



我们列出的因素(创新、规模经济、教育、资本积累等等)不是增长的原因,这些是增长本身。
诺思和托马斯(North and Thomas,1973,第2页)
第3章阐述了索洛增长模型如何用来理解跨国收入差异和经济增长过程。在索洛增长模型的框架下,经济增长的过程由技术进步推动。另一方面,跨国收入差异缘于技术差异、每个工人的人均物质资本和人力资本差异的组合。虽然这种方法为我们提供了一个很好的起点,描绘了经济增长和跨国收入差距的潜在来源,然而这些只是经济增长和经济成功的直接原因。以跨国收入差异为例,只要我们试图解释这些技术差异、物质资本和人力资本差异,一个显而易见的问题便自动呈现:如果技术、物质资本和人力资本对理解国民财富的差异如此重要,而且如果它们能解释不同国家人均资本收入5倍、10倍、20倍甚至30倍的差异,那么,为什么一些社会不改善他们的技术,投资于物质资本和积累尽可能多的人力资本呢?
因此,任何仅仅依赖于国家之间技术、物质资本和人力资本差异的解释在一定程度上都是不完整的。必定有其他更深层次的原因,我们称之为经济增长的“根本原因”。正是这些原因阻碍了许多国家充分投资于技术、物质资本和人力资本。
考察经济增长的根本原因非常重要,理由至少有两个:第一,任何只关注中间变量(直接原因)而不了解深层驱动力的理论都是不完整的。因此,除非掌握这些根本原因,否则经济增长理论就难以达到其全部目标。第二,如果我们研究经济增长的部分原因是出于改善增长绩效以及提高其居民生活水平的动机,那么了解根本原因是实现这一目标的核心,因为仅仅通过关注直接原因来提高增长就好比想处理病症却不理解疾病本身。虽然单纯治疗症状有时也有用,但是断然无法替代对根本病因的更全面了解,只有更全面了解才能产生更满意的疗效。同样,我们也许希望掌握经济增长的根本原因,有朝一日能够为社会科学的一个重大问题提供更令人满意的答案,这个问题就是为什么有些国家富裕而有些国家贫穷,我们如何能够确保更多的国家增长得更快。
这些根本原因到底是什么?我们可以进一步了解它们吗?同时,与本书最相关的也许是,致力于研究这样的增长理论有用吗?
在本章中,我试图就这些问题给出答案。让我们从最后两个问题开始。本书认为,透彻理解经济增长的机制,从而建立具体的经济增长模型是成功理解经济增长根本原因的关键。这至少基于如下两个原因:第一,只有首先理解什么是直接原因,以及这些直接原因如何影响经济结果,我们才能就经济增长的根本原因提出有用的问题。第二,模型只有提供了对现实的良好近似,并从定性和定量两个维度成功匹配增长过程的主要特征,才可以告知我们潜在的根本原因是否的确在产生巨大的跨国人均收入差异方面发挥着重要作用。我们对经济增长机制的分析常常会促使我们抛弃或改进某个之前提出的根本原因。至于我们是否能取得进展,大量的经济增长文献就是取得进展以及更多进展也能实现的证据。从某种意义上说,本书的部分目标就是说服你,让你相信这个问题的答案是肯定的。
回到第一个问题,历年来,众多经济学家、历史学家和社会科学家就经济增长提出了无数根本原因。显然,对这些原因列举和归类既不能传达信息也没有任何用处。相反,我把经济增长主要的备选根本原因分为四类假说。毫无疑问,这样的分类忽略了前人文献提出的部分细微差异,然而,对于突出跨国收入差异和经济增长的主要影响因素,这样的分类是比较理想的。它们是:
(1)运气假说,
(2)地理假说,
(3)文化假说,
(4)制度假说。
“运气”,我指的是能够解释其他条件相同的国家之间经济路径分叉的一组根本原因,或者因为一些小的不确定性,或者因为它们之间的异质性导致了影响深远的不同选择,或者是因为在多重均衡之间做出了不同选择。多重均衡对应于基本经济环境相同时产生的不同均衡配置。当模型存在多重均衡时,我们往往无法具体预测不同国家将会选择哪些均衡?有可能其他条件相同的两个国家收敛到不同的均衡,而不同的均衡对于经济增长和生活水平具有截然不同的影响。运气和多重均衡可以通过迄今为止讨论过的任何直接原因(和本书后面将会讨论的一些附加机制)表现出来。例如,多重均衡可以存在于技术采用模型或者注重人力资本和物质资本投资的模型中。因此,基于运气或多重均衡的解释往往具备良好的理论基础。它们经验上是否合理则是另一回事。
