



在本章,我将介绍四个随机增长模型,这四个模型着重考虑增长与不确定性之间相互影响的不同方面。第一个是加入了随机生产率冲击的(完全市场条件下的)基本新古典增长模型,该模型最早由布洛克和米尔曼(Brock and Mirman,1972)提出。它不仅是第8章基本新古典增长模型的一般化扩展,还是颇有影响力的真实商业周期模型的开端,而真实商业周期模型广泛应用于研究一系列中短期宏观经济问题。我将在下面三个小节介绍这个模型及其影响。从家庭和企业可以用任何阿罗-德布鲁商品进行交易的角度看,基本新古典增长模型考虑的是完全市场。由于存在不确定性,完全市场意味着全部或有索取权都可以被竞争性地交易。比如,家庭可以在一个特定历史时期之后支付1单位的最终产品购买一种资产。完全市场的存在,或者说全部或有索取权的存在,意味着家庭完全可以自己防范非系统性风险。在这些模型中,总量冲击是重大不确定性的来源。因此,不确定情形下的标准新古典增长模型甚至根本就没有引入异质性冲击(就算提到,也常常避而不谈)。
以上讨论说明了或有索取权在不确定性情形下的基本新古典模型中的重要性。此外,在不确定情形下,或有索取权的可交易是代表性家庭这一假设得以成立的充分必要条件。第17.4节,引入了家庭不能交易或有索取权而只能交易无风险债券的模型,来说明上述结论。这个模型基于比利(Bewley)在20世纪70年代和80年代的开创性研究,而且明确设定家庭之间不能分担风险,因此具有“不完全竞争市场”的特点,对宏观经济问题来说,尤其重要的市场不完全就是异质性风险不能被分摊或被分散。家庭面临着劳动收入的随机变化,并且只能通过“自我保险”来平滑消费,也就是说通过以市场利率借入或贷出来平滑消费。正如第9章的叠代模型,比利模型并不接受代表性家庭的假设。该模型不仅对阐述不确定情形下的或有索取权有十分重要的作用,而且对研究与风险、收入波动和政策相关的许多宏观经济问题也十分有用。因此,大约过去10年以来,它已经成为宏观经济分析的又一个主力模型。
最后的第17.5节和第17.6节将介绍随机叠代模型。第17.5节呈现的是一个包含了随机因素的标准叠代模型的简单扩展。
第17.6节说明为何随机增长模型有助于我们理解从低增长起飞到持续增长(阶段)的过程,第1章对此也有过讨论。从许多社会的长期经验来看,一个显著特征是,经济发展的早期阶段人均收入几乎停滞不前,而且经济危机频繁。起飞的过程不仅使增长提速,而且使增长过程更为稳定(波动更小)。研究这些问题需要用到随机增长模型。第17.6节介绍了一个模型,它为分析经济表现的波动和起飞提供了统一的分析框架。其中的关键特征是,对投资于有风险的活动和投资于相对安全的低回报活动进行权衡取舍。在发展的早期阶段,社会并没有足够的资源充分投资于多种经济活动以获得多样性,从而不得不承受较高的风险。为了降低风险,人们也会投资于一些回报相对安全的低回报活动,比如一项存储技术或者安全技术以及低回报的农产品。最后达到一个均衡过程,这个过程具有长时期的缓慢增长或者无增长特征,其经济表现大起大落。一个经济体可以避免这一发展阶段并起飞到持续增长阶段,只要其风险投资在一些连续时期都是成功的。当这一过程发生时,该经济体就会更多元化,而且可以通过更发达的金融市场更好地管理风险。更多元化会降低风险并使该经济体投资于更高回报的活动,提高其生产率和增长率。因此,这个简单的随机增长模型对一个经济从不稳定的低增长起飞到可持续的稳定增长提供了典型的解释。我用来阐述这些观点的模型,兼具简单的随机增长和内生的不完全市场这两个特点。因此,我不仅用这个模型说明为什么马尔科夫过程的一些简单观点可以用来描述动态经济的随机均衡路径,而且强调该模型在内生的不完全市场条件下会出现潜在的低效率问题。最后,这个模型为我们观察金融增长和经济增长之间的关系提供了一个切入点,这个问题我们将在第21章更深入地讨论。
布洛克和米尔曼在1972年的论文中最早对随机冲击下的经济增长进行了系统分析。布洛克和米尔曼专注于最优增长问题,并在伴有不确定性的动态新古典环境中求解社会规划者的最大化问题。由于在竞争且完全的市场中第一和第二福利定理都成立,所以均衡增长路径等同于最优增长路径。不过,对均衡增长的分析更为复杂,还需要引入几个新的概念。我将从布洛克-米尔曼(Brock-Mirman)方法开始,然后在下一节探讨不确定性条件下的竞争均衡增长问题。
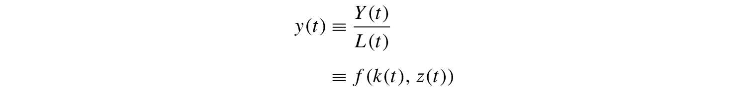
该经济体类似于第6章和第8章研究的基本新古典增长模型。时间是离散的,总生产函数表示为
其中
z
(
t
)表示随机总生产率,它关系到使用给定的资本和劳动组合生产唯一最终产品的效率高低。让我们假定
z
(
t
)遵循马尔科夫链,其取值范围是集合
。对确定性下的这一新古典增长模型的很多应用也假设随机冲击是劳动扩张型的生产率项,于是总生产函数形如
,若不是为了方便此处的分析,我们不需要施加这个额外的限制条件。假定生产函数
F
满足第2章的假设1和假设2,同时将人均产出和人均生产函数定义为
其中 k ( t )≡ K ( t ) /L ( t )再次表示资本劳动比。百分比 δ 表示现有资本存量在每个时期的贴现率。最后,还假设数字 z 1 ,…, z N 以升序排列, j > j′ 意味着对于所有 k ∈ℝ + ,都有 f ( k , z j )> f ( k , z j′ )。该假设说明就所有资本劳动比而言,能够带来更高生产率的随机冲击 z 具有更高的价值。此外,让我们假设 z ( t )遵循一个(如假设16.6定义的)单调的马尔科夫链,因此今天价值较高的 z 在未来也更有可能创造更高的价值。
在偏好方面,该经济体存在一个具有瞬时效用函数 u ( c )的代表性家庭,而且这一效用函数满足第8章的假设3。该代表性家庭无弹性地提供1单位劳动,于是 K ( t )和 k ( t )可以交换使用。总消费 C ( t )和人均消费,这里用 c ( t )表示,也可以交换使用。最后,在观察到 t 期的随机冲击 z ( t )出现时,代表性家庭做出 t 期的消费和储蓄决策。
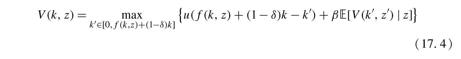
社会规划者最大化代表性家庭预期效用问题的另一个版本可以写为
约束条件为
其中 k (0)>0。表示资源约束的(17.3)式必须在随机冲击 t 的每个状态和每段历史下都满足(为了使初始问题的公式保持简单,我没引入过去冲击产生的影响)。
为了运用排序问题描述最优增长路径,我们需要定义可行的规划,具体地,在第16章介绍的映射
,其中
仍然表示到
t
期为止(总)的冲击历史。我们不再重复这些步骤,而是直接观察该规划的递归版本,表示如下
其中我用到了“max”而非“sup”,因为这种最大化问题一定有解。具体地,第16章的主要理论可以直接应用于该问题,并且获得以下结论。
命题17.1
在上述随机最优增长问题中,价值函数
V
(
k
,
z
)是唯一定义的,它对其两个自变量都是严格递增的,对
k
严格凹,在
k
>0可微。此外,存在一个唯一定义的策略函数
π
(
k
,
z
),于是
t
+1期的资本存量表示为
,
z
(
t
))。
证明
这里只需要证明第16章中的假设16.1至假设16.6是满足的,于是定理16.1至定理16.7可以适用。为此,首先定义
满足
同时证明资本劳动比开始于
k
(0),之后总是保持在紧集[0,max {
k
(0),
}]中。
此外,可以得出下列命题:
命题17.2 在上述随机最优增长问题中,下一期资本存量的策略函数 π ( k , z )对两个自变量都是严格递增的。
证明 根据假设3, u 是可微的,根据命题17.1, V 对 k 是可微的。于是,对于 k >0,我们可得
其中 V′ 表示函数 V ( k , z )对其第一个自变量的导数。因为根据命题17.1, V 对 k 是严格凹的,这个等式只有当 k 或 z 增加且 k′ 也增加时,才能成立。例如, k 的增加会使第一项减少(因为 u 是严格为凹的),于是 k′ 的增加是第一项增大同时第二项减小的必要条件(基于 V 是凹性)。 z 的增加对各项的影响也类似。证毕。
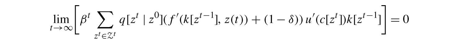
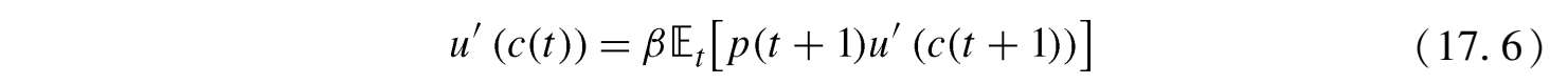
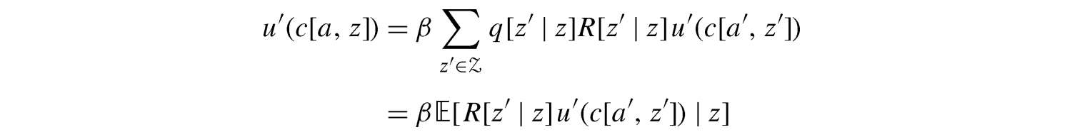
对不确定性下的新古典增长模型推导其随机欧拉方程也很简单。为此,让我们先将消费的策略函数定义为
其中 π ( k , z )是在命题17.1中决定的下一期资本存量的最优策略函数。根据这个定义,随机欧拉方程可以表示为
其中 f′ 表示人均生产函数对资本劳动比 k 的导数。从这个形式看,欧拉方程比较复杂。这个方程的另一种略微不同的表示方法看起来更为简单和直观:
其中
表示由
t
期可得信息决定的期望值,
p
(
t
+1)是资本在
t
+1期的随机边际资本产出(包括原始资本)。这种表示随机欧拉方程的形式也可以用来和竞争均衡进行比较,因为
p
(
t
+1)等同于
t
期投资的单位资本(在
t
+1期)的随机红利。最后,我们还可以将最优规划下的横截性条件表示为
已知
z
(0)∈
,其中为了简化表述,我又一次用到了
c
(
t
)=
π
c
(
k
(
t
),
z
(
t
))和
k
(
t
)=
π
(
k
(
t
-1),
z
(
t
-1))。很容易证明定理16.8也适用于这个情况,这也意味着(17.6)式和(17.7)式足以求出此处最优增长问题的解。
尽管命题17.1确定了价值函数和策略函数的形式,其中仍然存在两个不足之处:第一,它没能给我们提供非随机新古典增长模型的类似“收费公路理论”(见第6.8节)。尤其是,它没能描述不确定性条件下的新古典增长模型的长期行为。第二,尽管命题17.1的描述得出了一些关于价值函数和策略函数的定量分析结论,但它并未给出比较静态方面的结果。
完整分析随机增长模型的长期行为将使我们远远超越马尔科夫分析过程。然而,几个简单的观察有助于我们理解本模型中资本劳动比的随机运动规律的一些显著特点。 t +1期的资本存量由策略函数 π 给出,于是
该式定义了一个一般马尔科夫过程,
因为在实现
z
(
t
)之前,
k
(
t
+1)是随机变量,其运动法则由最后一期
k
(
t
)的价值和
z
(
t
)的实现值决定。当
z
(
t
)具有非退化分布时,
k
(
t
)并不会明显地收敛于一个唯一值(见习题17.4)。相反,它收敛于一个不变的有限分布。我们可以证明事实的确如此。马尔科夫过程(17.8)式定义了一个性状良好(well-behaved)的随机过程,它开始于任意
k
(0),收敛于一个唯一的不变有限分布,这意味着当我们观察足够远的范围时,
k
的分布应该是独立于
k
(0)的。此外,不变有限分布中
k
(
t
)的平均值和
T
→∞时的时间平均值
相同(因此资本存量的随机过程是遍历性
的)。于是,现在的稳态均衡不是资本劳动比和人均产出的具体值,而是不变有限分布。当随机变量
z
(
t
)在一个足够小的集合取值,该有限不变分布将围绕着某个具体值徘徊,我们一般将这种情况称为资本劳动比的“准稳态”值,因为即使均衡资本劳动比也可能不会收敛于该值,只是回归到该值的附近。但是通常来说,有限分布的范围将宽得多。
为了更好地理解不确定性下新古典增长模型的表现,接下来我将介绍一个简单的例子,该例允许我们获得策略函数 π 的封闭解。
例17.1
假定
。随机冲击
z
仍然满足集合
下的马尔科夫链,其变化可能性用
q
jj′
表示。令
k
≡
K/
L
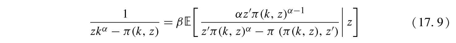
。由随机欧拉方程(17.5)可知
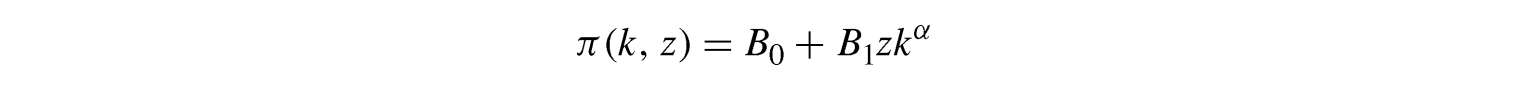
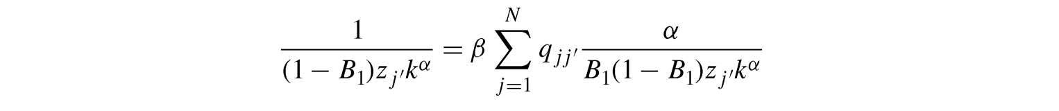
这是一个相对简单的单一函数 π (·,·)的泛函函数。尽管简单,该函数方程仍很难解,除非我们大致知道其解是什么样的。在这里,幸运的是,我们可以“假设然后证实”该泛函方程的解。让我们假定
