



相较于一般意义上的居民,农户消费虽然有自身的特点,如农户不仅有生活性消费,还有生产性消费和人情消费,每种消费背后都有不同的理论基础,但面临生活性消费时,传统经典理论仍然是研究农户消费的重要基础(杨新华和孙海波,2010)。虽然居民消费思想理论脱胎于社会实践,具有一定的独立性,反过来指导着社会实践发展。西方经济社会的发展为消费理论的发展和研究提供了客观基础和条件,其经济社会发展的需求也助推理论的进一步发展。从时间的维度看,西方消费理论经历了古典消费思想、新古典消费思想和现代消费理论的演进与更迭
。
亚当·斯密的《国民财富的性质和原因的研究》(简称:《国富论》)的提出,揭开了重商主义的历史序幕,开启了西方经济学的征程。重商主义时期为古典消费思想的发展奠定了肥沃的土壤,这一时期也取得了积极的成果。重商主义时期很多学者对消费问题进行了开创性的探讨,他们认为消费品是财富的重要组成部分,为了增加资本积累,致力于通过国家权势来干预消费,提倡节俭,反对浪费并限制从国外进口奢侈品,对消费行为予以课税,从而达到使居民消费行为更加合理的目标。同时还鼓励贸易保护,扩大出口减少进口以节省财富。重商主义时期,关于消费的研究取得了丰硕的成果,虽并未形成系统化的消费理论,但不可否认其在经济思想史上的重要贡献。古典消费思想在充分吸收重商主义时期消费思想的基础上,积极探讨国民财富形成的原因和制约条件,更加重视对财富的研究,使经济学发展成为一门独立的学科。和重商主义思想相比,古典经济学非常重视经济发展中消费的作用。某种程度上,古典经济学消费思想既是对重商主义时期消费思想的一种继承和发扬,也是一种发展和完善。总结起来,古典经济学派消费思想的主要集中在两个方面。
一是对主要消费思想的论述。消费思想的研究在古典经济学研究领域中占据大量篇幅。从古典经济学的社会背景看,工业社会初期是资本原始积累和创造财富的重要阶段,因此,如何扩大生产促进资源的流通成为社会关注的重点。消费作为国民生产体系中的一个重要环节,其是否促进了生产以及财富的积累成为人们研究的焦点。
基于人们消费内容对财富创造的贡献度的差异性,威廉·配第认为生活性消费是针对现有财富的,不利于财富的创造以及利润的积累,最终不利于生产。亚当·斯密进一步指出,社会财富用于生活性消费越多,用于生产性的财富积累就越少,后果是用于社会再生产性的财富显得明显不足,最终不利于国家财富的增加。同重商主义一样,古典消费学派也重视财富的积累,提倡节约反对铺张浪费。但与之不同的是,古典学派并非盲目地反对奢侈品消费,而是反对过度进行非基本必需型消费,因为这样会占用过多的财富资源从而减少社会扩大再生产。古典经济学派提倡将更多的财富用于生产性消费进而扩大再生产,从而创造更多的财富。因此,把有限的资源用于生存性消费还是用于生产性消费,不仅关系到消费者个体的幸福感,同时还关系到财富的积累甚至是国家的未来。布阿吉尔贝尔指出二者如果不能取得平衡处理,生活必需品一旦无法实现正常的消费,那么必然给国家带来不利的状况。亚当·斯密认为节俭在社会再生产方面的作用是增加资本量,进而促动着财富的创造。和亚当·斯密观点相似的是,大卫·李嘉图主张创造财富,减少非生产性消费,不提倡寄生性消费。威廉·配第甚至认为过量消费会导致过多的消费支出,进而降低劳动积极性,从而阻碍劳动效率的提高。