“地理”,我指的是个人无法选择的、作为其生长环境的所有物质、地理和生态环境因素。地理可以通过多种直接原因影响经济增长。影响增长过程的地理因素包括土壤质量,它可能会影响农业生产率;自然资源,它直接导致一个国家的财富多寡,并且可以在关键时期提供某些关键资源,如煤炭和铁矿石对工业化的促进;气候,可能会直接影响生产率和工作态度;地形地貌,可能会影响交通和通信成本;疾病环境,这会影响个人健康、生产率以及积累物质和人力资本的激励。例如,在索洛模型的加总生产函数中,土质差、自然资源匮乏或者荒凉的气候对应于一个较低的技术水平A,即一种低效的技术类型。许多哲学家和社会科学家都认为,气候也从根本上影响偏好,因此,或许在某些气候环境下个人偏好提前消费而不是延后消费,从而减少物质和人力资本的储蓄率。最后,不同地区疾病负担的差异可能会影响个人的生产率和个人积累人力资本的意愿。因此,基于地理的解释既可以很容易地被嵌入我们学过的简单的索洛模型中,也可以囊括进本书后面将要讨论的更复杂的模型。
我们使用“文化”表示影响个人经济行为的信仰、价值观和偏好。不同社会的宗教信仰差异是文化差异影响经济行为的最明显的例子。偏好差异,例如财富与决定社会地位的其他活动的相对重要性、个人对其财富状况的耐心,在影响经济表现方面,其重要性不亚于甚至高于运气、地理和制度。从广义上讲,文化主要通过两个渠道影响经济表现:第一,它可以影响个人参与不同的活动,或者在当前和未来消费之间进行权衡。由此,文化影响社会的职业选择、市场结构、储蓄率以及个人积累物质资本和人力资本的意愿。第二,文化也可能影响个体之间合作与信任的程度,而这为提高生产率的活动提供了重要基础。
我们说的“制度”指的是规则、规章、法律和经济政策,它们能影响经济激励,从而影响投资于技术、物质资本和人力资本的激励。这是一个老生常谈的经济分析,个人只从事有报酬的活动。因此,影响这些报酬的经济制度在影响其他三个经济增长的直接原因方面必定非常重要。制度与地理、运气和文化的差别在于,前者是社会的选择。尽管法律和法规不直接由个体选择,而且某些制度安排具有历史传承性,但最终,一个社会赖以存续的法律、法规及政策是这个社会成员的选择。如果社会成员集体决定改变制度,他们就可以这样做。这种可能性意味着,如果制度是经济增长和经济表现跨国差异的一个主要根本原因,一个社会就可以通过改革制度而获得更好的结果。但这样的改革并不容易,可能会遭遇强烈反对,通常我们可能无法确切地知道哪种改革会起作用。但改革仍然是有可能的,进一步的研究可以帮助我们理解这些改革将如何影响经济激励,以及改革如何实现。
制度和文化之间存在着明确的联系。两者都影响个人的行为,都是激励的重要决定因素。然而,鉴于有关制度和文化的理论之间存在着显著差别,因此将制度和文化区分开来是合理的。通过改变资源配置、宪法、法律和政策,个人可以共同影响其生活的制度环境。就此而言,制度在社会成员的直接控制之下。与此相反,文化是指个体直接控制之外的随时间演变的一组信念。
尽管制度在实践中可能难以改变,文化则更难被影响,给一个社会提出改变文化的建议几乎是徒劳的。
尽管制度是经济增长和跨国收入差异的一个根本原因,但强调制度本身的内生性也很重要。制度要么是社会全体,要么是其中的强势集团做出的均衡选择。你可能会认为,运气、地理或者文化也许更加重要,因为它们从一定意义上说也许更具外生性,与制度不同的是它们不是均衡选择,而且制度在不同社会存在差异的主要原因是地理、文化或者随机因素。虽然在一些哲学层面,这种说法是正确的,但它并不是一个特别有用的观点。它既不能省却我们对运气、地理、文化和制度的直接影响进行了解(这些直接影响一直是这个领域争论的焦点),也不意味着我们无须了解制度和经济发展的具体作用。毕竟,如果我们能够理解制度的影响以及哪种特定类型的制度真正有效,制度改革就会导致经济行为的重大变化,即使制度的部分原有差异确实源于地理、运气或文化。