将其代入(17.9)式,可得
很容易证实当 B 0 ≠0,该式不能成立(见习题17.5)。接着令 B 0 =0且用 z = z j′ 明确表示期望值,(17.10)式变为
将该求和的每一项都简化,可得
现在,将
z
j′
和
k
从求和中剔除,同时运用根据定义有
的事实,我们可以简化剩余项并得到
B
1
=
aβ
,于是不考虑
z
的精确马尔科夫链,最优政策规则是
读者可以证明该结果和第6章例6.4的结果相同,其中 z 相当于非随机生产率项。于是,在这种情况下,随机元素并没有改变最优策略函数。习题17.6说明,当 z 满足一般马尔科夫过程而非马尔科夫链时,也能得到相同的结果。
根据这个例子,我们可以完整地分析资本劳动比和人均产出的随机行为。实际上,该经济体中资本劳动比的随机行为等同于第17.5节分析的叠代模型的随机行为,同时该节的图17.1也完全可以适用于此例。关于这些问题更详细的讨论留到习题17.7。不幸的是,例17.1是新古典增长模型得出封闭解的罕见例子之一。具体而言,当资本存量的折旧率 δ 不等于1时,不确定性条件下的新古典增长模型的解没有明确的表达形式(见习题17.8)。
让我们现在考虑不确定性条件下的新古典增长模型的竞争均衡。其条件和前一节的一样, z 相当于影响所有生产单位的总生产率冲击。我们继续假设 z 满足马尔科夫链。将阿罗-德布鲁商品定义为标准形式,即根据历史时期 z t ,对不同产品的不同实现方式编号,这是一个具有可数且有限商品的经济体。第二福利定理(第5章的定理5.7)适用,这说明前一节描述的最优增长路径可以是分散决策的竞争均衡(见习题17.9)。该结果说明(人们)常常关注随机增长模型中的最优增长问题是有其原因的。
这里,我将简要地探讨该经济体的竞争均衡的明确表达式,一方面更清楚地说明完全市场中最优增长问题和均衡增长问题之间的相似性,另一方面介绍一些与或有索取权在不确定性条件下的竞争均衡中如何定价相关的重要思想。不确定性条件下的完全市场假设意味着,理论上说任意商品,包括任何或有索取权,都可以竞争性交易。然而,正如第5.8节的分析,实际上没有必要设定或者交易所有这些商品,而且可获得商品的子集也足以为家庭和企业提供必要的交易机会。本节的分析还说明商品或者或有索取权的子集足以确保完全市场的均衡。具体地,我先介绍当全部商品都可交易且所有交易都发生在 t =0期时,不确定性条件下的竞争均衡。接下来,我将说明,在序贯交易且或有索取权的子集较小,即在阿罗证券的情况下,如何得到竞争均衡的等价表达式(请回忆第5.8节)。在两种公式化的表达方法中,描述竞争均衡的关键步骤在于为市场出清条件以及由此导致的无套利条件写出公式。
偏好和技术都和第16章的一样。请回忆该经济体有一个代表性家庭,且生产方可以由一个代表性企业表示(定理5.4)。让我们先考虑代表性家庭的问题。该家庭最大化(17.2)式给出的目标函数,约束条件是生命期界(从 t =0期开始表示)。
为了表示该家庭的生命周期预算约束,令
t
为随机变量
z
t
到
t
期为止的所有可能历史集合,
∞
为无限历史集合。虽然有滥用表示符号之嫌,但我还是用
z
t
∈
∞
表示长度为
t
的可能历史。对于任意
z
t
,令
p
0
[
z
t
]为0期的最终产品,根据历史
z
t
在
t
期的唯一价格。令
c
[
z
t
]为家庭根据历史
z
t
在
t
期的消费。令
为该家庭的工资及总劳动收入,用0期开始的历史
z
t
的最终产品表示。最后,令
R
0
[
z
t
]为状态
z
t
之后的一单位资本的价格。注意此处的
R
0
[·]是指资本品的价格,而非租赁价格(然而,在决定论式的增长模型中,
R
是资本的租赁价格)。这个惯例只是为了表述方便,没有任何实质影响(见下面)。根据这个表述,该家庭的生命周期预算约束可以表示为
该生命期界预算还有几个值得注意的特征。 [1] 第一且最重要的是,不考虑预期。这是因为该经济体有完全市场,意味着家庭在该经济体的初始时期,即 t =0期,其所有阿罗-德布鲁商品都是以良好定义(well-defined)的价格向量完成(生命期界)交易的。结果,生命预算约束等价于标准一般均衡理论的静态预算约束。更明确地说,家庭根据不同的“或有”消费束购买商品。这些消费束之所以是或有的,是因为它们取决于总状态变量(随机冲击) z t 的历史,于是,它们是否能实现取决于随机冲击的次序。比如, c [ z t ]表示当历史 z t 实现时,分配给 t 期的最终产品的消费数量。如果不同的历史 z t 实现,就不会出现这样的消费。这种表示生命期界预算约束的方法再次强调了按照阿罗-德布鲁商品思考的重要性。
第二,根据这一解释,左侧部分仅仅是将所有可能情况(例如,全套 p 0 [ z t ])下的价格当作已知的家庭总支出。右侧有着相似的解释,除了它表示家庭的劳动力收入而非支出。右侧的最后一项 R 0 [ z (0)] k (0)是该家庭初始资本存量(将初始状态 z (0)当作已知)的价值。
最后,(17.11)式的右侧也包括赋予该家庭的利润(正如第5章的定义5.1)。总生产函数体现了与完全竞争市场相关的不变规模效应,这一事实说明均衡利润等于0。这使我们可以不失一般性地忽略代表性家庭预算约束的额外利润。
该家庭在 t =0期的目标函数也可以更加明确地写成
其中 q [ z t │ z 0 ]是在 t =0期, z t 将在 t 期出现的概率。我用这种条件概率的形式表达,以此在所有交易都发生在时期 t =0的模型和序贯交易模型之间构建起联系。注意在这个目标函数中不再有期望因子。相反,用之前引入的概率为权重加总所有的可能事件。 [2]
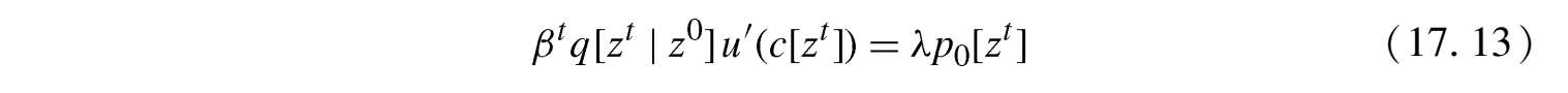
为了从时期 t =0时的交易描述竞争均衡,最简便的方法是考虑约束条件为(17.11)式的(17.12)式的最大化,而非用递归方式设定此问题,这是第17.2.2节采用的方法。假设存在内点解,对所有 t 和所有 z t 的一阶条件为
其中λ是(17.11)式的拉格朗日乘数因子,相当于时期 t =0时的收入边际效用(见习题17.11关于为何此例中生命期界预算约束的唯一乘子是充分的)。将两个不同的历史 z t 和 ẑ t (对于 t 期)的一阶条件结合起来得到
这说明右侧是对应不同历史
z
t
和
ẑ
t
的相对消费价格。将历史
z
t
和
z
t+1
下的一阶条件结合可知
,于是我们得到
因此,右侧相当于,时期 t 和 t +1之间的或有利率。取决于历史 z t (和历史 z t+1 的出现与否)。尽管这些表达式是直观的,它们还是不能用来描述均衡或投资序列,除非我们知道更多有关价格 p 0 [ z t ]的信息。我们可以从代表性企业的利润最大化问题推导出价格。
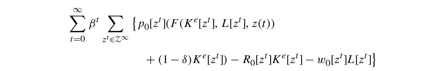
接下来,让我们将该企业在 t =0期的价值写为如下形式:
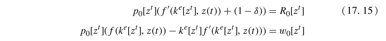
请回忆其中 R 0 [ z t ]是资本价格, w 0 [ z t ]是历史 z t 下的工资率, K e [ z t ]和 L ( z t )分别是代表性企业在历史 z t 下资本和劳动力的雇用水平。我们专门引入上标“ e ”旨在强调 K e [ z t ]是代表性企业在历史 z t 后使用的资本量(而不是代表性家庭在历史 z t 后通过储蓄形成的资本)。代表性企业要实现利润最大化意味着
利用规模报酬不变性质并将所有表达式做人均处理,这些一阶条件可以写为
其中 f′ 表示人均生产函数对资本劳动比的导数 k e ≡ K e /L 。第一个方程式将最终产品的价格和资本品价格以及资本的边际生产率联系起来,第二个方程式则根据最终产品的价格和劳动的边际(实物)产出确定了工资率。(17.15)式也可以解释为单位资本品在历史 z t 后的价格。 R 0 [ z t ]等于该单位资本支付的股息价值,包括未贴现资本(如,最终产品的价格 p 0 [ z t ])乘以资本的边际产品 f′ ( k e [ z t ] z ( t ))加上(1- δ )未贴现资本和根据 t 期的最终产品返还给资本品持有者的资本。构建竞争均衡模型并写出(17.15)式的一个可行方法是假定资本品被企业租用而非购买,于是引入资本品的一个租赁价格序列。习题17.12表明这一可选的竞争均衡模型将导出相同的结果。这并不奇怪,因为在完全市场中,今天购买1单位的资本,明天出售1- δ 单位的未定权益就相当于租赁。在你使用的表达式中,资本品无论是企业购买的还是租赁的,都只关乎便利性和侧重点的问题。
描述竞争均衡的关键步骤是对市场出清条件的设定。对劳动力而言,这很直观,要求对于所有 z t ,有
为了表示资本的市场出清条件,请回忆历史 z t 下人均产出表示为 f ( k e [ z t ] z ( t ))+(1- δ ) k e [ z t ],并且将这一人均产出在消费 c [ z t ]和储蓄 k [ z t ]之间分配。在 t +1期使用的资本(在历史 z t+1 基础上)必须等于 k [ z t ],因为这是在 t +1期的开端可获得的资本量。资本市场出清意味着对任意 z t+1 =( z t , z ( t +1)),有
因为 t 期可获得的资本量是固定的,和 z ( t +1)的实现无关。对于任意 z t+1 =( z t , z ( t +1))资本市场出清条件可以表示为
无套利条件是描述竞争均衡必需的,它将
z
t+1
条件下的资本价格(
R
0
[
z
t+1
])和
t
期的最终产品价格(
p
0
[
z
t
])联系起来,然后直接由资本市场出清条件表示。具体而言,考虑以下无风险套利:某家庭在历史
z
t
后购买了1单位最终产品并将其储蓄作为
t
+1期的资本。
[3]
同时,该家庭在每个历史
卖出对资本品的索取权。这些关联交易没有风险,因为基于历史
z
t
的每单位最终产品包含了任意历史
后支付1单位资本品的责任。结果,这种交易不盈也不亏,也就意味着无套利条件为
竞争均衡可以按标准方式定义为决定消费、储蓄和资本水平
以及价格序列
的可行策略,可使家庭最大化其效用(如,满足(17.13)式),企业最大化其利润(如,满足(17.15)式和(17.19)式),同时劳动力和资本市场出清(如满足(17.16)式、(17.17)式和(17.18)式)。
为了描述该均衡路径,让我们将(17.15)式和(17.19)式代入(17.13)式给出的消费一阶条件,并重新整理可得
在 t +1期使用(17.13)式,我们也可以得到
其中第二行简单地利用了以下事实:根据迭代期望法则,
。将此代入(17.20)式可得
这和(17.6)式一样。由于根据定理16.8,随机欧拉方程(17.6)式和横截性条件(17.7)式是最优增长的充分条件,如果考虑到生命期界预算约束(17.11)式和代表性家庭的横截性条件引出的(17.7)式,不确定性下的最优增长和均衡增长是等价的。
为了证明这个论断,首先请注意,根据类似于第8.6节的一个论点,代表性家庭的生命期界预算约束(17.11)式等同于
此处
k
[
z
t-1
]表示该代表性家庭在历史
z
t-1
持有的资产(资本),且
是该历史阶段之后最终产品的价格。当这个表达式为负时,该家庭将积累债务并破坏非庞氏骗局条件下的随机等效(stochastic equivalent),于是可得到(17.11)式。此外,该家庭的横截性条件(或局部非餍足)意味着(17.23)式也必须保持恒等。现在将此和
t
-1期的(17.21)式相联系,并注意λ>0,我们得到
接下来,利用(17.22)式以及
的事实,该方程式可以被表示为
这等同于(17.7)式。据此可以构建以下命题:
命题17.3 在上述经济体中,最优增长和竞争性增长路径刚好重合。
证明 见习题17.13。
通过考虑和序贯交易类似情形下的均衡问题,并使用合适的阿罗证券,而不是所有交易都发生在初始时期
t