鉴于消费尤其是生产性消费在财富创造以及社会再生产过程中扮演的重要角色,古典消费学派也力争通过国家的制度力量对居民消费行为进行调节。税收不仅承担着为国家公共物品提供筹资的功能,同时还能调节微观经济主体的经济活动,是调节财富分配进而调控消费的一种重要的有效手段。威廉·配第认为通过税收调控可以实现财富的最优配置,将资金从奢侈性过度消费的居民手中转移到从事生产性消费群体中,在社会资金存量不变的前提下,通过税收实现财富的最优配置,最终达到促进生产的目的。此外,他还认为税收体现了一定的公平性和科学性,消费课税的标的是消费品,对消费行为征收可以促使人们更加节俭,从而有利于财富的积累。亚当·斯密认为应针对消费品的差异性而采取不同的税收政策,对生活必需品征税,可以使得这类消费群体更加节俭,从而更加远离奢侈品,有利于财富的积累;同样,对奢侈品征税,但不一定会使劳动工资增长。但大卫·李嘉图却认为消费者具有理性预期,在政府公共支出和外债规模一定的前提下,征税行为对居民消费行为的影响几乎可以忽略不计。
二是消费影响因素的分析。古典经济学研究的重心在于居民消费的性质,和重商主义强调消费在贸易中的作用不同,古典经济学把消费看作生产的有机构成。除此之外,古典经济学派还对影响居民消费的制约因素进行了深入研究。
首先是经济因素。古典经济学派认为收入是影响居民消费的首要因素。亚当·斯密认为,不管是生活性消费还是生产性消费,居民在商品市场中的消费水平的高低都要依赖于其工资报酬的多少,个体可支配收入的多寡直接决定着其消费支出。除了收入以外,古典经济学家也注意到税收是影响居民消费的另外一个经济因素。税收主要通过两种渠道来影响居民消费:一是直接减少居民可支配收入,从而降低居民消费能力;二是通过影响消费品价格,提高商品价格,进而影响到居民消费。亚当·斯密认为通过对商品进行征税,商家会把税收转嫁给消费者,从而减少居民对商品的需求。布阿吉尔贝尔注意到增加税收对消费的挤出,强调带动消费增加的基础是变革税制。
其次是社会因素。影响居民消费选择的主要社会因素是消费习俗,在长期的经济社会活动中形成了反映区域或民族特色的消费特性,地区消费习惯也会对居民消费决策带来影响。在对消费者行为选择的长期观察跟踪中,亚当·斯密也肯定了不同时期风俗习惯对消费存在影响。不仅是亚当·斯密,西斯蒙第在长期的研究中也发现了消费习俗会影响个人偏好的选择,他认为人们需求的多样性必然带来偏好的差异性,而偏好会随着时间的更迭而改变,因此,进而影响到消费行为的选择。
建立在手工业基础上的古典经济学顺应了当时经济社会发展的需要,然而,随着资本主义在与封建主义的势力博弈中逐渐占据上风并取得统治权,其经济社会形态发生了很大变化,残留着封建思想的古典经济思想很难契合新时期经济社会发展的需要,经济理论对现实经济的指导作用没有充分释放。
随着经济环境的改变以及学科交叉的发展,更多学者从自身的数学、统计学学科背景来研究居民消费行为,为居民消费研究注入了新的元素。特别是具有代表性的学者威廉·斯坦利·杰文斯(英国)、里昂·瓦尔拉斯(法国)、卡尔·门格尔(奥地利)运用数学分析工具探讨消费者行为进而形成系统化的边际效用理论。伴随心理学分析方法的引用,边际效用研究更加丰富,边际效用理论体系不断得到完善和优化,边际效用理论指导现实更加适用化和普遍化。边际效用学派的核心内容包括效用论和序数论。在效用论中,门格尔等边际学派认为效用“就是一物用以满足人类欲望的能力”,效用是具有主观性且可测量的。居民消费行为的主要目的是实现效用最大化,但其效用却符合边际递减规律。与边际效用不同的是,帕累托经过长期的观察认为效用仅仅是消费者主观上的满足程度,并不能进行清晰的界定同时也不能进行数字量化,但可以根据满足程度的大小进行比较排序,并用无差异曲线刻画人们的满足程度大小。总之,边际效用理论学派对经济学研究的重点聚焦于消费,重视消费国民经济运行中的主导作用,并且将更多数学分析运用于分析消费者行为,演绎方式更加侧重于图表和数学表达,从而形成了边际效用理论。这成为后期微观经济学中消费理论的重要研究内容,特别是随着研究工具的丰富、研究分析方法的发展极大地促进了新古典消费理论的发展。
