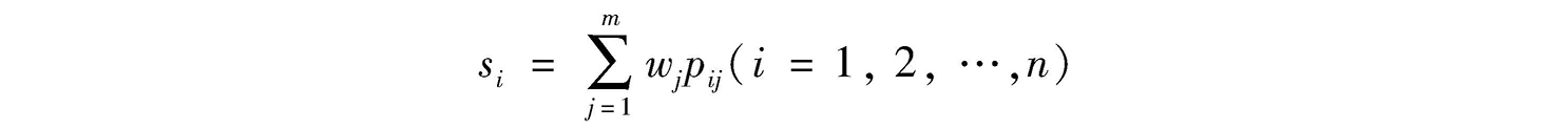
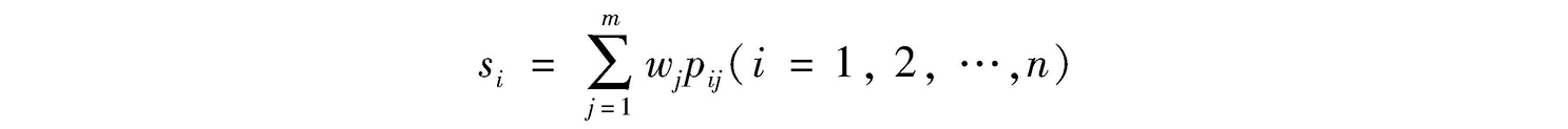
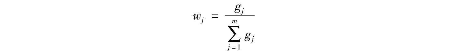
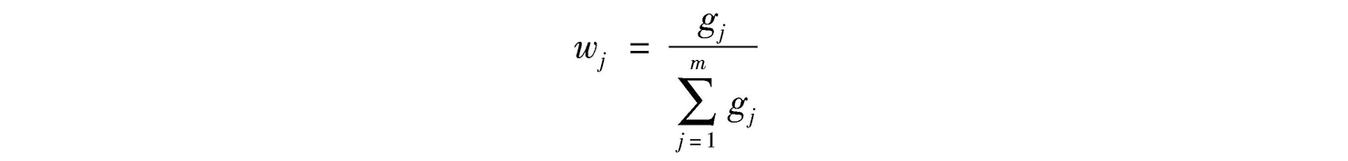
④计算第 j 项指标的权重系数:
⑤计算各待评方案的综合得分:
加强对各县区工业经济综合竞争力的评价,有利于引导地方政府将工作重心转移到发展质量上来,实现工业增速与效益的统一。通过对县域工业经济运行进行长期监测评估,及时发现问题并逐县逐业施策,找准优化产业结构、增强创新动力、推进节能减排等措施的节点方向,促进工业转型升级和提质增效。
在全省县域工业发展评价过程中,发掘头部县区与特色县区作为学习的标杆和榜样,总结可复制、可推广的经验模式,选取代表性强、影响力大、具有风向标性的案例汇编成册或制成宣传片,联合相关宣传部门,对这些发展工业的有效政策和措施以及取得的成功经验进行多渠道宣传报道,充分发挥先进典型的示范带动作用。
参考文献
[1]安虎森. 区域经济学:第2版[M]. 北京:经济科学出版社,2004.
[2]贾益东. 产业经济学[M]. 北京:中国财政经济出版社,2003.
[3][美]迈克尔·波特. 竞争战略[M].陈小悦,译.北京:华夏出版社,2005.
[4][美]保罗·克鲁格曼. 地理与贸易[M].刘国晖,译.北京:中国人民大学出版社,2017.
[5]王秉安,罗海成,徐小佶. 县域经济竞争力[M].北京:社会科学文献出版社,2008.
王巧婧,经济师,山东省工业和信息化研究院。
邵磊,工业经济研究室主任,副研究员,山东省工业和信息化研究院。
王玉禄,副研究员,山东省工业和信息化研究院。
刘际宁,副研究员,山东省工业和信息化研究院。
李国芹,院党委委员、副院长,山东省工业和信息化研究院。