=0,我们可以获得一个补充观点。为此,我们可以略微改变一下代表性家庭的预算约束。第一,将每一期的最终产品价格都标准化为1(请回忆第5.8节的讨论)。
现在表示只在某种自然状态才支付的(基础)阿罗证券。更明确地说,
表示在历史
z
t
条件下以
t
期的最终产品计算的家庭资产。我们将
解释为家庭已经购买的一组或有索取权,当历史
z
t
发生后,在
t
期支付
单位最终产品。我们还用
表示历史
z
t-1
发生后在
t
-1期支付1单位
a
[
z
t
]的价格,这里
。该家庭购买的证券数量可以直接表示为这些证券的利息或股息
。于是,该家庭的流动预算约束可表示为
其中
表示历史
z
t
后的均衡工资率,用
t
期的最终产品表示,于是右侧是该家庭在历史
z
t
后可获得的总资源数量,该资源将用于消费
,以及在下一期购买最终产品的或有索取权
。在这些索取权上的总支出等于
。
根据这个表达式,我们可以重新写出将该家庭最优化问题的序贯版本。为了节省篇幅,让我们直接写出递归表达式,把该问题的序贯交易版本留到习题17.14处理。
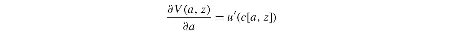
为了写出递归表达式,令 a 表示代表性家庭当前持有的资产(按照上述定义,你可以将它想象为某个历史 z t 发生后的当前资产)。于是,该家庭的流动预算约束可以表示为
其中
表示或有索取权的价格(给定当前状态
z
的下一期状态
z′
),且
a′
[
z′
│
z
]表示相应的资产持有量。令
V
(
a
,
z
)表示家庭将其持有的
a
单位最终产品作为资产时的价值函数,同时随机变量目前为
z
。该家庭的选择变量是下一期的未定资产持有量,用
a′
[
z′
│
z
]表示;今天的消费用
c
[
a
,
z
]表示。让我们用
q
[
z′
│
z
]表示随机变量的当前值为
z
而下一期为
z′
的概率。于是,把均衡价格
p
的序贯看作给定,代表性家庭的价值函数为
定理16.1至定理16.7可以再次用于该价值函数(见习题17.15)。当前消费的一阶条件现在可以表示为
对于任意
成立,其中
c
[
a
,
z
]表示最优消费,它取决于资产持有量
a
和随机变量
z
。
描述该均衡的关键仍是资本市场出清条件。给定 z 的当前值,该代表性家庭的储蓄额可表示为 k [ z ],它是在下一期的随机冲击 z′ 实现之前决定的。资本市场出清要求
对于所有
z′
∈
成立。换句话说,总的来看,下一期的所有状态将显示相同的储蓄金额,于是,给定最后时期的状态
z
,状态
z′
时对最终产品的总需求必须由储蓄额乘以资本价格
R
[
z′
│
z
]给出。
资本市场出清条件(17.26)式再次给出了关键的非套利条件,其形式如下:
其中
R
[
z′
│
z
]是当前状态为
z′
且最后时期的状态为
z
时的资本品价格。直观地看,每单位最终产品的成本现在为1,必须等于该家庭存储该商品作为下一期资本而获得的回报。当未来状态为
z′
时,未来商品的毛回报率为
R
[
z′
│
z
],且未来商品和今天商品的相对价格为
。总结未来所有的可能状态,总回报率必须为1,才能确保无套利(见习题17.16)。让我们现在将(17.25)式与包络条件相结合,
于是,对(17.25)式两边乘以
R
[
z′
│
z
]并加总所有的
可得该家庭的一阶条件为
它等同于(17.6)式。在第17.2.1节中一个类似的论断为该最优增长问题提供了横截性条件,(17.7)式在该竞争均衡中再次得到满足。结果,这一基于序贯交易的方法也可以得出和最优增长问题之解相同的竞争均衡配置。
第17.2.1节和第17.2.2节的分析说明了(不确定性下的)最优增长问题和(完全市场的)竞争均衡配置是等价的。已知这种等价,且直接依据第二福利定理(定理5.7)以及前一个问题要简单得多的事实,很多文献都关注最优增长问题而不是清楚地描述不确定性下的竞争均衡。真实变量的(随机)均衡路径可以从这个最优增长问题中得出,且均衡价格由拉格朗日乘数给定。比如,资本品的价格 R [ z′ │ z ]由(17.5)式和(17.6)式给出,它既是最优增长路径中的资本边际产品,也给出了关键的资本品跨期价格。
不确定性下的新古典增长模型在过去25年的最重要应用之一是对短期和中期波动的分析。该方法最早出现在基德兰德和普雷斯科特(Kydland and Prescott,1982)的重要论文中,被称为真实商业周期理论(RBC)。它用到了总生产效率冲击下的新古典增长模型,为我们分析宏观经济波动提供了一个框架。真实商业周期理论在20世纪90年代是最活跃的宏观经济研究领域之一,也是最具争议的理论之一。一方面,其概念简单,而且在给定(合理选择下)总生产效率冲击序列的情况下,可以较好地匹配某些时候的就业、消费和投资波动,这吸引了大批追随者。另一方面,由于缺乏货币因素和需求冲击,凯恩斯经济学的传统核心理论以及早期对宏观经济波动的研究引发了激烈的批评,使人们开始讨论真实商业周期理论的优点。不过,真实商业周期理论的优点和我们在这里关注的内容无关,而且偏离了经济增长的关键问题。然而,在这里简要介绍经典的真实商业周期模型主要有两个原因:第一,它构成了不确定性下新古典增长模型最重要的应用之一,并且在过去25年里,已经成为宏观经济研究的主力模型。第二,它阐述了将劳动力供给选择引入不确定性下的新古典增长模型如何产生了新思想。到目前为止,我已经假设,除了第8章的习题8.33,劳动力供给都是无弹性的。因为劳动力供给在宏观经济的很多问题中都至关重要,简要分析新古典增长模型的劳动力供给是十分有用的。
分析情境类似于第17.1节和第17.2节,唯一的区别是代表性家庭的瞬时效用函数采用以下形式:
其中 C 表示消费, L 表示劳动力供给。我用大写字母是为了和接下来的分析保持一致。我假定 u 对其两个自变量都是联合为凹且可微的,并且对 C 严格递增,对 L 严格递减。我还假设 L 属于某个凸紧集[0, L ]。
已知最优增长等价于竞争均衡配置,这里重点考察最优增长表达式,它要对下式求最大化:
约束条件为流动性资源约束
其中,总生产效率冲击 z ( t )依然符合单调的马尔科夫链。
该社会规划者的问题可以被递归表示为
以下命题仍然是定理16.1至定理16.7的直接结果。
命题17.4 (17.28)式中定义的价值函数 V ( K , z )是连续的且对 K 严格为凹,对 K 和 z 严格递增,同时在K>0是可微的。存在唯一的政策函数(policy function) π k ( K , z )和 π l ( K , z ),它们决定了下一期的资本存量和今天的劳动力供给量是当前资本存量 K 和随机变量 z 的函数。
证明 见习题17.17。
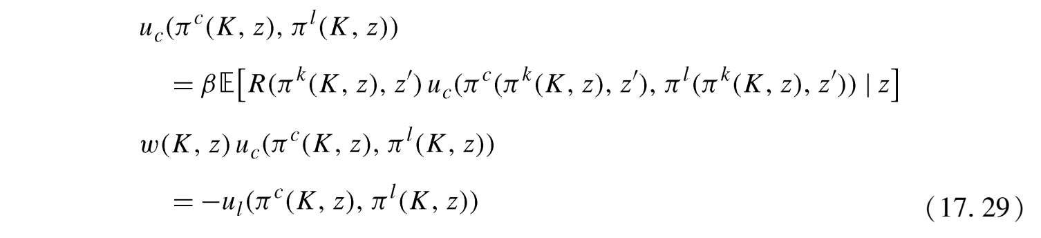
在假设内点解存在的前提下,可以从合适的乘数获得相应的价格,同时标准一阶条件描述了均衡的形式。具体地,两个关键的一阶条件决定了消费和劳动力供给的均衡水平随时间的变化。将 u 函数对其第一和第二个自变量的导数分别表示为 u c 和 u l , F 函数的导数表示为 F k 和 F l ,同时将消费的政策函数定义为
这些一阶条件采用如下形式
其中
分别表示资本总回报率和均衡工资率。请注意(17.29)式的第一个条件基本等同于(17.5)式,其中第二个是决定均衡(或者最优)劳动供给的静态条件。第二个条件不考虑预期,因为它是以当前资本存量 K 的价值和当前总生产率变量 z 为条件的。
为什么这个框架有利于分析宏观波动呢?答案在于以下事实,沿着第3章描绘的思路,对全要素生产率的估计表明它是顺周期的,即波动显著而且在产出处于上升期而失业率很低的时期更高。于是,让我们考虑
z
很低的时期。显然,当劳动力供给没有补偿变化时,产出较低,于是我们可以称该时期为“萧条”。此外,在标准假设下,工资率
w
(
K
,
z
)和均衡劳动力供给减少。
于是,低就业率和低产出并存。一个负的生产率冲击会导致衰退时期的两个重要特征。此外,当马尔科夫链(或更一般地称之为马尔科夫过程)持续不断地控制着
z
的变化情况时,产出在接下来的时期仍会低迷,进而产出和雇员人数都呈现持续波动。最后,如果总生产函数
F
(
K
,
L
,
z
)采用低产出和低资本边际产出相关联的形式,未来低产出的预期将会明显地减少储蓄和未来的资本存量水平(这取决于效用函数的形式,而效用函数还调整消费平滑的意愿以及收入与替代效应之间的平衡)。
这个简单的讨论说明了有总生产率冲击和劳动力供给选择的新古典增长模型产生了商业周期的某些主要定性特征。真实商业周期文献认为,该模型在合适的假设条件下,也会产生主要的定量特征,例如产出、投资和雇员的相互关系。大多数关于真实商业周期的争论集中在如下几个方面:(1)该模型是否和数据中的周期性时刻匹配,(2)这些经验分析的目标(empirical object,例如,而非不同频率的雇员和产出持续时间)是不是值得观察,以及(3)一个由总生产率外生变化引起波动的框架是否回避了一个更有趣的问题:引起经济衰退的冲击为什么会存在。客观地说,尽管真实商业周期之辩在今天并不像20世纪90年代那样活跃,但对这些问题并未达成共识。与此同时,标准真实商业周期模型已经在这里介绍的最基本版本之上有了很多拓展。
这里介绍的模型考虑的是无外生技术进步的新古典增长问题。习题17.18将外生技术进步引入该模型,并说明这个分析基本上是不变的。下一个例子考虑的是一个十分简单的真实商业周期模型,可以得出闭式解(不过这样做的代价是放弃该模型的某些有趣特征)。
例17.2
考虑一个类似于例17.1中研究的经济体。具体地,假设
且
δ
=1。生产率
z
满足集合
下的单调马尔科夫链,其变化可能性用
q
jj′
表示。和前例一样,让我们假设
消费的随机欧拉方程(17.29)式说明
其中 L′ 表示下一期的劳动供给。在该预期中取消常量并且采用不含 z′ 的表达式,该方程式可以简化为
其中 B = αβ 。该资本存量下的政策函数则为
这相当于例17.1中的结果。下面,劳动的一阶条件说明
于是劳动的政策函数可以表示为
这意味着劳动供给是恒定不变的。这是因为根据这里的对数偏好,收入和替代效应都被抵消。于是由总生产率变化引起的工资增长对劳动供给并没有影响。习题17.19说明当函数
h
递减且凹时,效用函数采用
的形式可以得出相同的结论。总体而言,真实商业周期模型的简化版认为产出、消费和投资之间存在正相关关系,但是这并不会导致劳动供给的波动。
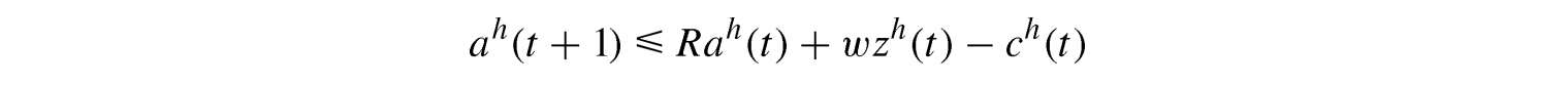
现在,我再介绍一个完全不同的经济增长模型,模型中的经济体不存在代表性家庭,而且非系统性风险没有得到分散。该模型最早由杜鲁曼·比利(Truman Bewley,1977,1980)提出并研究。接着,该模型被重新发掘、扩展并应用于很多新问题,包括艾亚加里(Aiyagari,1994),克鲁塞尔和史密斯(Krusell and Smith,1998,2005)研究的最优财政政策框架、经济周期波动和资产定价问题。许多经济学家相信,这个框架总体上比完全市场的新古典增长模型更贴近现实。不过,常常被称为“比利经济”的这个模型比基本新古典增长模型要复杂得多。此外,如下文讨论的,关于个人收入波动没有保险的假设——除了个人保险之外,积累资产以备不时之需的过程——是极端的,而且会限制当前模型在增长环境下的应用。
该经济由连续统为1的家庭组成,家庭的集合用
表示。每个家庭的偏好由(17.2)式给出,劳动供给缺乏弹性。模型还假设该效用函数的二阶导数
u″
(·)是递增的。相对于基本新古典增长模型,每个家庭的劳动供给的有效单位随时间发生变化。具体地,每个家庭
h
∈
在时间
t
的劳动禀赋为
z
h
(
t
),其中
z
h
(
t
)是来自集合
的一个独立集,因此最小劳动禀赋为
z
min
。模型假设每个家庭的劳动禀赋是定义域为
的分布函数
G
(
z
)的独立同分布。
该经济的生产方类似于确定性下的规范新古典增长模型的生产方,用一个满足假设1和假设2(见第2章)的总生产函数表示,如(17.1)式所示。唯一的区别是现在的 L ( t )是所有行为人的异质劳动禀赋之和(总体),可表示为