以边际效用理论为基础,新古典经济学派进一步丰富和发展了消费理论。和古典经济学以劳动价值理论为核心不同的是,新古典经济学则以效用理论为基础,大量运用数学分析工具进行效用分析而不是总量分析,并且研究的重点也从如何对国民财富进行创造积累转移到在一定约束条件下的资源配置最优化问题。阿尔弗雷德·马歇尔于 1890 年在其著作《经济学原理》提出了需求表和需求曲线等重要概念,开启了新古典经济学研究的序幕。希克斯在其《价值与资本:对经济理论某些基本原理的探讨》中详细叙述了主观价值思想,从而明确了新古典消费模型中的分析框架。
资本主义发展导致经济危机发生后,西方社会普遍出现需求消费不足的经济现象,原有的经济理论体系已不能适应新形势发展的需求,迫切需要新的理论为解决消费需求不足问题提供破解思路。客观环境的改变推动着经济消费理论的发展,在各种学科思想交汇叠加和技术进步的背景下,消费经济学逐步发展成为一门独立的经济分支。现代消费理论主要研究消费在宏观经济发展中的作用,并探讨影响居民消费的主要限制性因素。
(1)绝对收入假说。凯恩斯在其著作《就业、利息和货币通论》中开创性地提出了基于收入视角下居民消费行为选择,他认为当前可支配收入支撑着当期消费,强化了当期收入对当期消费的基础作用。收入的增加带来消费的增加,但收入的消费边际倾向是递减的,即消费会随着收入的增加而增加,但单位收入中用于消费支出的比重会降低。也就是说,人们的边际消费倾向是向下倾斜的。从这个角度看,居民当期可支配收入直接决定着当期支出状况,收入的多寡就意味着支出的规模大小,不仅如此,除了当期可支配收入以外,其他对收入产生影响的因素也构成影响支出的重要因素。但与可支配收入的影响相比,收入以外的不确定性因素对消费者行为决策影响有限。绝对收入理论基于短期视角来探讨消费者行为决策,并未从长期来考虑收入预算。放眼更长的时间跨度,除了当期可支配收入以外,持久性收入、社会因素、心理因素等其他因素都在某种程度上影响到消费者行为决策。从微观层面看,启动居民消费的关键点在于当期可支配收入。从宏观层面看,基于经济危机发生的深层次原因,凯恩斯提出了国家干预思想。通过深层次剖析经济危机的根源,凯恩斯发现引起经济危机的重要来源是宏观需求不足,此时需要依靠国家力量而非市场力量激发市场需求以便实现充分就业,通过国家干预可以快速地激发市场需求实现充分就业。与微观层面增加居民收入相对应的是,宏观层面应该通过社会保障转移支付的形式加大调整国民收入分配,夯实消费者决策的物质基础。只有提高消费决策者的消费能力,才能使潜在需求转变为有效需求,最大化改善消费不足的窘境,经济才能走出低谷,实现经济发展。在经济危机的阴影下,众多国家采取凯恩斯的经济思想迅速实现了经济发展,其基于国家干预的思想也被众多国家接受。但遗憾的是,在绝对收入理论中,理论仅强调当期收入在消费中的重要角色,而忽略了未来收入和预期对消费者行为决策的作用。基于这一思想指导下的行为决策很难实现生命周期内的效用最大化。