在本章的其余部分,我将解释导致这些不同假设的原因,并概述与经济增长的各种根本原因相关的经验证据。制度论的理论支撑和含义将在第八篇加以拓展。此时此刻,要提醒读者的是,在这些争论中我不是一个客观的旁观者,而是制度假说的大力提倡者。因此,本章将制度差异作为我列出的重要直接原因的根源也就不足为奇了。然而,相同的证据可以用不同的方式加以解释,读者应该自由得出自己的结论。
在深入讨论根本原因之前,另外一个话题值得简要讨论一下。这是我们下一节的内容。
正如第1章强调的,跨国收入差异来源于这些国家在过去两个世纪中的不同增长经历。这使我们理解经济增长的过程非常重要。同样引人注目的事实是,世界经济增长充其量是过去200年左右才有的现象。因此,关于增长的另一个主要问题是为什么经济增长最近才开始启动而之前几乎没有发生?增长文献为这些问题提供了各种有趣的答案。其中许多文献侧重于经济规模和人口的作用。这个论点如下:在有规模经济(或规模报酬递增)的环境中,人口需要达到一定的临界水平才能使科技进步加速。另外,这种环境下一直存在的某些自然的技术进步过程需要达到一定临界水平,增长过程才会启动。这些论述很有道理。在过去100万年,世界人口确实已经大大增加,当今世界的居民有机会接触到我们的祖先无法想象的一些科学技术。世界经济的这些长期发展能否解释跨国差异?世界人口的增加是否能够很好地解释世界经济的起飞?
我们先关注人口的作用以初步回答上述问题。考虑人口和技术变化之间关系有一种最简单的思考方式,这就是西蒙—克雷默模型,以人口统计学家朱利安·西蒙(Julian Simon)和经济学家迈克尔·克雷默(Michael Kremer)而得名。因为不考虑跨国差异,所以这种模型实质上是关于整个世界经济的模型。试想每个人都能以较小概率发现一个新想法,新想法将有助于增加社会的知识储备。最重要的是,这些随机发现在不同个体之间是独立分布的。所以,更大的人口数量意味着有可能获得更多的新想法,从而提高总生产率。让产出仅仅由技术决定(该条件可以进行推广,使技术和资本共同决定产出,正如在索洛模型一样,但是这并不影响我在这里提出的观点):
其中, α ∈(0,1), Y ( t )是世界总产出, A ( t )代表世界技术存量, L ( t )表示世界总人口, Z 代表某些其他固定生产要素(例如土地)。我们不失一般性地把 Z 标准化为1。假设时间是连续的,新的创意以概率λ出现,从而社会的知识储量按照以下微分方程演化
初始的世界知识水平为给定的 A (0) > 0。相应地,正如后面第21章将要提出的马尔萨斯传播机制所示,人口成为产出的函数。我们可以假定人口随产出线性增加:
结合这三个等式可以得到(见习题4.1):
上述微分方程的解为
方程(4.4)表明人口规模经济(收益递增)模型如何产生稳定的技术增长。很容易证明下式:
从而总收入也以固定速率λ
增长。这个模型可以产生稳定而非加速的增长。相反,西蒙和克雷默假定模型具有比(4.1)式更强的外部性。他们假定想法的积累由如下公式决定:
该公式意味着技术运动方程可表示为(见习题4.2):
与(4.4)式相比,这个等式意味着加速的产出水平。从低水平的 A (0)(或 L (0))开始,该模型会有相当长一段时间的低产出,接着是加速或起飞,正如第1章曾经讨论过的当代经济增长历程所示。因此,从数据中,我们可以观察到具有显著规模经济的起飞模式。
虽然这个被许多经济学家提出的说法对世界经济增长可能有一定的解释力,但是必须强调的是:它几乎没有提及跨国收入差异或现代经济增长为什么在一些国家出现(西欧),而在其他国家则没有发生(亚洲、南美洲、非洲)。事实上,如果我们把西欧和亚洲看作相关的经济单位,在过去的2000年内,欧洲人口一直少于亚洲人口(如图21.1所示),因此西方经济的腾飞以及亚洲经济的停滞不可能简单归因于人口的规模经济。