根据大数型自变量(large number-type argument), L ( t )在每个时期都是不变的且标准化为1。于是该经济体的人均产出可以表示为
其中
k
(
t
)=
K
(
t
)。请注意这里不再有任何总生产率冲击。不确定性仅来自异质性(在单个家庭层面的)。于是,尽管(单个)家庭的劳动收入和消费经历了很多波动,我们仍旧可以想象是一个稳定的静态均衡,在这个均衡中,各个总量在不同时期都是不变的。在这一节,我将着重分析这种静态均衡。特别是,在该静态均衡中,工资率
w
和资本毛回报率
R
是不变的(当然为了保证均衡,其水平是内生决定的)。让我们首先将这些价格看作给定的,然后观察典型家庭
h
∈
的行为(我使用了“典型”家庭这个词,尽管不是代表性家庭,但该家庭和经济体的所有家庭都面临同一个问题)。典型家庭要求解以下最大化问题:对于所有
t
,根据以下约束条件最大化(17.2)式
其中
a
h
(
t
)是家庭
h
∈
在
t
期持有的资产。消费不能为负,于是
c
h
(
t
)≥0。此外,尽管我们没有提及任何外生借贷约束,和永久收入预期模型中的理由(见前一章的第16.5.1节)一样,任何时期的家庭都必须满足其生命期限预算约束的要求给出了内生借贷约束
对所有
t
成立(见习题17.20)。然后,我们可以把家庭
的最大化问题递归表示为
运用标准的论证过程可以证明以下命题。
命题17.5 (17.31)式定义的价值函数 V h ( a , z )是唯一的,对 a 是连续且严格为凹的;对 a 和 z 是严格递增的;在区间 a ∈(- b , Ra + wz )是可微的。此外,决定下一期资产持有量 π ( a , z )的策略函数是唯一的,对 a 连续的,并且对 a 和 z 非递减。
证明 见习题17.21。
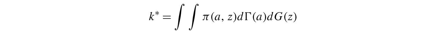
该经济的总资本存量可以通过加总该经济中所有家庭的资产持有量获得。于是,我们可以得到静态均衡
该方程式整合了所有家庭,将他们的资产持有量和随机冲击当作给定的。它表明根据静态均衡的定义,无论是当前资产持有量的平均数还是未来资产持有量的平均数都必然相等。为了理解这个条件,请回忆,如同在新古典增长模型中一样,政策函数 a′ = π ( a , z )定义了一个马尔科夫过程。在很弱的假设下,该马尔科夫过程承认(存在)一个唯一的不变分布。否则,该经济体会有多重均衡或者问题根本就无解。为了达成我们的目的,我们可以忽略这种复杂性,假设存在唯一的不变分布,用Γ( a )表示,于是静态均衡的资本劳动力比为
这里用了如下事实,即 z 在不同家庭、不同时期是满足独立同分布的。
再看生产方,要素价格在确定性条件下的新古典增长模型中是相同的,即
请回忆第6章和第8章,完全市场且不考虑不确定性的新古典增长模型意味着存在唯一的稳态,其中 βR =1,即有
其中 k ∗∗ 是指确定性下的新古典增长模型的资本劳动比。
在比利经济中,(17.32)式不再成立。
命题17.6 在比利经济的任意静态均衡中,静态均衡的资本劳动比 k ∗ 可使
且有
其中 k ∗∗ 是确定性下的新古典增长模型的资本劳动比。
证明
假设
。则习题16.11的结论说明每个家庭的预期消费是严格递增的。于是,确定性条件下人口的平均消费,是严格递增且趋向无限的。从假设2来看这是不可能的,它认为总资源总是有限的。这个论据证明了(17.33)式。已知这个结论,可以根据(17.32)式和
f
(·)的严格凹性(假设1)得出(17.34)式。
直观地看,完全市场经济体中的利率要低于确定性下的新古典增长模型的利率,因为后者的每个家庭都有一份额外的自我保险,或者预防性储蓄。这些额外储蓄提高了资本劳动比,降低了均衡利率。有趣的是,像第9章的叠代增长模型一样,比利经济得出了比标准新古典增长模型更高的生产资本密度。在两种情况下观察,代表性家庭的缺乏对该结果有着重要影响。
尽管比利模型是宏观经济分析的一个重要主力模型,它依然存在两个潜在的弱点。第一,正如在叠代模型中已经提出过的,引致无效率的资本过度积累在解释跨国人均收入差异时显得不够充分。于是,比利模型不够有说服力,因为它产生了更大的资本劳动比。相反,它的重要性主要体现在描述经济体是如何达到静态均衡的,其中各总量都是稳定的,而家庭消费和收入是不确定的,会有波动。该模型还强调了新古典增长模型中非系统性风险的作用。正如后面的第17.6节和第21章所示,个人承担的风险问题在经济发展的背景中十分重要。第二,该模型中的完全市场假设可能是一个极端假设。实际上,当家庭的收入很低时,他们也许会接受转移支付,或许是因为他们参加了某种形式的私人保险或者是政府提供的社会保险。相反,当前的模型外生地假设不存在保险的可能性。缺乏保险机会的模型是从微观基础中推导出来的(比如,由于道德风险或者逆向选择)或者一系列更好的方法是使用那种活跃市场被内生决定的模型。尽管道德风险或逆向选择导致的有限保险模型超出了本书的讨论范围,我将在第17.6节介绍一个具有内生不完全市场的经济增长模型。
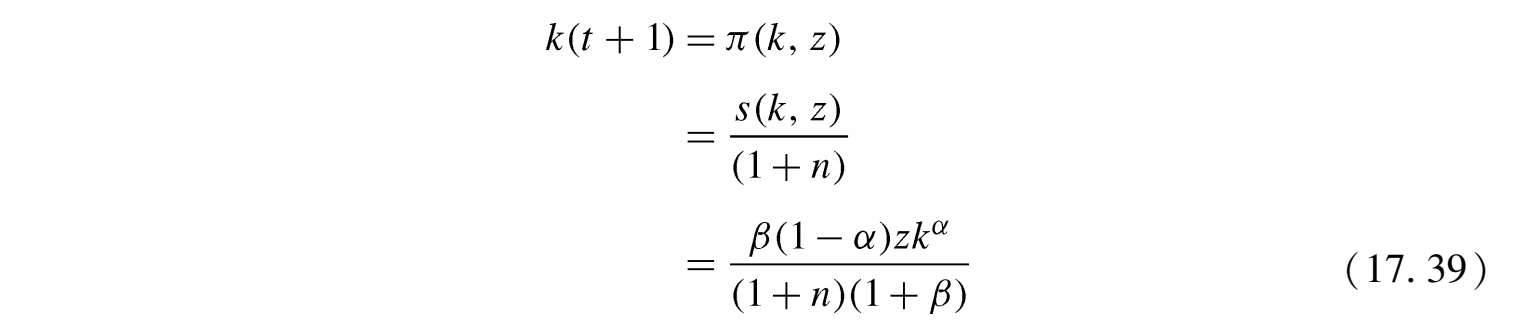
让我们现在简单考虑一个第9.3节的递归叠代模型的随机版本。时间是离散且无穷的。每个家庭存续两期。假设和第9.3节一样, t 期家庭的效用表示为
人口增长率恒定为 n ,于是
其中 L (0)是第一代规模。和第9.3节一样,总生产技术是柯布-道格拉斯形式的,不过现在考虑了总随机冲击 z ,并假定它满足马尔科夫过程。因此, t 期的总产出表示为
将该式表示为人均情况
。为了简化该表达式,还要假设资本完全折旧(
δ
=1)。要素价格仅仅取决于
z
的现值和资本劳动比
k
:
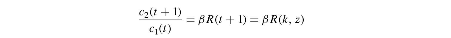
t 代家庭的消费欧拉方程,采用下列形式
其中
R
(
k
,
z
)由(17.37)式确定。
t
期的总储蓄则由
给出,于是
正如在递归叠代模型和索洛增长模型中一样,该式对应于一个常数储蓄率 β/ (1+ β )。
结合(17.38)式和(17.36)式以及事实 δ =1,下一期的资本存量 k ( t +1)可以表示为
显然,当
该方程有一个唯一的稳态,其资本劳动比为
然而,当 z 具有非退化分布时,(17.39)式描述了一个随机一阶差分方程。如同在不确定性下的新古典增长模型中,该模型的长期均衡对应于资本存量的不变分布。在这个特殊的例子中,(17.39)式为我们提供了一种易处理的随机运动法则,以及关于均衡行为(equilibrium behavior)可以通过图解分析获得更深入的洞见。
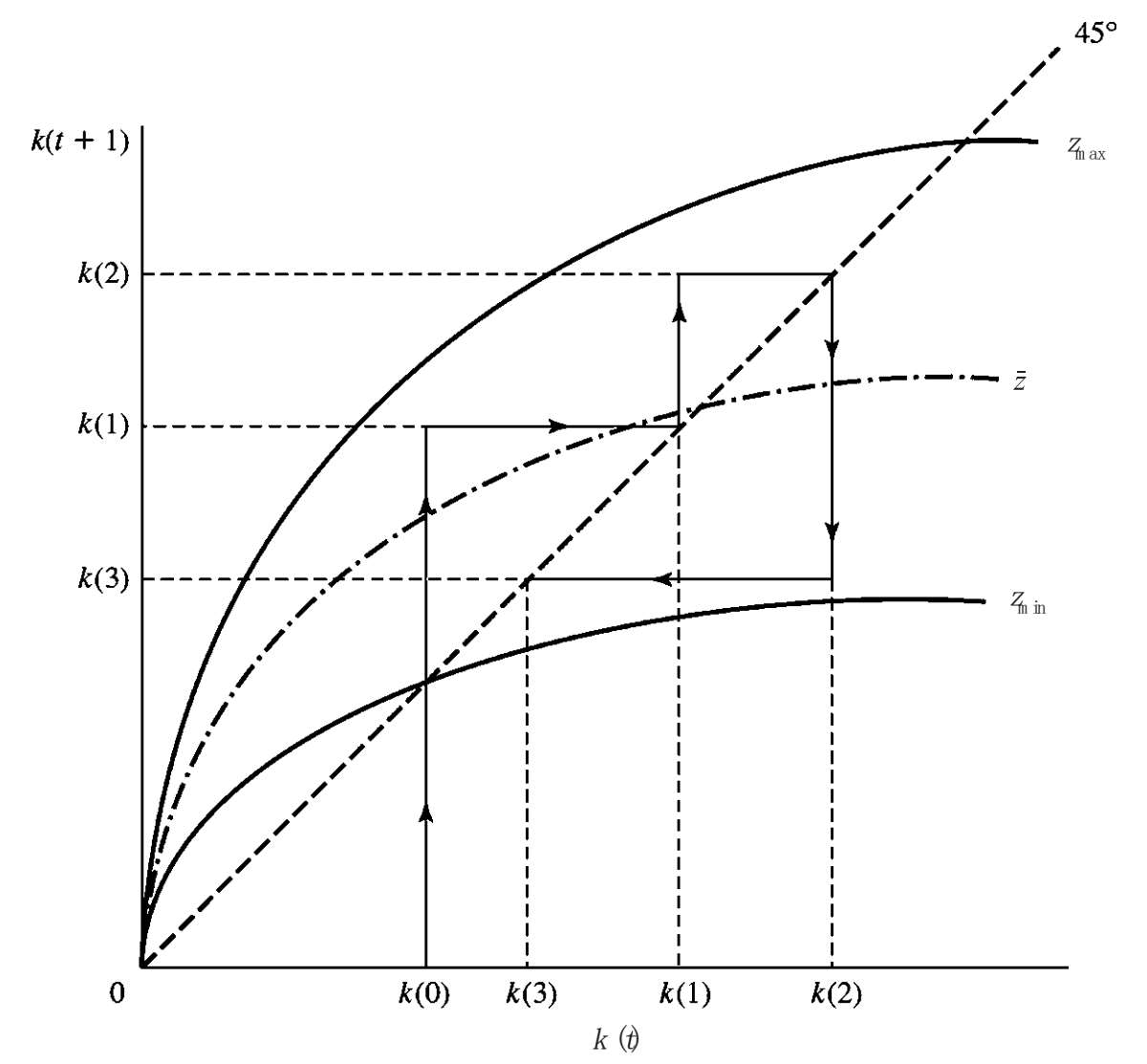
假定
z
的分布支撑集为[
z
min
,
z
max
],我们可以通过描画出与(17.39)式相关联的随机反应,分析该经济体的行为,如图17.1所示。该随机反应描绘了给定价值
k
(
t
)下
k
(
t
+1)可能值的整体范围。上面较粗的曲线是
z
max
,下面的粗线是
z
min
。中间的直线式
注意
z
min
和
z
max
两条线都开始于45
°
线的上方,这是由柯布-道格拉斯技术下的稻田条件决定的,所谓稻田条件是指当资本存量接近于零时,资本的边际产出无限大。随机反应有助于对特定随机模型进行简单的动态分析。例如,图17.1描绘了该经济体中资本劳动比的一条样本路径,它开始于
k
(0),先是因受到相当有利的生产率冲击,移动至
k
(1)。接着,在另一个比较温和且有利的生产率刺激下,移动至
k
(2)。然而,在接下来的时期,随机变量的冲击十分不利,以至于资本劳动比和人均产出陡然下跌。该图描绘了可能出现的动态变化类型。下一节更为复杂的模型将运用相似的方法。
图17.1 叠代模型的随机反应
注:下一期的资本劳动比有可能位于 z min 和 z max 这两条曲线之间。路径 k (0)→ k (1)→ k (2)→ k (3)表示特定的样本路径。
该模型另一个值得注意的特征是,它与习题17.3讨论的随机索洛模型以及例17.1中新古典增长模型的具体形式一起,提供了一个比不确定性下的新古典增长模型简单得多的随机增长模型。在(对数形式的)叠代模型和索洛模型中,这是因为短视的储蓄决策,而且不受随机冲击的分布甚至现实冲击的影响。于是,对一系列宏观经济问题,这些更为短视的模型或者例17.1中简单的新古典模型都可以成为易处理的替代模型,以替代不确定性下完整的新古典增长模型。
这一节将基于我和齐利博蒂(1997)的研究介绍一个长期增长随机模型。该模型主要用于两个目的:第一,因为它比不确定性下的基本新古典增长模型要简单,可以用它完整地描述随机动态增长,并说明源于马尔科夫过程理论的简单思想如何应用于经济增长的研究之中。第二点也是更重要的一点,该模型介绍了许多长期增长理论中的问题。具体来说,到目前为止我关注的都是具有均衡增长和性状良好的转移动态(transitional dynamics)。过去几千年的经济增长经验远不如这些模型显示的有规律。直到200年前,人均收入的增长都相对较少。人均收入的持续增长是更近时期才出现的现象。在跨越到持续增长之前,人类社会经历的增长时期常常伴随着大萧条和大危机。我和齐利博蒂(1997)、因姆斯和瓦奇亚格(Imbs and Wacziarg,2003)、科伦和滕雷罗(Koren and Tenreyro,2007)提出,即使在今天,相对富裕国家比欠发达经济体有更稳定的增长,后者深受增长率波动过大之苦。从很多方面看,这种较高风险的增长和较低生产率的模式往往伴随着资本深化、金融发展的过程,且更好的风险管理是经济增长史的一个主要特征。著名的经济史学家费尔南·布罗代尔(Fernand Braudel,1973,第11页)是这样描述西欧经济增长开端的:
进步的发生长期以来十分缓慢,而且被剧烈的衰退打断。只有几个幸运的国家在18世纪找到了正确的道路并坚持该道路。因此,在1750年甚至1800年之前,前进的步伐仍然受到意外事件甚至灾难的影响。
我介绍的这些模型中,这些经济增长的模式都是内生的,因为一个经济体能够在多大程度上通过投资于不完全相关的活动分散风险,取决于它拥有的资本量。当资本量增加时,该经济体就能实现更好的多元化并面临较少的风险。在早期发展中,由此产生的均衡过程则带来了更大的波动和风险,当该经济体成功进入持续增长时,这些风险就显著减少。此外,家庭对规避风险的愿望使它们在发展的早期投资于较低回报、较低风险的活动,于是该经济体的增长率在起飞前期是受到内生限制的。另外,在这个模型中,经济发展与金融发展是分不开的,因为资本扩张使得通过资产市场实现更好的风险分担成为可能。最后,因为该模型是内生不完全市场模型之一,它也有助于我们证明价格接受行为本身不足以保证帕累托最优。我们将看到,无论就实质还是就方法论的角度而言,该经济体的无效率均衡都值得关注。
考虑一个人口存续两期的叠代模型。该模型中不存在人口增长,每一代人口的规模标准化为1。生产方由两个部门组成。第一个部门按照以下柯布-道格拉斯生产函数生产最终产品:
和以往一样, L ( t )表示总劳动, K ( t )表示 t 期可获取的总资本存量。资本在使用后完全折旧(根据我们前面的表述有 δ =1)。
第二个部门在
t
-1期将储蓄转化为
t
期要使用的资本。这个部门由中间产品连续统[0,1]构成,随机元素只影响这个部门。具体地,让我们还用单位“区间(interval)”来表示可能的自然状态,并假设中间部门
j
∈[0,1]只有在状态
j
才会获得正回报,而在其他状态下不会有任何回报。该表达式说明对一个部门的投资相当于购买仅在一种自然状态才有回报的(基本)阿罗证券。由于(假设)存在一个部门的连续统,单个部门具有正回报的可能性为零,但如果一个家庭投资于[0,1]的子集
J
,则获得正回报的概率是集合
J
的(勒贝格)测度
回报。这还意味着每个中间产品部门(从事的)都是风险活动,但家庭(特别是该经济体中的代表性家庭)可以通过投资于多个部门分散风险。特别是,如果某个家庭打算投资于所有部门,则它可以获得概率为1的正回报。在该模型中,使经济互动的重要之处在于,因为潜在的非凸性问题,(家庭)并非在任何时期都可以投资于所有部门。更具体地说,让我们假设每个部门有一个最小规模要求(minimum size requirement),表示为