(2)相对收入假说。和绝对收入假说不同的是,相对收入假说更加强调相对收入的作用,或者说相对收入兼有短期和长期视角。在短期内,消费函数可表示为: C = a + bY 。随着收入的增加 Y 0 = Y ,长期消费函数可表示为: C = Y 0 ( k- b )+ bY = kY 。相对收入是指相对于他人或自己过去的收入,显然,消费者的决策行为除了受当期可支出收入的影响以外,还会受到相对收入的影响。不仅如此,居民的“示范效应”和“棘轮效应”也在某种程度上发挥着作用。其中,示范效应是指消费者行为决策受到周围其他消费者行为的影响;棘轮效应是指居民消费决策受到以往消费的影响,或者说居民的消费决策受到惯性作用,而这种消费习惯对消费决策的内在推动力在短期内是不可逆的,消费习惯形成后往往具有固化性,不容易更改。显然,消费者在决策时,当周围居民消费时会对自身消费决策产生无形的作用,示范效应也促使消费者做出和周围群体相似的消费决策;当种种原因而导致收入下滑时,以往消费习惯棘轮效应的存在使得居民消费决策时不至于出现和收入同比例减少的情况。
(3)生命周期和持久收入假说。和绝对收入和相对收入假说不同的是,在强调消费者追求效用最大化和最优选择的基础上,莫迪利安尼和弗里德曼提出生命周期和持久收入假说。他们认为:收入是消费者决策的重要物质基础,但消费者行为决策除了要考虑当期收入以外,还要考虑其在生命周期内拥有的财富存量和收入。这和绝对收入假说有细微的差别,不仅强调收入的作用,同时还强调财富对消费的影响。将居民在生命周期内的财富纳入决策函数中,才能实现消费者跨周期消费,最终实现一生效用最大化。因此,从这个角度看,居民要想实现消费效用最大化,应综合配置其拥有的收入和财富。
(4)预防性储蓄理论。和绝对收入假说、生命周期和持久收入假说不同的是,预期性储蓄理论更加重视不确定性对消费者行为决策的影响。预防性假说认为,居民消费主要依赖于其收入,但由于未来收入具有不确定性,因此消费者在决策时会由于未来收入不确定性预期而调整消费。具体就是,居民在消费时会担忧未来收入不确定性,一旦未来收入出现波动,消费支出必然也会随之波动,从而带来消费不确定性,基于这样的考量,行为评估因担忧未来收入不确定性,从而减少当期消费支出,增加当期储蓄。从未来不确定性看,居民对自身消费资源进行重新配置,增加储蓄,减少当期支出,是决策者预期未来风险下的行为决策。人们将收入中用于储蓄的规模取决于居民预期到的风险程度,未来收入不确定性风险越大,其减少消费增加储蓄的动机就越强;反之,则相反。Leland(1968)在其著作《储蓄和不确定性》中对预防性储蓄的产生条件进行了详尽的分析。
(5)流动性约束理论。大量消费理论研究都表明,无论是当期收入还是持久收入都制约着居民消费。换言之,消费者都会面临预算约束。一旦自有资金无法平滑其消费,消费者都可以借助于自身的禀赋从外部金融市场来缓解资金约束,这也是生命周期假说和持久收入假说设定的场景。然而,现实场景和理论逻辑并不吻合而出现了偏差。现实中人们并不能在任何时候都满足融资需要,由于各种原因,消费者通过金融市场供给主体获得融资时往往受到诸多限制,这就是信贷约束或流动性约束。在市场经济中,众多因素影响居民从金融市场获取的信贷支持。原因大致有三类:一是从资金需求方来看,借款者自身财富限制,无法提供必要的抵押资产来获得融资;二是从资金供给方看,金融市场中的道德风险和逆向选择阻碍着信贷资源的有效供给;三是从资金中介方看,消费信贷市场发展滞后,提供的金融产品无法满足消费需求。当消费者收入水平下降时,如果外部资金支持受到限制而不能改善预算约束,那么消费者必然会减少消费支出;当然,即使当期收入没变化,而如果消费者预期未来收入减少时,通过理性分析未来财富缩水,未来收入保障面临不确定性,跨期流动性约束同样会减少当期消费,增强未来支付能力。
