购买
下载掌阅APP,畅读海量书库
立即打开
畅读海量书库
扫码下载掌阅APP

忠贞不畏死 节义不负心
——林尹教授传奇的一生

1961年,我拜入陆颖民(宗达)先生门下做研究生,学习中国传统语言学,也就是文字、训诂、声韵学,从此进入章黄门下。从颖民师那里陆陆续续知道了章太炎先生、黄季刚先生亲传的弟子中的各位学界前辈。翻阅期刊,发现章黄门下有三位经常并提、被誉为“国学三导师”的学者林尹、高明、潘重规,都在台湾高校传播章黄以“小学”为主的国学。颖民师在说起自己求学和任教的掌故里,也常有这三位的身影。1989年,由潘重规先生的女婿杨克平发起并赞助,在香港召开了“海峡两岸章黄学术思想研讨会”,潘重规先生和高明先生都去了。师长们青年时代因追随季刚先生曾有不同时期的短暂相聚,几十年隔绝后再度重逢,回忆往事,百感交集。我们站在他们身后,见他们执手相对、唏嘘慨叹的情景,也已是热泪盈眶。那时,和台湾的同门尚不熟识,我悄悄问组织会议的杨克平先生:“林尹先生为什么没有来?”他迟疑许久,没有回答,我再三询问,才知道多年祈盼一见的林尹先生不久前仙逝,永不能再见了。

我最早知道林尹(景伊)先生是上世纪60年代读研究生的时候,那时我每半个月去陆宗达先生前青厂的家里一次。有一次去,刚好一件香港的邮件辗转寄到。陆先生打开略看后就递给我说:“林尹先生写的《训诂学概要》从香港寄来了。季刚在台湾的三位弟子中,林尹知名度最高。因为他曾投笔从戎,是抗日战争中很有名望的爱国将领,战后又重返讲台教授国学。这本《训诂学概要》刚刚出版,看来台湾的训诂学一直没有被取消。你先拿回去看吧!”这是我第一次通读台湾高校的训诂学教材,对比颖民师的课堂讲解,感受到章黄之学一脉相承的精华所在。从那时起,我便时时关注和积累林尹教授生平和学术的信息。

林尹先生

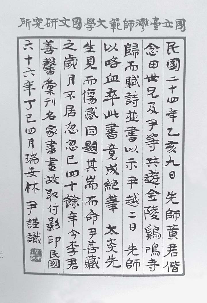
香港纪念会上,我得到了一本《章炳麟跋黄季刚〈登高〉绝笔遗墨》的影印书册。其中影印了黄季刚先生给林尹先生及其叔父林损(公铎)的亲笔信九帧,更可贵的是,其中有季刚先生《登高》绝笔的遗墨,还有太炎先生手记:“此季刚绝笔也,意兴未衰而诗句已成预谶,真不知所以致此!观其笔迹洒落,犹不见病气也。景伊善藏之。”(原文繁体,标点后加)其后还有林尹先生的手记,说明了季刚先生临终前两天,带儿子念田和他一起游金陵鸡鸣寺,回来写了这首诗给他。两日后季刚先生咯血去世。我在这本影印书册中看到他们师生三代人深厚的情谊,想起季刚先生手不释卷的生活习惯,逝世前床边尚有翻开的书卷。也想起太炎先生因反对袁世凯称帝被拘禁在钱粮胡同时,季刚先生只身前去陪伴。更想到季刚先生绝笔第二年抗日战争爆发,景伊先生愤然投笔从戎,九死一生后,当即重返讲台……

没有想到,生前无法见面的林尹先生,又与我有了一次十分偶然的交集。2012年,我去上海出差,顺便去看望在青海时的至交潘达钧。达钧调到上海政法大学后,和小儿子黄晨一起住在上海奥林匹克小区。见面不久,黄晨便问我认不认识林尹。我回答他“认识”,但心中奇怪他们家与林尹先生怎会有相关之处?黄晨很神秘地对我说,要我见一位相知而从未谋面的朋友。他带来了林尹先生的公子林安曾(子闳),安曾带来林公铎和林景伊叔侄二人的六部著作赠送给我。当我看到那六本书中熟读过的《训诂学概要》时,不禁心跳不已。我要向他介绍自己和章黄的学术渊源,但他说:“王老师,不用再介绍,我们家里对您已经非常熟悉,更知道您的学术地位。您在颖民先生身边多年,从章黄之学说起来,您对我们无比亲切。”他还说:“先父家属在大陆的只有我们一家。我表姐凌亦文想在台北开一个父亲的纪念会,一直想请您过去,正要通过黄晨联系您,没有想到竟然在这里见面。”这时我才知道,安曾世兄是黄晨公司的客户,也是他的忘年好友,更是同住一个小区的邻居。有一次他们谈起十年浩劫的遭遇,提起我与达钧是好朋友,并且是陆宗达先生的助手,才将这些关系沟通。这是一个令人难忘的时间点,从此刻起,景伊先生一生的光辉历史,在我心里渐渐清晰,呈现出一幅壮美的图画。