M
(
j
),只有当该部门总投资超过
M
(
j
)的时候才能实现正回报。
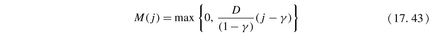
根据这一描述,令 I ( j , t )为中间产品部门 j 在 t 期的总投资。当状态 j 实现且 I ( j , t )≥ M ( j )时,该投资产生的 t +1期资本为 QI ( j , t ),否则不会形成任何资本。于是,中间产品部门的总投资超过最小规模要求是获得正回报的必要条件。
除了风险部门,还有一个安全的中间产品部门使 t 期的1单位储蓄在 t +1期变成 q 单位资本。假设
于是,安全的选择也是减少生产。
对 I ( j , t )≥ M ( j )的要求是基于如下事实:在状态 j 储蓄 I ( j , t )获得的资本量为 QI ( j , t ),这意味着只有在满足最小规模要求 M ( j )时,所有中间产品部门才具有线性技术。对于任意 I ( j , t )< M ( j ),产出为零。为了简化表述和计算,让我们采用一个中间产品部门的最小规模要求的简单分布。
上式表明,中间产品部门 j ≤ γ 没有最小规模要求,于是任意规模的总投资都可以出现在这些部门。对于其余部门,最小规模要求线性增长。图17.2表示最小规模要求(粗线)。该图用来表示一旦均衡投资被确定,开放部门集是如何确定的。
值得注意的是,迄今为止我已经介绍了三个重要特征:
1.风险投资比无风险投资有更高的期望回报,这通过假设 Q > q 表示。
2.(中间产品部门)风险投资的产出是不完全相关的,因此投资越多元化意味着风险越低。
3.这里的数学公式表明了投资和回报之间的简单关系。正如之前暗示,如果家庭持有的资产均等投资(
I
)于所有部门
,同时集合
J
的(勒贝格)测度为
p
,则该资产组合将以概率
p
获得
QI
的回报,并以概率1-
p
获得零回报。
前两个特征表明,当(例如因为 D =0)该经济体的总生产集为凸性时,所有家庭将对所有中间产品部门投资相同金额,并通过分散所有风险而不会牺牲任何高回报。然而,当存在非凸性时,正如最小规模要求表明的,我们需要在保险和高生产率之间权衡。
图17.2 不同部门的最小规模要求 M ( j )和资产需求 I * ( n )
让我们接下来(分析)家庭的偏好。请记住每一代的规模被规范化为1。考虑一个在 t 期出生的家庭。该家庭的偏好表示为
其中
c
1
(
t
)是该家庭在生存期限的第一期(
t
期)消费的最终产品,
c
2
是指该家庭在第二期的消费。
t
是期望算子,因为第二期消费是有风险的,所以需要用到期望算子。这可以表示为(17.44)式的右边,其中
c
2
(
j
,
t
+1)表示在
t
期状态
j
的消费。积分代替了期望算子,这是基于所有状态出现的可能性都相等这一事实。正如典型的叠代模型,每个家庭在年轻时都有1单位劳动,在年老时劳动禀赋为零。于是,该经济的总劳动供给为1。此外,在他们生命期限的第二期,家庭将来自储蓄的回报也用于消费。可供进一步参考的是,用
t
表示
t
期的年轻家庭集合,图17.3描述了一个代表性家庭的生命周期和各种决策,强调了不确定性会影响他们的储蓄以及他们在生命期限的第二期将会拥有的资本数量。
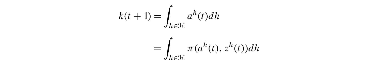
总资本存量取决于自然状态的实现,这决定了在 t 期有多少不同中间产品部门的投资会转变为资本。 t +1期的资本存量取决于自然状态的实现和年轻家庭的投资构成。具体地,在状态 j ,总资本存量为
图17.3 典型家庭的生命周期
其中
I
h
(
j
,
t
)是部门
j
的家庭
在
t
期的储蓄投资,
X
h
(
t
)是无风险中间产品部门的投资额。
由于资本存量是随机的,产出和要素价格也是如此。具体地,劳动力和资本都在竞争性市场上交易,于是均衡要素价格通过其(实现的)边际产品确定。因为 t +1期状态 j 下的总资本存量等于1,这些价格可以表示为
和
为了完整地描述这一情形,让我们设定该中间产品部门的市场结构。假定家庭通过金融中介机构投资于不同的中间产品部门。金融中介业务是可以自由进入的(既可以是大量企业,也可以是家庭本身)。任何一个金融中介机构可以无成本地形成资本并为特定部门调配资金。也就是说,该金融中介机构可以筹集资金,将资金投资于一个特定的中间产品部门,并且对其投资者提供相应的阿罗证券。重要的条件是,为了能够投资,任何金融中介机构必须筹措能够应对最小规模要求的足够资金量。现在,假设每个金融中介机构只能在一个部门开展业务,这就排除了一个可以再管理所有投资的庞大金融中介机构。 [4] 我将在第17.6.5节再回过头来讨论这个问题。
让我们将中间产品部门 j 在 t 时期对应的证券价格表示为 P ( j , t )。注意 P ( j , t )<1不可能达到均衡,因为1单位证券需要1单位最终产品,所以 P ( j , t )<1会导致损失。那么 P ( j , t )>1呢?进入门槛为零的假设排除了这种情况。我假设一个特定金融中介以满足 P ( j , t )>1的价格提供证券 j ,并筹集了足够资金使该中间产品部门的总投资 I ( j , t )大于最小规模要求 M ( j )。不过,在这种情况下,其他金融中介机构也可以进入,提供更低的证券价格,吸引所有资金,原本这些资金会被第一个金融中介机构吸引。这个讨论表明, P ( j , t )>1也是不可能的,因此,均衡行为使所有金融中介机构的证券价格是 P ( j , t )=1。
我现在开始探讨第17.6.1节描述的均衡问题。请回忆前一段的两个要点。第一,不是所有中间产品部门在每个时期都是开放的,这说明只有中间产品部门中的一部分在任意时期有证券。令时期
t
的中间产品部门集合为
J
(
t
)。第二,根据第17.6.1节最后的讨论,对于任意
j
∈
J
(
t
),金融中介业务的自由进入意味着
P
(
j
,
t
)=1。这两个要点使我们把时期
t
的价格和可获得证券当作已知,然后设置代表性家庭
h
∈
t
的问题。这个问题可以表述为
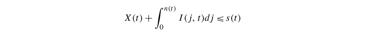
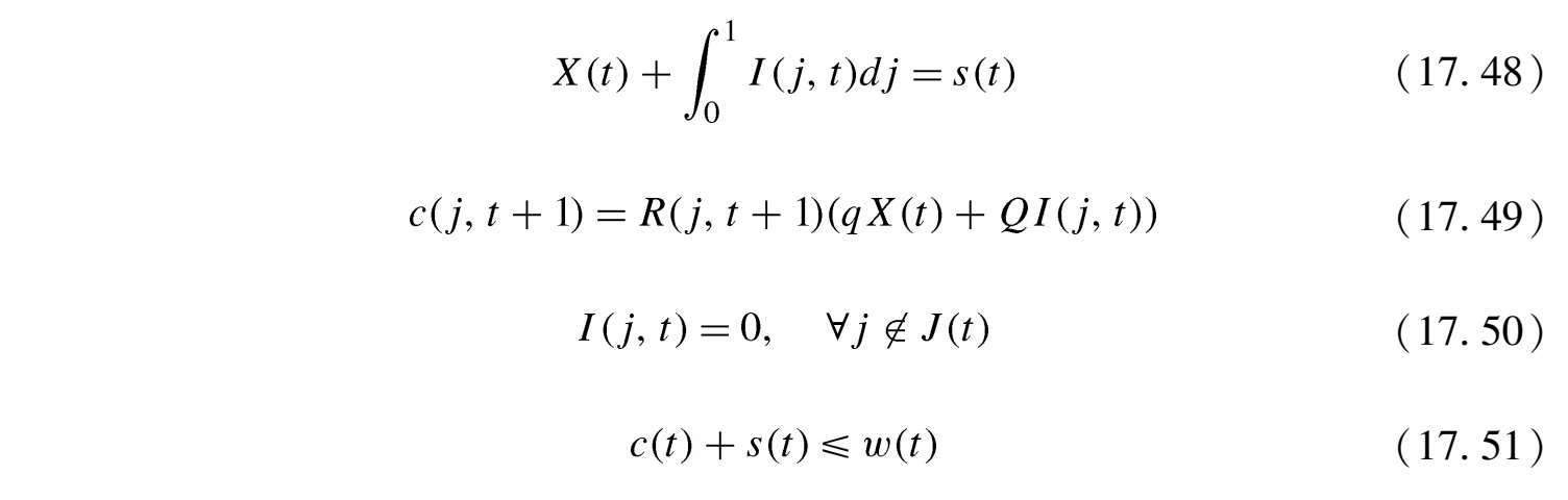
约束条件为
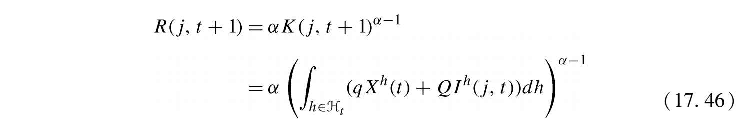
其中我省略了上标 h 以简化表述。这里(17.47)式是该家庭的预期效用。(17.48)式至(17.51)式是该最大化问题的约束条件。(17.48)式要求安全的中间产品部门的投资和所有其他证券的投资等于该家庭的总储蓄 s ( t )。(17.49)式表示 t +1期状态 j 的消费。有两个特征值得注意:第一,请回忆家庭只在年轻的时候才提供劳动,在年老的时候只消费资本收入。于是,该家庭的第二期消费等于其资本持有量乘以资本回报率 R ( j , t +1),由(17.46)式确定。该回报率的条件基于状态 j ( t +1期),因为资本量以及资本的边际产品随状态的变化而不同。第二,该家庭可获得的资本量来自其安全投资的回报 qX ( t ),加上状态 j 的阿罗证券回报 QI ( j , t )。(17.50)式概括了家庭行为的主要约束:它强调该家庭不能投资于那些市场并不供给的证券。具体地,请回忆 I ( j , t )≥ M ( t )是中间产品部门开放的必要条件,所以,在均衡时,有些部门可能是不开放的,其证券也不能交易。约束条件(17.50)式保证了该家庭不能投资于非交易证券。最后,(17.51)式要求总消费额和储蓄少于或等于该家庭的收入,该收入仅由工资收入构成,由(17.45)式给出。
我们现在可以开始定义均衡。(这里的)静态均衡是指 t 期的均衡,将 t 期可获得的资本量 K ( t )当作已知的,于是工资 w ( t )也是已知的。以下方程
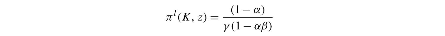
因为(17.47)式的偏好是对数形式的,所以所有家庭的储蓄率是不变的,正如典型的叠代模型所示。结果,无论在风险和回报之间如何权衡,以下储蓄规则都可以适用:
根据这个结论,家庭最优化问题可以分解为两部分:第一,确定储蓄额;其次,确定最优投资组合。该最优化问题的分解之所以特别有用,是基于两点原因:
1.对于任意
j
有
。直观地看,因为所有被交易的对称阿罗证券对每个家庭来说价格是相同的,对每种证券家庭愿意购买相同的份额,从而达到均衡资产组合(见习题17.23)。
2.对于某个
n
(
t
)∈[0,1],
t
期的开放项目集合采取
的形式。直观地看,只有一个项目子集在均衡中可以成为开集时,最小规模要求较低的中间产品部门将比那些最小规模要求较高的中间产品部门更早成为开集。结果,当中间产品部门
j
∗
成为开集时,所有部门
j
≤
j
∗
必然也是开集(见习题17.24)。
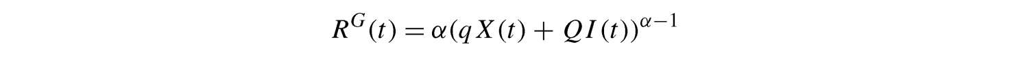
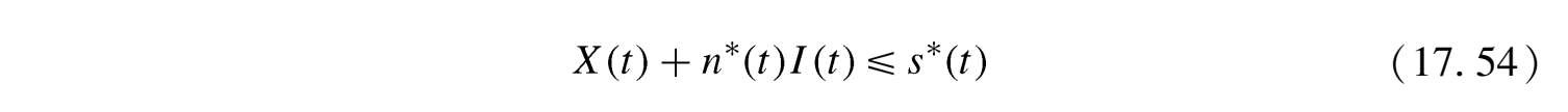
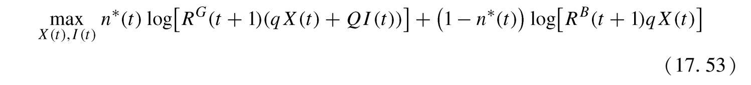
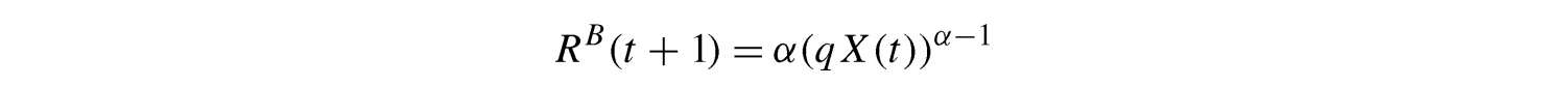
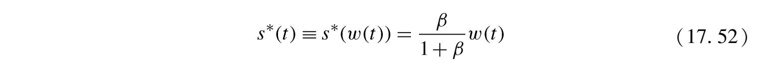
以上两点也说明,我们可以将 t 期的自然状态划分为两个集合:集合[0, n ( t )]的状态是“好”的,此时社会是幸运的,而且其风险投资都获得了正回报;状态( n ( t ),1]是“坏”的,此时社会是不幸的,而且其风险投资回报为零。显然,资本回报率(工资率)在这两种状态集合中取值不同。我们用 R G ( t +1)表示好状态下的资本回报率,而在坏状态下,该回报率是 R B ( t +1)——这些回报属于 t +1期,因为它们在 t +1期支付。根据这一框架,代表性家庭的最大化问题可以用更简单的形式表示为:
约束条件为
其中 n ∗ ( t ), R G ( t +1)和 R B ( t +1)被代表性家庭当作已知, s ∗ ( t )由(17.52)式给出。显然,根据(17.46)式,当状态为 j > n ∗ ( t )且不存在风险投资回报时,
是坏状态下资本的边际产出,而
适用于好状态的情况(例如,当状态为 j ∈[0, n ∗ ( t )]时)。
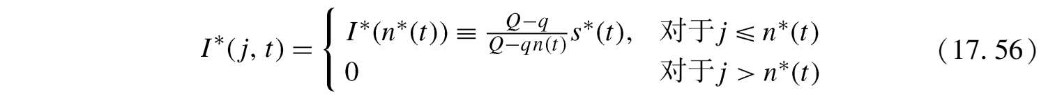
基于约束条件(17.54)式,最大化(17.53)式可以得出唯一解
且
需要注意的是,(17.56)式表明每个子集的需求(或对每个中间产品部门的投资)都随着开放部门的增多而增加,也就是说, I ∗ ( n )严格随 n 增加。这是因为当可得的证券越多时,风险分散机会就越大,家庭就越愿意减少对安全资产的投资而增加对风险项目的投资。这是一股重要的经济力量。对高生产率部门的投资减少,因为相比于安全的部门,高生产率部门的风险较大。但是因为存在“数量上的安全性”(比如,从多元化得到的一阶回报),当存在更多的金融资产(或开放部门)时,总体来说每个家庭都愿意投资更多的风险资产。这种可贸易资产集合与投资之间的互补性在以下描述的动态经济发展中起到了重要作用。
(17.52)式、(17.55)式和(17.56)式描述了在已知中间产品部门集合为开集时,代表性家庭的效用最大化行为。为了完整地描述该均衡,我们需要找到开放部门的集合。这相当于寻找一个临界部门
n
∗
(
t
),使得所有
j
≤
n
∗
(
t
)都能达到其最小规模需求,同时没有其他部门可以再进入并筹措到足以达到其最小规模要求的资金。通过描绘每个部门在(17.56)式确定的均衡投资组合下的投资水平,以及(17.43)式给出的最小规模要求
M
(
j