伴随经济环境的变迁,映射生产关系的消费理论也由萌芽状态逐渐发展完善、成熟。从开始依附于经济学到最后发展成为独立的分支,从如何促进宏观财富的创造到提高资源的微观生产配置效率,消费理论体系对居民现实消费的揭示越来越丰富,对经济发展的指导作用愈发凸显。一方面,社会的变革与需求成为消费理论演变的内源拉力;另一方面,消费理论的发展与完善也是经济社会进步的外源助力。
从消费理论的演进历程看,学术界对居民消费行为的认识更加深入,从消费的贸易属性再到消费的财富属性到消费的生产属性,这一演绎过程诠释出居民消费研究的重要性和价值性。对居民消费行为的研究更加丰富,从资本主义初期的原始资本积累阶段开始,到后来的古典经济学以及资本主义成熟时期,收入都被视为影响居民消费的关键因素。尤其是形成了以凯恩斯为主体的分析框架,后续的研究大多基于凯恩斯的需求理论为基石进行拓展,并衍生出多学科多领域的消费理论。然而从居民消费理论的实践背景来看,西方消费理论是以西方资本主义社会发展为轴线,反映了时代特征和需求,有力地促进了西方经济的发展。反观国内,西方消费理论在我国是否具有普适性却引起学术界的广泛关注。我国学者朱信凯、骆晨(2011)认为西方消费理论在我国的适用具有阶段性,绝对收入理论在改革开放以前的指导作用比较明显,而改革开放以后的作用效应则不是很突出。换言之,绝对收入消费理论仅仅适用于前期而不适用于后期;相对收入假说中的棘轮效应和示范效应可以在一定程度上揭示我国居民消费现象和规律,但贫富差异的扩大抑制了示范效应的发挥,示范效应仅仅存在于同一阶层,而对于贫富悬殊的两个阶层来说,他人消费的示范效应在式微;绝对收入、预防性储蓄假说等理论大都建立在西方发达的市场经济上,和西方相比,我国在经济发展和制度建设上都有明显的区别,因此,消费函数的构建要结合我国国情,而不能直接用西方消费理论来指导我国实践。
西方消费理论的发展,也成为我国学术界重点研讨和跟踪方向,结合中国国情的西方经济理论在社会生产方面并发挥了积极作用,但随着经济环境的改变,我国的居民消费开始呈现疲软态势,出现居民低消费的未解之谜,目前也尚无破解之道,无疑降低了消费理论的解释力。值得庆幸的是,心理学与经济学交叉学科的兴起开创了行为经济学研究的先河,使对居民消费行为的研究从传统的外部宏观经济因素切换到内部微观心理因素,抓住消费者内心活动规律,行为经济学为研究消费理论的研究提供了新的视角,丰富了消费理论研究内容。从而值此背景,理论的发展方向必须以现实需求为导向,通过学科交叉多维度对居民消费现象进行深入的解读和研判,挖掘引致消费低迷特别是消费信贷资源配置低下的背后原因,并积极利用最新的技术方法来为实证分析提供支持。
伴随着消费理论的演进,消费理论研究视角更加多元,然而传统以经济为中心视角的消费理论无法解释现实居民低消费的原因。鉴于此,行为经济学对居民的研究从宏观的经济社会等外部因素分析切换到消费者个体尤其是心理因素的影响,行为经济学逐渐成为一门经济学的独立分支,由此衍生的心理账户理论更是行为经济学研究的中心。因此,本书有必要对心理账户理论的发展演进过程及主要内容进行阐述。
芝加哥大学经济学家Thaler于 1980 年开创性提出心理账户概念(Psychic Accounting),为了寻求沉没成本
(sunk cost effect)影响居民消费决策时内在逻辑机制。Thaler认为沉没成本之所以能够作用于消费决策,可能是基于两个解释:Kahneman和Tversky提出的前景理论和消费者内隐的心理账户系统。理性消费者在进行经济决策时,会将获得财富的支出和投入作为总成本,以此作为消费决策的重要参考,这就是居民在进行消费行为时在心理上对财富的估价过程。