林尹先生题跋黄季刚先生绝笔

林姓为比干之后,封于林而得姓氏。南宋高宗时期,家族由福建迁至浙江瑞安,遂为瑞安之望族。林尹祖父湛深经学,父亲去世较早,叔父林公铎(损)对他极其钟爱,将他带在身边。在叔父的引领下,他十六岁毕业于北京大学国学系,复入北大国学门研究所做研究生。其时正是北京大学蔡元培校长主张学术上“兼容并包”的时代,叔父林公铎与黄季刚、黄节等国学家都在北大任教,而且彼此交好。林尹从小就受到国故派经学、“小学”及浙东爱国史学的影响,并登堂入室,受业于黄季刚先生门下。他幼承家学,受业名师,博极群书,才华出众,18—21岁任教于南开、河大、金陵女大、北平师大等多所高校,担任“中国音韵学”“老庄哲学”“汉魏六朝文”等多门文史哲课程。十年中,又先后出版了《中国声韵学通论》《清代学术思想》《群经略说》等很有分量的专著。林尹虽年少成名,学界已有相当名望,但季刚先生辞世后第二年,抗日战争爆发,他却以一腔忧民爱国之情,放弃学界大好前途,愤然投笔从戎,参加救亡运动。北平沦陷后曾在太行山打游击,之后成为正面战场上的指挥将领。1941年汉口危殆,他临危受命,奋勇抗敌,出师常胜,致使敌伪费尽心机追捕,于当年4月5日,在汉口市特一区(旧德租界)将其拘获,由汉口转至南京。汪精卫亲自劝降,许以高官厚禄,欲其加入伪府工作。他严词拒绝,又三次绑赴刑场以执行枪决进行威胁。林尹以死自誓,终不屈服。考虑到他的声望,不敢贸然处死,又由南京转至上海,囚禁上海愚园路864号。他的坚贞感动了伪特务首领李世群,为他传递消息,千难万险始被营救。

我在抗战胜利后的资料里看到了由李世群送出的信,那是他知道外面正在设法营救他的消息后,自觉出狱无望,表示自己“忠不顾死,义不负心”的决心。其中更有“感天地之正气,念先叔父之遗言,临危受命,古著明训,杀身成仁,必有后起。故自被执,生死以之,钳口结舌,忍受刑毒,慷慨激昂,惟求速死”这样大义凛然决绝之语。后来,我又在他只存片段的自传里读到他被捕时的绝命诗:

此心同日月,此志宁冰雪。日月常光辉,冰雪终皎洁。昔思李郭功,今洒文山血。忠义分所安,慷慨成壮烈。家国遭屯蹇,中原遍荆棘。生死宁足论,忧时心恻恻。但惟后来者,勿忘灭虏贼。

看到这一段经历,我内心十分震撼,景伊先生勇武的一面,他的血性,他的气节,深植我的心中。我不禁疑惑:这与原来我了解的那个著书立说、弘扬民族文化、具有学者风度的林尹,是同一个人吗?

接到景伊先生的外甥女凌亦文的信。“景伊文化艺术基金会”和台湾师范大学文学系在台北举办的“纪念林尹教授国际学术研讨会”,要在2012年5月召开。我被邀请与会去做一个主题报告。那时,我已经大致读过了景伊先生主要的学术著作,包括他后期在四川大学和台湾师范大学任教时出版的《庄子通译》《文字学概说》《训诂学概要》《周礼今译》等,在台湾,也看到还在发行的他主编的《中文大辞典》《大学字典》《国民字典》。那时在我眼前呈现的,是一位著作等身、以“小学”为根柢的国学家和国学教育家。我在所做的主题报告《林尹先生的学术成就与章黄之学的继承发展》里,以自己的浅识,试着归纳了景伊先生的学术成就和教育思想:他把“小学”当成中国独有学问来确立,对汉字与汉语的关系有深入探索,更在音韵学上有极高的成就。他精于追根系流的词源考辨,比之《文始》《说文同文》的词源学理念更有延伸。他具有黄侃提倡的“明其理,得其法”的现代学术素养,突破了清代末流文人烦琐的考据,以追求“所以然”的科学精神,把中国传统语言文字学引向理论的探讨。在教学里,他继承传统“小学”家重视第一手材料的求实作风,引领学生明其条例,贯其会通,要其义理,探其根本,强调以纯熟、通透的文献根底来支撑理论研究。他提倡弘扬国学精华,要首先研读“根底之书”,重视原典解读,先专后博。他尊师承而不拘,重传统而出新,博取众说,提炼菁纯。章黄治“小学”的特点,无一不在景伊先生的治学中全面体现。