),我们可以用图形的方式找到该临界值。第一条曲线可以简单地解释为金融市场中的资产需求,与(17.43)式对应的曲线可以被理解为资产的供给。两条曲线和它们的交点如图17.2所示。该图显示两条曲线有唯一的交点。然而,由于两条曲线都是向上倾斜的,一般来说,出现一个以上交点并非不可能。可以证明,
是确保唯一交点的充分条件(见习题17.25)。如果该条件不能满足,还可能出现多重解,对应于多重均衡。这些均衡涉及不同数量的开放部门。如果不存在开放部门,家庭会将很大一部分资源投资于安全资产,在均衡中,只有少数风险部门可以运行。相反,当存在很多开放的风险部门时,每个家庭会将其资源的很大一部分投资于风险资产。这使更多部门得以开放,从而便于家庭分散其风险。当这种多重均衡存在时,有更多开放部门的均衡将为所有家庭带来更高的事前效用。尽管说明那些起作用的力量是一件有趣的事情,但人们会预期金融中介机构在避免协调失灵方面更为成功。基于这个理由,让我们重点观察参数空间,其中
。在这种情况下,静态均衡是唯一定义的,下列命题总结了该均衡。
且 X ∗ ( t )和 I ∗ ( j , t )分别由(17.55)式和(17.56)式给出,其中 n ∗ ( t )= n ∗ [ K ( t )]。
证明 见习题17.26。
均衡临界点部门 n ∗ [ K ]随着 K 递增:当资本更多时,该经济可以开放更多的中间产品部门,并更好地分散风险,鼓励更多的资金投资于风险活动见(17.56)式。
让我们接下来开始描述动态均衡。已知命题17.7中给定的静态均衡,可以直接描述完整的随机均衡过程。资本市场 K ( t )的运动法则将由简单的马尔科夫过程确定。请回忆当资本存量为 K ( t )时,在风险部门投资的成功概率为 n ∗ [ K ( t )],投资失败的概率则为1- n ∗ [ K ( t )]。这将下列资本存量的随机运动法则简化表示为
其中 n ∗ [ K ( t )]由(17.57)式给出,根据Γ≡(1- α ) β/ (1+ β )。请注意,(17.58)式的第一行总是小于第二行,因为第二行是指投资于中间产品部门获得成功的情况。
(17.58)式是一个特别简单的马尔科夫过程,因为给定
K
(
t
),
K
(
t
+1)只能取两个值。
[5]
对该马尔科夫过程的动态分析尤其给人启发。图17.4描绘了(17.58)式的随机马尔科夫过程,并且类似于图17.1。主要的区别是,在图17.1中,
z
min
和
z
max
两条曲线之间的取值都是可能(存在)的。相反,在这里只有精确位于该图两条曲线上的取值才是可能的。上一条曲线对应于
Q
Γ
K
(
t
)
α
。如果家庭遵循(17.55)式和(17.56)式给定的均衡投资策略,该曲线将是资本存量的值,而且在每个时期,该经济体都是幸运的,于是家庭的投资总是有正回报。下面那条倒U形曲线则对应于表达式
[
K
(
t
)]),适用于当该经济在每一时期都是不幸的情况。两条线都开始于45
°
线零点上方附近,原因和图17.1中的情况一样(因为总生产函数(17.41)式满足稻田条件)。该经济位于上面那条曲线的概率是
n
∗
[
K
(
t
)],位于下面那条曲线的概率是1-
n
∗
[
K
(
t
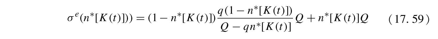
)]。因此,不仅成功和失败的概率而且平均生产率也随总资本存量变化。为了量化平均生产率的变化,让我们将中间产品部门占比决定的期望全要素生产率定义为:
图17.4 资本存量对应的随机解
直接求导可以发现 σ e ( n ∗ [ K ( t )])对 n ∗ [ K ( t )]是严格递增的。因此,当该经济体得到发展和设法开放了更多中间产品部门时,其生产效率将会内生增长。由于 n ∗ [ K ]随 K 递增,这意味着平均生产效率随该经济体的资本存量递增。
命题17.8 该经济体的全要素生产率期望值 σ e ( n ∗ [ K ])随 n ∗ 递增,也随 K 递增。
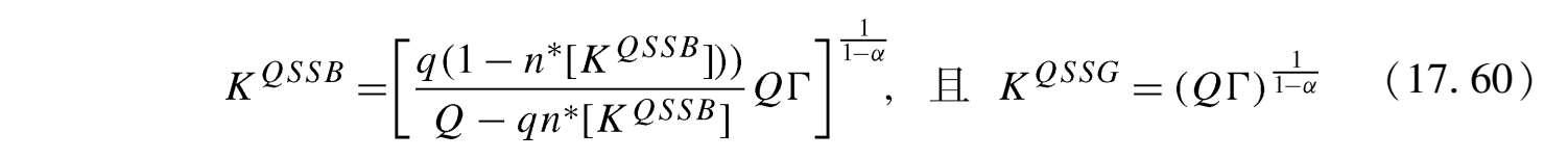
图17.4的检验还说明以下两种水平的资本存量是特殊且对分析有用的:
1. K QSSB 是指经济总是处于不幸运状态的“准稳态”。当某个经济根据(17.55)式和(17.56)式投资时,它将收敛于该准稳态,但是这些部门从来不会在坏运气下获得正回报。
2. K QSSG 是指经济总是有好消息的“准稳态”,也就是说该经济总是处于图17.4的上面那条曲线。
这两种资本存量水平都如图17.4所示,并且可以很容易地计算出
K QSSG 的形式尤其值得一提,由于它是指该经济体绝不会面对任何风险的情形,因此很像标准新古典增长模型。具体而言,当该经济体处于均衡状态时, n ∗ [ K QSSG ]=1,则 K QSSG 变成一个真正的稳态,而且该经济体一旦达到就会继续保持该资本存量。这是因为一旦该经济体积累了充足的资本后开放所有中间产品部门,它消除了所有风险,并且总是处于图17.4中的上面那条曲线。
(17.57)式和(17.60)式说明,这个良好的稳态能够存在的条件(如, n ∗ [ K QSSG ]=1)是对应于 K QSSG 的储蓄水平足以确保所有中间产品部门的均衡投资组合至少为 D 。我们可以很容易地证明以下条件是充分条件:
于是,当(17.61)式成立时,良好的准稳态确实会产生足够的资本以开放所有部门,并消除所有风险,从而形成真正的稳态。在这种情况下,我们用 K SS 表示 K QSSG 。在假定(17.61)式成立的前提下,图17.4表示 n ∗ [ K SS ]。现在回到图17.4,我们可以更好地理解均衡随机动态均衡。该图将资本存量的范围划分为四个区域。区域I,资本存量相当低以至于代表好运气和坏运气的两条曲线都处于45 ° 线上方,于是在此区域内,无论是实现了好的还是坏的生产率,该经济体都增长了。下面来看区域Ⅱ,从很多方面来看,(该区域)都是最有趣的。当获得正向冲击时,位于该区域的经济会增长,而投资失败则会遭遇经济危机。在这两个区域之间是坏运气下的准稳态 K QSSB 。图17.4之所以将这个水平的资本存量称为术语“准稳态”,是因为当 K < K QSSB 时,该经济体朝着 K QSSB 增长。当 K > K QSSB 时,该经济体可能增长也可能收缩。然而,如上所示,因为 n ∗ [ K ]随 K 递增,在 K QSSB 右侧部分,该经济体收缩的可能性最大(在 K QSSB 的左侧,负面冲击并不会导致该经济体收缩)。
对于合理的参数值,该经济体大部分时候都处于区域Ⅱ。我和齐利博蒂(1997)提供了不少例子,说明经济体可以在任意多个时期处于区域Ⅰ和Ⅱ。然而,当经济体获得了利好消息带来的结果时,它将最终出现在区域Ⅱ并且进入区域Ⅲ。划分这两个区域的资本存量
K
被定义为
。这意味着一旦经济体达到了资本存量
,它将有足够的资本,从而可以开放所有部门。结果,在区域Ⅲ所有风险都被分散了,动态趋势和不确定性下的标准叠代模型完全一样。最后,经济体在区域Ⅲ的任意位置开始,朝着稳态
K
SS
发展,处于区域Ⅲ和区域Ⅳ之间。从另一方面看,在区域Ⅳ经济体持有的资本是如此之多,以至于即便在正冲击之下,也会收缩。自然,除非在区域Ⅳ开始,否则经济体永远不会进入区域Ⅳ。
这个讨论和图17.4一起,完整地描述了随机均衡增长路径。具体地,开始的时候经济体中的资本存量足够低,它会先经历增长,但是接着会在成功时期和严重的危机时期之间长期摇摆不定。最终,一连串的好时期会将经济引向一个很多(在这里指的是所有风险)风险都能被分散的资本存量水平。在这个资本存量水平上,我们可以将经济体看作已经达到了第1章中罗斯托所述的起飞阶段。起飞之后,该经济体将成功地分散所有风险,因此从这时开始的增长稳步推进,而不像在区域Ⅱ一样受制于显著的波动。此外,命题17.8意味着总(劳动和全要素)生产率随资本水平递增。因此与起飞相伴随的是经济活动的波动减少和生产率的提高。
还需要注意的是,当经济体通过积累更多资本实现增长时,它将获得更高的生产率而且能更好地分散和管理风险。后者表现为更多部门的开放,这相当于更高程度的金融中介。于是,在该模型中金融发展和经济增长并驾齐驱,在均衡中共同被确定(而不是其中一个“引致”另外一个)。
一个自然的问题是,经济体是否能达到区域Ⅲ和区域Ⅳ。下一个命题回答了该疑问。
命题17.9
假设(17.61)式成立。随机过程
以概率1收敛于点
K
SS
。
证明 见习题17.27。
该命题说明该经济体中增长的波动将最终下降(实际上会消失)。但是你也许想知道经济波动幅度是否和资本存量水平或者经济体的产出呈系统性相关。答案是相关性很高,正如已经讨论过的,因为通过(横向)跨部门和(纵向)时间序列比较,我们都会发现更贫穷的国家遭遇了更严重的经济波动。为了回答该问题,需要观察的自然变量是全要素生产率的条件方差(其期望值被定义在(17.59)式)。将
定义为随机变量,分别以概率
和
n
∗
[
K
(
t
)]取值
和
Q
。正如(17.59)式定义的,该随机变量的期望值为
。然后取对数,我们可以把(17.58)式重写为
根据(17.62)式可知,在剔除由标准新古典效应引起的决定性收敛效应之后,资本(和产出)增长的波动取决于随机元素
σ
。用
n
表示
σ
的条件方差(由
n
∗
[
K
(
t
)]确定
K
(
t
)),我们可以表述出以下命题。
命题17.10 令
证明 见习题17.28。
该命题中的增长波动源于两种力量的相互影响:第一,伴随着经济的发展,更多储蓄被投资于风险资产;第二,当更多部门开放时,非系统性风险更好地得到分散。该命题说明,当
γ
≥
Q/
(2
Q
-
q
)时,第二种效应总是占主导地位,于是,越富有的国家风险越小。当
γ
<
Q/
(2
Q
-
q
)时,对于足够低的资本存量水平,第一种效应占主导,而一旦资本存量达到临界阈值
的水平,第二种效应又会占主导地位。因此,除非资本水平足够低,增长率的波动总是随着该经济的收入水平递减。
第17.6.3节描述了经济体的随机均衡。该均衡是否满足帕累托效率?因为所有家庭都是价格接受者,或许我们会认为这一问题的答案一定是肯定的。而此处我将证明事实并非如此。尽管一开始会很令人惊讶,不过实际上这个答案是直观而有趣的。首先,它是由经济学意义上的货币外部性导致的。其次,从一般均衡理论的观点看,这个答案是说得通的:尽管所有家庭都是价格接受者,这也不是阿罗-德布鲁经济,因为交易品的集合由零利润条件内生决定。为了用最浅显的方式描述这些问题,我忽略了所有(导致)跨期无效的潜在原因(即那些我们从第9章提到的,也许会出现在叠代经济中的问题)。接下来,我将基于储蓄水平 s ( t )(或者资本存量 K ( t )),研究储蓄在经济体的不同部门之间进行配置的方式是否(约束)有效。考虑该社会规划者在给定 s ( t )下对代表性家庭预期效用的最大化问题:
约束条件为
该社会规划者选择的开放部门集合用[0,
n
(
t
)]表示;投资于安全部门的资金表示为
X
(
t
);开放部门之间的资金配置表示为
。理论上,该社会规划者本可以选择非[0,
n
(
t
)]时间段的形式,但是和习题17.24相同的论据可以确保采取这种形式并不会损失一般性。该约束条件确保了在安全部门和风险部门的投资总和少于该规划者可获得的储蓄额。该最优规划和代表性家庭的最大化问题(17.47)式之间的主要区别是,尽管代表性家庭将可获得的资产集合是已知条件,而社会规划者需要选择
n
(
t
)。社会规划者的配置(以及帕累托最优配置)由最大化问题的解决定。下一个命题描述了这个解。
命题17.11
令
n
∗
[
K
(
t
)]由(17.57)式给定,而
s
(
t
)和
K
(
t
)代表该社会规划者当前可获得的储蓄和资本存量水平。则(17.63)式中最大化问题的唯一解如下所示。对于所有
s
(
t
)<
D
,开放部门集合为
,其中
n
S
[
K
(
t
)]>
n
∗
[
K
(
t
)]。安全部门的投资额是
X
S
(
t
),其中
。最后,存在
可使每个家庭在风险部门的资产组合采取下列形式:
对于所有
,且对于所有
j
∈[0,1 ],有
I
S
(
j
,
t
)=
s