自Thaler首次提出心理账户以来,学术界对此进行了更深入的研究。Kahneman和Tversky于 1981 年在 Science 提出了心理账户,认为消费者在决策时根据不同的决策任务形成相应的心理账户。Kahneman认为,消费者在心理对经济行为结果进行分类记账、编码、估价和预算就是心理账户建立的过程。为进一步对心理账户进行优化,使得心理账户概念更加贴近现实,Kahneman和Tversky于 1984 年使用mental account来替换“Psychological Account”。Kahneman认为消费者进行经济决策的过程就是综合衡量各种结果的过程,更是对财富进行估价的过程。消费者心理上对财富进行估价遵循着最简单的得失比较,但并非完全是经济意义上的价值判断,据此提出“值函数”和“决策权重”来详细诠释得失评价标准。
在心理账户概念不断丰富完善的基础上,Thaler于 1985 年在其代表作《心理账户与消费者行为选择》一文中,正式提出了“心理账户”理论,系统地分析了心理账户现象,结合典型事例阐述心理账户影响消费者决策的内在逻辑机制。Thaler认为:心理账户内隐于消费者,每个人都有或明确或潜在的心理账户系统。居民在做出消费决策时,其遵循的理论基础并非源于传统经济学,甚至采用和经济学相矛盾的运算规则,表现在心理账户的记账方式明显异于传统经济学和数学分析。Tversky(1996)认为,心理账户系统遵循着潜在的运算法则,对于居民而言可能是虚幻的认知,有助于解释行为投资者的非理性行为。Kivetz(1999)则把心理账户归结为基于不同财富进行编码和分类的过程。
1999 年,Thaler发表“mental accounting matters”一文,详细总结了心理账户的理论,所谓“心理账户”是人们在心理上对结果(尤其是经济结果)的编码、分类和估价的过程(Thaler,1980,1985;Tversky和Kahneman,1981;Kahneman和Tversky,1984;Henderson和Pertesron,1992),它揭示了人们在进行(资金)财富决策时的心理认知过程。基于不同的来源、获得财富的难易程度不同,居民会进行分类储存从而形成心理账户系统,并且对不同的心理账户系统进行运算,结果就是居民的决策行为和传统经典理论假设相背离,行为决策表现出非理性特征。从心理账户的作用机制上看,内隐于决策者并且引致行为决策的外在变化,这正是导致非理性决策的重要过程。在心理账户理论中,Thaler(1999)指出,心理账户的核心点在于:第一是人们对结果的感知和体验。不同财富的感知是不同的,人们更关注于通过辛苦付出的获得,而对于非常规收入则关注度较低。第二是人们对各种活动的心理账户与消费进行匹配归类。常规收入与基本消费相关联,而意外横财与奢侈消费相关联。第三个是心理账户被评估的频率。人们会经常评估常规收入,而对于非常规收入则很少评估,或者说评估的频率很低。
运算规则决定了理论指导现实的可靠性和科学性,传统经济学主要基于效用理论来探讨消费行为,可以说效用理论的提出推动了传统消费理论的发展。然而正如前文指出,行为经济学中心理账户的运算法则是不同于经济学核算规律的,因而有必要对心理账户的运算法则进行说明,为本书研究分析提供科学的理论来源。心理账户理论作为行为经济学分析逻辑起点,其运算规则一是值函数假设,二是得失编码规则。