景伊先生与我的老师陆颖民先生在大致相同的时间同在北京大学学习,同因崇拜季刚先生的志向与学识而成为季刚先生的入室弟子。资料显示,由于当时的社会主流是新文化,北大又是五四运动的发祥地,在时潮的推动下,北大的学术思想主流仍是新学,国学并不占上风,主张“兼容并包”的蔡元培校长辞职后,国学的力量就更为薄弱。太炎先生亲自担任主编的章氏国学讲习会会刊《制言》发行并不顺利,其他新文化和文学刊物不但数量众多,而且声势浩大。当时的主流报刊对倾向国学的学者的报道偏重负面,也有学生因为只选季刚先生等人的课而被开除的。那时,黄季刚先生在北大的处境并不十分好,他坚持国学、弘扬民族文化的初衷不被理解,心情是郁闷的。但是,由于中国文人对民族文化深刻理解和深厚感情的驱动,加之中国本土文史哲自身的魅力,仍有少数青年人不受巨大时潮的冲击,执着地跟从黄季刚先生学习,也有虽被开除仍执着地拜季刚先生为师的先例。景伊先生正是在这种情况下成为黄季刚先生的入室弟子。跟从季刚先生学习,确定了他一生学术发展的方向,使他成为章黄之学的重要继承人之一。1976年春天,他在专著《国学略说》的跋里,讲述了继承章黄之学的志向,复述初见季刚先生时老师对他说的话:“文章乃明学术之具,学术乃为经世之本,三者一以贯之,不可偏废。近世士子,或竞逐浮声,自诩华辞;或诡论怪异,自谓博学;或颟顸治本,妄言政理。此皆一曲之徒,不足以语大道也。”又讲述了老师如何娓娓不倦地指导他打下“小学”和经史、文学的基础。他详细回忆了季刚先生绝笔的《九日登高诗》和太炎先生嘱咐他善藏遗作时教诲他“毋忘师志,毋隳师学”的情境。这篇跋,我每读一次皆心潮逐浪,联想到自己的求学过程,体验到章黄之学中的民族大义和前辈师长传承学脉的苦心。景伊先生绝命书中所说的“感天地之正气,念先叔父之遗言”,表明他所受的传统教育,铸就了他忠贞节义的人格,不论是危难中面对强敌,还是逆境中寻求师承,都需要毅力和勇气,需要胸有成竹的信念,需要坚守故庐的反潮流精神。他所说的“忠不畏死,义不负心”,涵盖了在战场上和在书斋里林尹的两个角色,而两种忠义出于一心,其实是重合在一起。我对自己的师辈们传承和振兴民族文化的初衷心有戚戚,愈加一层感佩。更使我钦敬的,是景伊先生亦文亦武角色转换的能力,他在少年得志、风头正盛的时候绝无顾盼地走向战场,他又在立下奇功、备受赏识的时候远离官场,回归三尺讲台,足见他纯洁的动机、刚正的性格、博远的胸怀。

景伊先生在台湾培养了大量优秀的国学学者,为民族文化传统的延续做出了卓绝的贡献。后来,我认识了景伊先生的弟子陈新雄教授。新雄学长在景伊先生家中受习声韵训诂之学二十七年,而自身担任训诂学课程教学亦逾二十载,他是台湾传统“小学”最富影响力的第二代教育家。他去世后有人统计,他在台湾、香港和大陆高等学校担任“小学”、义理(哲学)、文学教席的学生就有一百一十一位。我们与新雄学长师生两代人有过很多近距离的交往,知道他们很多是音韵训诂精通、诗词歌赋畅达、治学宏远、执教严谨的学者。台湾师大的李鍌教授是景伊先生的大弟子,当年他主持了我的学术报告,在我的发言结束后介绍了颖民师和景伊先生的同门关系,并且说:“王宁教授此次讲演用意至为明显,希望两岸学者共同努力,使章黄之学发扬光大。”五年后,我和李鍌教授曾共同主持研制《说文》小篆国际编码,在信息时代,将《说文》学发展到数字化和国际化的高端。

现在,师辈先贤皆已作古,李鍌教授和陈新雄教授已经离世,我的同辈学长许多也已经先我而去。我们早已离开学术第一线。尽管一定还会有人仍在继承章黄“小学”、坚持中国语言文字学自主创新的路上奔走,然而一代人有一代人的际遇,一代人有一代人的希求,一代人也会有一代人对学术和对师承的态度,这条路将会如何延伸?且待历史再书写我们已无法看到的新一页吧! 1iGbPxaQC6epETaAZg1EKJ2Qqk+XW8P9OvQTNrEM7UTFe89wXdeJr2rshHXb97K4

点击中间区域
呼出菜单
上一章
目录
下一章
×