(
t
)。
证明 见习题17.29。
该命题说明,当经济体尚未达到完全多元化时,社会规划者开放的部门将多于分散均衡时开放的部门。他将以偏离均衡资产组合的方式,为这些额外开放的部门融资,这往往是均衡配置的一个特征。换句话说,社会规划者会对没有最小规模要求的部门减少投资。该资金的帕累托最优配置如图17.5所示。
偏离均衡资产组合说明社会规划者对最小规模要求较高的部门进行隐性交叉补贴,这种做法是以牺牲规模要求较低或者完全没有规模要求的部门为代价的。
图17.5 帕累托最优资产配置
这是因为,从均衡资产组合开始,少量地开放更多部门总是能够使所有家庭受益,它们能够更好地分散风险。社会规划者能够做到这一点,是因为他对规模要求较低或者没有规模要求(因此投资较低的投资)的部门隐形征税,然后补贴最小规模要求较高的边际部门。
为什么分散均衡不能获得相同的配置呢?有两种补充方法可以对此(问题)提供一些直观解释。第一种方法是,在某个最小规模要求较高的部门中,家庭的投资边际回报会产生货币外部性,因为这种投资使该部门变得积极,并为所有其他家庭更好地分散风险提供了可能。然而,每个家庭将均衡价格当作已知的,忽视了这种货币外部性,并且往往在最低规模要求较高的边际部门投资不足。因此,低效率的原因之一是每个家庭都忽视了自己对其他多元化机会的影响。对于这一结果的第二个直观认识也是相关的。因为家庭将价格集合看作已知,而且当均衡 P ( j , t )=1对所有开放部门都成立时,家庭将永远持有一个非平衡资产组合。然而,帕累托最优配置都涉及非平衡资产组合的跨部门交叉补贴。市场价格并不能引导各个家庭持有合适的资产组合。
对此,读者也许会奇怪为什么第一福利定理不适用于这一情形(尤其是当所有家庭都是价格接受者时)。原因在于,这里的均衡并不是阿罗-德布鲁均衡。具体而言,对一个经济体来说,这是一个有着内生不完全市场的均衡,其中开放市场集合由零利润(自由进入)条件决定。所有在均衡中交易的商品都是竞争性定价的,但是非交易品并没有采用竞争性定价。相反,在阿罗-德布鲁均衡中,即使是那些在均衡中不会交易的所有商品都被定价,而且事实上只有价格等于零,潜在商品才不会在均衡中被交易,而且在价格为零的时候,会出现超额供给。从这个意义上说,这里描述的均衡并非阿罗-德布鲁均衡。事实上,可以证明,在一个有着内生不完全市场的经济中,阿罗-德布鲁均衡并不存在,因为该经济体的生产可能性集合是非凸的。相反,这里使用的均衡概念是一种更为自然的竞争均衡概念:它要求所有在均衡中交易的商品都是竞争性定价的,而且通过自由进入条件决定可交易商品集。我们将在下一节的参考文献中讨论这一均衡概念。
通过某个金融机构协调家庭的投资决策,能否有助于克服资产组合选择时的市场失灵问题?我们可以想象这样一种情况,所有家庭都是独立行动的,不考虑其决策的相互影响,并通过金融中介机构配置资金。该金融中介机构能够汇集所有储蓄并且为每位储户提供一种(不同于阿罗证券的)复杂保险,可以为储户在每个时期 j 带来 QI S ( j , t )+ qX S ( t )的回报,其中 I S ( j , t )和 X S ( t )与最优资产组合中的相同。持有这种证券可使每个家庭相对于均衡状态都得到改善。
即便根据这一讨论,这里出现的无效率似乎也不足以促成更复杂的金融机构出现,事实并非如此。显然,除非对金融中介能够提供的合同做出更强的假设,金融中介机构之间的竞争导致的均衡配置才会和命题17.7中的均衡配置一样。完整地分析该问题已经超出了我们当前的议题,不过我们可以通过一个简单的讨论窥探一二。让我们构建一个名为“金融中介联盟”的更复杂的金融中介,它是家庭的各种集合,它们把储蓄汇集到一起,投资于某个中间产品部门的特定资产组合。这种联盟可能由某个特定的家庭组织,如果对其他参与联盟的家庭而言是有利可图的,该联盟的组织者就可以收取额外费用(或参会费),以此获利。让我们假设可以自由进入该金融中介组织或联盟,于是只要存在获利机会,任意家庭都会利用这样的机会。接着,让我们对金融中介的运行情况以及家庭该如何参与不同联盟的问题赋予某个结构,同时,采用以下假设:
1.联盟在任何时点都将最大化其成员的加权效用。尤其是,一个联盟在博弈期间的行动路径不能违背其成员的利益。
2.联盟不能反对其他家庭投资于某个项目。
以下结论来自我和齐利博蒂(1997)的研究。
命题17.12 以上所述金融中介博弈的均衡集永远不会是空集,而且所有均衡的结构都与第17.6.2节和命题17.7描述的结构相同。
我不会证明该命题,因为正式表述和证明还需要其他条件。但是直观的解释是显而易见的:正如命题17.11所示,帕累托最优配置包含了非平衡资产组合与跨部门的交叉补贴。于是,即使每个部门的投资成本等于1(以 t 期的最终产品而言),投资于某些部门的影子价格将会高于另一些部门。于是,这些影子价格差异形成了不平衡的资产组合。请记住,在规模要求不存在或者较低的部门,有隐形税收。这类交叉补贴难以维系,因为每个家庭都可以减少投资于从事交叉补贴的联盟或中介,还可以悄悄地投资于不存在最低规模要求或最低规模要求不高的部门,使其资产组合变得更平衡,从而偏离均衡。最后,只有无交叉补贴的配置,即命题17.7中的配置,才能达到均衡。
该结论最重要的含义是,即使存在不受限制的金融中介或联盟,也无法避免内生不完全市场中的无效率。其关键经济因素是每个家庭都会因为持有一种不平衡的资产组合而产生正的货币外部性,不过在分散均衡中,每个家庭都希望而且很容易朝着均衡资产组合移动,同时逐步减少维持有效配置的努力。
本章介绍了几个不同的随机增长模型。我挑选的主题是为了达到两个目标:第一,我介绍几种宏观经济学的基本模型,比如不确定性下的新古典增长模型和基本的比利模型。这些模型不仅可以用来分析经济增长,而且在宏观经济学文献中有广泛的应用。
第二,第17.6节的模型证实了随机模型如何大大丰富了对经济增长和经济发展的分析。具体而言,该模型说明了我们的标准模型的一个简单扩展如何产生均衡路径,其中各经济体在很长时期都处于低生产效率阶段并且频繁遭遇危机。一旦受到一系列有利的外来冲击,它们(的经济)开始起飞并进入持续且稳定的增长阶段。该起飞过程不仅减少了波动,而且加速了增长,不过仍然与更好的风险控制和更大的金融发展相联系。尽管西欧很多国家增长表现各异,但第17.6节的模型还是可以相当近似地反映这些国家近700年左右的经济增长过程。该模型还强调运气在起飞的时机甚至在决定哪些国家将较早进入工业化进程方面可能都起到了重要作用。因此,该模型为第4章讨论的“幸运假说”提供了一个颇有吸引力的公式化表达。不过,在该模型中,均衡背后的基础是一组市场制度,正是它们让竞争性市场中的交易和投资成为可能。因此,我的解释是,当前这个模型说明,即使一个国家具备了现代增长的主要先决条件,对于其经济起飞的时间而言,随机因素和运气是多么重要。这不仅可以解释当前的一部分跨国收入差距,还可以对如何开始持续增长过程提供重要的洞见。然而,制度因素——决定了现代增长的这些先决条件能否得到满足——对于理解为何部分国家并未在19世纪起飞也没有走上持续而稳定的增长路径十分重要。这些主题我们将在本书余下各章探讨。
第17.6节还介绍了几个有关不完全市场的重要观点。第17.4节介绍的比利模型是一种典型的不完全市场模型,而且与文献中大多数不完全市场模型一样,它采用的是一组开放的市场。相反,第17.6节的模型用到了内生不完全市场。自由进入条件下的均衡决定了这组开放的市场(一组可交易商品集),这一事实可能会因为货币外部性问题而导致新的帕累托无效率(即使所有家庭都把价格看作已知的)。尽管这种类型的帕累托无效率不同于目前为止强调的,该模型中开放市场数量不足的现象和第13章的基本内生技术变化模型中机器种类太少之间有一些重要的相似之处。
布洛克和米尔曼(1972)最早分析了第17.1节介绍的不确定性下的新古典增长模型。因为该最优增长问题比不确定性下均衡增长问题的研究要简单得多,文献中的大部分分析都集中于最优增长问题和第二福利定理。斯托奇、卢卡斯和普雷斯科特(Stokey、Lucas and Prescott,1989)为这一研究方法提供了一个例子。该模型完整的随机动态分析需要更详细地讨论马尔科夫过程的一般理论。因为篇幅限制,我就不逐一介绍这些工具了。必要的资料可以从斯托奇、卢卡斯和普雷斯科特(1989,第8章、第11章、第12章和第13章)的文献中找到,或者读者可以参考富蒂亚(Futia,1982)更为精炼的方法。更先进和完整的方法则由吉克曼和思科罗霍德(Gikhman and Skorohod,1974)或者埃塞尔和库尔茨(Ethier and Kurtz,1986)提出。斯托奇、卢卡斯和普雷斯科特(1989)使用的工具足以证明不确定性下的新古典增长模型中资本劳动比的最优路径收敛于唯一的不变分布,而且这些工具也可以用来证实比利经济中存在静态均衡。
最早对不确定性下的竞争均衡进行系统分析的是卢卡斯和普雷斯科特(1971)。扬奎斯特和萨金特(Ljungqvist and Sargent,2005,第12章)提出了一种经典的教科书式的方法。第17.2节的内容类似于扬奎斯特和萨金特的方法,只是更详细一些。
真实商业周期方面的文献很多,第17.3节只做了浅显的介绍。这类文献的经典论文包括基德兰德和普雷斯科特(1982)以及朗和普洛瑟(Long and Plosser,1983)。扬奎斯特和萨金特(2005)还另外做了很好的介绍。库利(Cooley,1995)的文集是一个很好的起点,为理论分析和定量分析提供了很多工具。布兰查德和费希尔(1989)总结了对真实商业周期方法的各种批判。感兴趣的读者也可以参考普雷斯科特和萨默斯(Prescott,1986; Summers,1986)之间的交流,还有更晚些的金和雷贝洛(King and Rebelo,1999)。
第17.4节介绍的不完全市场模型最早由比利(1977,1980)提出。该模型已经成为宏观经济学最基本的模型之一,而且用于对商业周期、收入分配、最优财政政策、货币政策和资产定价的动态分析。艾亚加里(1994)提出了更现代的方法,尽管该论文的公开发行版本并不包含主要结论的证明过程。读者可以参考比利(1977,1980)以及艾亚加里的工作论文(1993),作为对第17.4节某些命题的细节补充和静态均衡存在性的证明。克鲁塞尔和史密斯(Krusell and Smith,1998,2005),还有其他一些经济学家使用该模型进行商业周期分析,并且为不完全市场经济的研究提供了新的定量分析工具。
第17.6节是基于我和齐利博蒂(1997)的研究,那里有更多关于本节所述结论的细节讨论。我和齐利博蒂等人(Acemoglu and Ziliboti,1997; Imbs and Wacziarg,2003; Koren and Tenreyro,2007)证明了有关经济增长和波动之间的关系。还有学者(Ramey and Ramey,1995)也给出了相关的证明。该模型使用的分散均衡概念并不是阿罗-德布鲁均衡。相反,它对所有开放市场都设定了价格接受行为,而且通过自由进入条件决定了一组开放市场。该均衡概念是合乎情理的,而且被运用于各种一般均衡理论中,比如,哈特(Hart,1979)、马科夫斯基(Makowski,1980)以及艾伦和盖尔(Allen and Gale,1991)。
17.1 命题17.2说明 k ( t +1)是随 k ( t )和 z ( t )递增的。给定充分条件可使 c ( t )也随着这些变量递增。
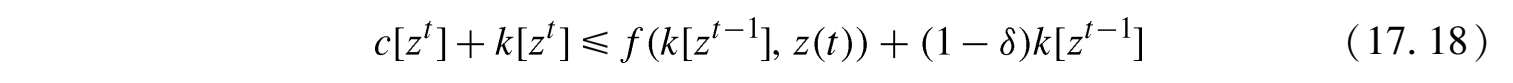
17.2 考虑第17.1节分析的不确定性条件下的新古典增长模型,并假设 z ( t )在 c ( t )和 k ( t +1)确定后实现。
(a) 证明当 z ( t )是跨期独立分布时,经济体对资本存量和消费的选择和不确定性条件下使用修正生产函数的新古典增长模型中的一样。请直观解释此结论。
(b) 现在假定 z ( t )不是跨期独立分布的。构建命题17.1(在此前提下)的对应命题。经济体中的行为如何不同于第17.1节不确定性下的新古典增长模型?