为了更深入剖析心理账户作用于消费决策的内在逻辑,在Kahneman前景理论基础上,Thaler提出“值函数”思想。“值函数”是心理账户的关键概念,和“效用函数”不同的是,值函数有参照点依赖、敏感性递减、损失规避三个特征。
第一,参照点依赖。在进行消费决策时,居民往往主要把自身感觉的得失作为参照点,显然这是人们对某一价值的主观判断,而不是经济学意义上财富的绝对数。Kahneman和Tversky(1984)也认为人们会下意识地加工心理账户系统,主要以参照点或者相对值为参照而非绝对水平。参照点依赖也就意味着,人们行为决策会围绕着参照点进行,参照点的变化必然引起决策的变动。
第二,敏感性递减。在得失(盈亏)面前,人们心理体验和感受是有差异的,从得失敏感度曲线可看到(见图 2.1),在图中右侧部分为盈利(获得)曲线,左侧部分为损失曲线。数学信号特征明显的曲线反映出人们的偏好,获得时风险厌恶,而损失时风险偏好。人们的敏感度与离参照点距离有关联,离参照点越近越敏感。
第三,损失规避。Kahneman和Tversky(1992)认为,损失曲线和获得曲线的斜率是不同的,前者要大于后者,这意味着对于同等大小的损失和获得,居民对损失表现出的敏感度是获得时敏感度的 2 倍。由图 2.1 可看到,盈利曲线的斜率要远远小于损失曲线,因此,对于相同数值的损失和盈利,居民往往更关注于损失时的感受。
图 2.1 值函数假设
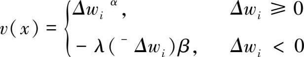
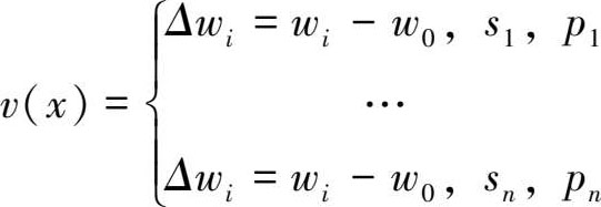
首先是价值函数 v (·)。前景理论把未来不确定性的结果称之为前景,而不是利用效用函数中的期望值。价值函数是居民对于某一参照点时的主观感受水平,是财富的相对价值,而不是财富的实际值或绝对值。所以在所有可能结果集 S ( s 1 ,…, s n )中,事件 i 发生的概率集为 P ( p 1 ,…, p i ),并且满足概率公理 ∑ p i =1,其对应的价值 Δw i 为实际收益 w i 与参照点之差 w 0 。其价值函数可表示为 v ( Δw i ):
前景理论认为,当 Δw i >0 时, v ″( Δw i )<0;当 Δw i <0 时, v ″( Δw i )>0,并且 v ( Δw i )更为陡峭。这表明,决策者在得到收益时往往表现出风险规避,而在发生损失时,则表现出风险偏好,并且决策者对损失比收益更加敏感。因此,考虑到对于不同价值的主观风险态度,价值函数可进一步表示为
其中, α 和 β 为风险态度系数,并且 α ∈(0,1), β ∈(0,1),其大小反映了决策者的风险倾向; λ 为损失规避系数(卡尼曼认为,个体对同等数量损失的反应程度是同等数量收益的 2 倍,故损失规避系数为 2), λ >1 说明决策者对损失很敏感。当 λ =2.25, α = β =0.88。
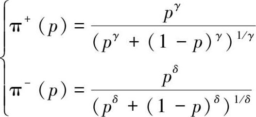
其次是决策函数π( p )。效用理论反映了个体基于理性的决策行为,前景理论反映了居民基于未来风险不确定性的综合判断下的决策轨迹。预期效用理论和前景理论分别以客观概率和主观概率为决策依据。有别于传统效用理论,前景理论认为风险决策者会对 i 事件发生的客观概率( p i )进行主观上的心理评判,π( p i ) [1] 是居民认为事件发生的主观概率,显然,它不是和概率( p i )的函数一一对应,是居民决策者对事件出现可能性的主观认知表达。决策权重主要依赖于感知的事件的可能性,而它可能受主观偏见的支配。因此,前景理论认为人们在实际决策过程中对概率的估计值与实际值不符合,决策概率异于真实概率,自然它不受概率论公理( ∑ π( p i )<1)约束,也不是真实信任度的表达(陈凯和黄滋才,2017)。
卡尼曼等给出了决策函数公式:
其中,π + ( p )为收益情景下的权重,π - ( p )为损失状态下的权重, γ =0.61, δ =0.69。
需要注意的是,决策权重并不等同于客观概率。从客观概率与决策权重图(见图 2.2)可看出,横轴为客观概率 P ,纵轴为权重π,概率函数为线性的(对角直线),决策权重函数是非线性的(圆弧状曲线)。
图 2.2 客观概率与决策权重
评估阶段时,居民会基于主观感知的获得与损失进行估价,每一种前景事件都对应着相应事件发生的可能性或概率,从而做出最终的选择。在评价阶段,作为决策者的农户结合价值函数和决策权重函数计算前景值,并以此作为行为决策依据。前景的价值是前景中各个属性值(属性值与参考点的差值称为结果)的价值与属性值对应概率权重乘积的总和(Tversky和Kahneman,1992;Camerer和Ho,1994;Neilson和Stowe,2002;Schmidt和Zank,2012;张小涛等,2016)。总体来看,前景理论函数的前景价值( V )可表示为
其中,π( p i )为决策权重, v ( Δw i )为价值函数。
得失编码规则。假设X、Y是两笔收入,每笔收入的心理满足值分别为V(X)和V(Y),通过预期理论的价值函数可知,人们在面临得与失的时候心理估算是不同的,对于同等数量的财富,多次获得与一次获得的心理效用是有差异的,意味着人们有享乐主义的偏好。为此Thaler(1985)提出了心理账户运算的另一个规则即得失编码规则。
第一是分开收益。当人们面临收益时,收益获得次数与心理体验成正比,多次收益比整合单次获得拥有更多的心理满足。通过图 2.3 也可看出收益为正的曲线为向下凹形,假设有收益X和Y,故有V(X)+V(Y)>V(X+Y)。
第二是整合损失。当人们面临损失时,损失付出次数与心理体验成反比,整合多个损失比多次损失更能减少人们的痛苦体验。假设有亏损-X和亏损-Y,V(-X)+V(-Y)<V(-X-Y)。
第三是大得小失要整合。当收益和损失并存,并且损失要小于收益时,将二者进行整合能够降低人们的痛苦体验。假设有收益X和亏损-Y,X>Y,且余额为正,此时V(X)+V(-Y)<V(X-Y)。
第四是小得和大损要分开。同样是收益和损失共存,且收益要小于损失时,将二者分开有助于降低人们的痛苦体验。假设有收益X和亏损-Y,且X<Y,余额为负,此时V(X)+V(-Y)>V(X-Y)。
图 2.3 得失编码
资料来源:李爱梅和凌文辁,《心理账户:理论与应用启示》,2007。
行为经济学的发展为更深入细致地分析居民消费行为提供了新的研究视角,前景理论和心理账户理论为行为经济学的发展捕捉到了微观消费主体的心理活动过程,这弥补了传统消费研究的不足,在一定程度上解释了居民低消费率之谜,为消费理论的发展演进增添了活力和动力。虽然很多学者都肯定了心理账户普遍性的存在,也证实了心理账户非替代性特征、享乐主义编码规则等,然而对于以心理账户理论为重点的行为经济学来说,其决策主要依据于有限的直觉启发式思维,并不是基于客观信息概率做出的理性判断。
[1] π( p i )具有以下特征:π(0)= 0,π(1)= 1,并且当 p i 较小时,个体会高估事件 i 发生的概率,即π( p i )> p i ;当 p i 较大时,个体则会低估事件 C = a + bY 发生的概率,即 Y 0 = Y 。