17.3 考虑和第17.1节、第17.2节中相同的生产结构,不过假定当不考虑资本存量水平和随机变量的实现问题时,每个家庭都将其收入中的固定比率 s 进行储蓄。描述经济体随机运动的法则。经济体中的均衡行为和不确定性条件下经典新古典增长模型中的均衡行为有何不同之处?
17.4 考虑第17.1节中不确定性条件下的新古典增长模型。
(a) 已知 π ( k , z )对其两个自变量都是严格递增的。
(b) 证明当部分条件满足时,资本劳动比绝不会收敛于一个固定值,除非 z 具有(总是取相同值)退化分布。
17.5 考虑例17.1。
(a) 证明(17.10)式对任意 B 0 ≠0都不能满足。
(b) 假设该例中价值函数采用
的形式。证明该假设并计算参数
B
2
、
B
3
和
B
3
。
17.6 证明:当 z 符合一般马尔科夫过程而非马尔科夫链时,例17.1中的政策函数 π ( k , z )= βαzk α 是适用的。[提示:不求和,而是采用合理定义的积分符号替代期望符号,并取消积分符号项。]
17.7 (a) 考虑例17.1分析的经济体,其中0< z 1 < z N <∞。试描述资本劳动力比的限制性不变分布,并证明该资本存量在随机条件下可以用第17.5节中的图17.1表示。用该图证明当资本劳动力比率 k 很小时,它总是增加;而当该比率较大时,它总是减小。
(b) 考虑当 z 取值为 z h 和 z l 的特殊情况,每个取值的概率都是 q >1/2,而且以1- q 的概率取值转换。证明当 q →1时,资本劳动比会收敛于不确定性下新古典增长模型中的均衡。
17.8 考虑例17.1中的经济体,假设 δ <1。证明在这种情况下不存在政策函数 π ( k , z )的闭式表达式。
17.9 将社会规划者的最大化问题明确表示为序列问题,将不同历史时期的产出、资本和劳动解释为不同的阿罗-德布鲁商品。运用这一形式,仔细证明如果定理5.7的所有条件都满足,则最优增长路径是分散的竞争均衡。
17.10 考虑不确定性下新古典增长模型的扩展版本,于是代表性家庭的瞬时效用函数为 u ( c , b ),其中 b 是遵循马尔科夫链的随机变量。
(a) 构建并分析该经济体的最优增长问题。证明该最优消费序列满足修正的随机欧拉方程。
(b) 证明定理5.7可以应用于该经济体,而且最优增长路径是分散的竞争增长路径。
17.11 解释在第16章的第16.5.1节中,拉格朗日乘数
为何以劳动收入实现的完整历史为条件,在具有第17.2节中全部阿罗-德布鲁商品(或有索取权)竞争均衡的形成过程中,存在一个唯一的乘数λ和生命预算约束相联系。
17.12 考虑第17.2节的竞争均衡模型。假定有一个专门租赁资本品的市场,而不是每一种状态
下购买和销售资本品的价格,然后重新分析不确定性下新古典增长模型的竞争均衡。当随机变量序列为
z
t
时,用0期的最终产品表示资本品的租赁价格,并令这一价格为
。描述该竞争均衡,并证明它等同于第17.2节的结论。请解释为何这两个表达式有相同的结论。
17.13 证明命题17.3。[提示:使用定理16.8和(17.6)式、(17.22)式,证明生命期限预算约束(17.11)式隐含着(17.7)式。]
17.14 使用该家庭最大化问题的序列(而非递归)表达式下的序贯交易,描述第17.2节分析的不确定性下新古典增长模型的竞争均衡路径。
17.15 证明定理16.1—16.7可以用于(17.24)式定义的 V ( a , z ),并说明 V ( a , z )是连续的,对其自变量是严格递增的、凹的且对 a 可微。
17.16 推导(17.27)式。
17.17 证明命题17.4。
17.18 考虑第17.3节提出的真实商业周期模型,假设生产函数采用 F ( K , zAL )形式,其中 z 和 A 都对应于劳动扩张型的技术生产率项。假定 z 符合马尔科夫链,而且 A ( t +1)=(1+ g ) A ( t )是外生的且决定着生产率增长过程。构建该案例中的社会规划者问题。我们需要对 u ( C , L )施加哪些约束才能确保最优增长路径满足平衡增长路径,其中劳动供给不会(以概率1)趋于零或者无限?
17.19 在例17.2中,假定代表性家庭的效用函数为 u ( C , L )=log C + h ( L ),其中 h (·)是连续的、递减的凹函数。证明:该劳动供给的均衡水平是常量且独立于资本存量水平和生产率冲击的实现。
17.20 解释为什么在第17.4节的比利模型中,家庭的预算约束必须沿着所有路径都成立。将由此得出的预算约束(17.30)式和第17.2节的(17.11)式进行比较。
17.21 证明命题17.5。
17.22 如果不采用(17.44)式的对数偏好,第17.6节的代表性家庭的效用函数采用更一般的形式
,将会发生什么?当
u
(·)变得更凹,该经济的增长率能不能变得更高?[提示:注意区分给定储蓄水平下
u
(·)对资产配置的影响和对总储蓄额的影响。]
17.23 在第17.6节的模型中,证明代表性家庭的最大化问题,说明对于任意
j
,有
。
17.24 在第17.6节的模型中,证明当中间产品部门满足 j ∗ ∈ J ( t )时,则所有部门 j ≤ j ∗ 也属于 J ( t )。
17.25 在第17.6节的模型中,证明条件 Q ≥(2- γ ) q 足以确保图17.2中(17.43)式和(17.56)式的曲线有一个唯一的交点。
17.26 证明命题17.7。具体地,试证明:当 n < n ∗ [ K ]时,为之前无法企及的部门供给证券的金融中介存在营利性的偏离,而且当 n > n ∗ [ K ]时,违反了可行性。
17.27 (a) 证明命题17.9。
(b) 假定条件(17.61)式不能满足。随机过程
会收敛吗?它会收敛于一点吗?
17.28 证明命题17.10。
17.29 证明命题17.11。[提示:构建拉格朗日函数,并证明当所有部门都不能开放时,该社会规划者不会选择均衡资产配置。]
∗
17.30 考虑下列类似于第17.6节的两期经济体。有
I
个金融中介不使用任何资源参与伯特兰竞争。它们以家庭的名义将资金投资于该经济体的任意项目。该经济体有
N
个项目,用
j
=1,2,…,
N
排序。项目
j
对投资的最小规模要求为
M
(
j
),在不失一般性的前提下,将这些项目按最小规模升序排列。家庭的连续统标准化为1,每个家庭的效用函数为
,其中
c
是现在的消费,
c′
是未来的消费,于是
v
(
c′
)表示未来消费的预期效用。每个家庭的总资源都等于
w
,同时决定消费多少、储蓄多少以及如何配置其储蓄。假定
u
(·)和
υ
(·)严格为凹而且递增。现在的资金通过金融中介转化为未来的消费。另外,资金可以投资于一种安全的线性技术,其回报率为
q
。令对资产
j
的投资为
K
(
j
),当
K
(
j
)≥
M
(
j
)时,资产
j
以概率
π
获取回报
Qk
(
j
),从而
πQ
>
q
。另一方面,当
K
(
j
)<
M
(
j
)时,支出为零。
(a) 用 p ( j )表示将1美元投资于项目 j 的“份额价格”,该投资份额以概率 π 获取 Q 美元的回报,否则概率为0。证明:金融竞争确保了当 K ( j ), K ( j′ )>0时,有 p ( j )= p ( j′ )=1。
(b) 现在假定每个项目的回报都是独立的,即,资产 j 支付 Q 的概率等于 π ,这独立于其他项目的回报实现情况。证明:对于所有 j 和 j′ 都有 K ( j )= K ( j′ )。
(c) 描述该经济体的分散均衡。
(d) 证明:当某些项目不活跃时,分散均衡配置也许会导致帕累托无效率。请解释为何分散均衡在某些情况下会制约效率,即使某些项目是不活跃的。
(e) 请描述该有效配置。
(f) 非正式地讨论,当 M ( j )不是最小规模要求而是一个固定成本(因此平均成本是下降的)时,会发生什么。[提示:需要区分两种情况;(1)线性价格;(2)价格歧视。]
[1]
此处
c
[
z
t
]可以解释为对应于随机变量在可能历史的消费水平,这在第16章中被定义为
。我在本章使用更简单的表达式
c
[
z
t
],一是为了简化表述,二是突出目标函数是在时期
t
=0时出现
z
t
之后的“或有消费权益”。
[2]
实际上,更一般地,我们将用整个商品集定义代表性家庭的偏好,即函数
。这种表述强调了代表性家庭最大化的是以不同商品定义的效用,这里对应于不同时期和不同状态下的消费品。(17.12)式利用并强调了代表性家庭对这些不同商品的偏好是可加且可分的事实。
[3] 这里假定家庭本身可以将当前产出储蓄为下一期的资本。由于 t 期和 t +1期的产品是不同的阿罗-德布鲁商品,我们也可以引入企业将 t 期的产品转换为 t +1期的产品,而且在这个例子中,无套利条件等同于这些企业的利润最大化条件。无论是否引入这些企业,余下的分析都不受影响。
[4] 为了简化表述和论点,我依然不使用严格的数学方法。由于存在部门的连续统,所有(均衡)陈述都将伴随着诸如“几乎每处”这类词语。这意味着投资于一个部门(或实际上一个[0,1]部门的可数集合)都可能偏离最优。此外,纯粹的数理分析要求每个金融中介机构都能对应一系列 ε >0的中间产品部门,还要考虑 ε →0的极端情况。我始终忽略这些情况,并要求对每个部门的投资都满足均衡,而且我还假设每个金融中介机构只对应于一个部门。
[5] 这是一个马尔科夫过程但不是一个马尔科夫链,因为对于不同的 K ( t )值, K ( t +1)的可能取值属于ℝ + 。