因此,上述讨论表明,基于各种规模经济的模型没有为我们揭示跨国收入差异的根本原因。它们充其量是整个世界经济的增长理论。而且,一旦我们认识到现代经济增长的过程一直是不均衡的,就意味着增长发生在世界的有些地区而另一些地区则没有,那么这种理论的吸引力就会进一步减弱。如果将现代经济增长归因于规模经济,这种现象也应该能够解释经济增长何时何地开始。但是,基于规模经济的现有模型却做不到这一点。在这个意义上说,它们不可能提供现代经济增长的根本原因。这是否意味着这些类型的规模经济和人口规模报酬递增不重要?当然不是。它们很可能是增长过程的部分直接原因(例如,处于技术黑匣子的部分)。但是,我们这里的讨论也表明这些模型需要其他的根本原因更有力地解释经济起飞发生的原因、时间和地点。这进一步刺激了人们探究经济增长的根本原因。
第21章将介绍一些模型,其中多重均衡或多个稳态的出现是因为产品市场协调失灵或者信贷市场不完善。这些模型表明,一旦参数给定,一个经济体可能展现差异很大的均衡行为——有的均衡对应于较高收入或者可持续增长,而有的均衡对应于贫穷和停滞。为了进一步探讨这些复杂模型,考虑如下由社会中的大量参与者进行投资的简单投资博弈:
让我们集中观察对称均衡。第一列表示所有行为人(除讨论的个人)已经选择了高投资,而第二列对应于所有行为人的低投资(选择)。另外,第一行对应于个人高投资,第二行是低投资。在每个单元中,第一个数字是指个人的收入,而第二个数字是该经济体中其他行为人的回报。假设 y h > y L ,并且 ε 和 ε ′都大于0。收益矩阵表明当别人也选择高投资的时候,高投资变得更有利可图。其中可能的原因包括技术互补或者总需求的外部性等(见第21章)。
显而易见,在这个博弈中有两个(纯策略)对称均衡。其中一个均衡是个人预期其他所有行为人会选择高投资,他也选择高投资。由于同样的算法适用于每个行为人,因此,每个个体会预期其他人进行高投资因此自己也选择高投资。这就证实了所有人选择高投资是一个均衡。类似地,当个人预期其他人都选择低投资,对他来说低投资就是一个最好的选择,所以,还存在一个低投资均衡。因此,这个简单的博弈出现了两个对称的(纯策略)均衡。
有两个特点值得注意。首先,取决于互补性及其他经济互动的程度, y h 可以比 y L 大很多,所以有可能两个不同的均衡配置存在显著的收入差异。因此,如果我们认为这样一个博弈是对经济现实的很好模拟,而且不同国家可能最终达到不同的均衡,这里的经济互动可能有助于解释巨大的人均收入差异。其次,在这个博弈中两个均衡都是帕累托排序的——如果每个人都选择高投资,均衡时所有个体的境况都会得到改善(帕累托标准参见第5章)。这两个特征在第21章将讨论的“大推进”模型中也会讨论。
除了多重均衡模型,在这种环境下也可能会用到随机模型。在随机模型中,某些随机变量的实现值决定了一个特定经济体何时从低生产率技术转变到高生产率技术并开始经济起飞过程(见第17.6节)。
多重均衡模型以及长期经济增长的性质由随机变量决定的那些模型,其吸引力在于描述了经济发展过程的某些方面。它们也能在一组有趣的模型中让我们了解经济发展的机制。但是,这些模型是否告知了我们经济增长的根本原因?我们是否可以说,美国今日富足而尼日利亚贫穷的原因是前者在均衡选择方面一直非常幸运,而后者一直不走运?我们能否把它们不同的发展路径归咎于200年、300年或400年前一些小的随机事件?答案似乎是否定的。
美国经济增长是多个过程的累积结果。这些过程从创新和自由的企业家行为到重要的人力资本投资以及迅速的资本积累。很难把这些过程降格为一个简单的幸运符或正确的均衡选择。即使在400年前,美国和尼日利亚的条件也显著不同,这导致了不同的机会、制度路径和激励。正是国家的历史经验和不同的经济激励共同奠定了不同经济增长过程的基础。
同样重要的是,基于运气或多重均衡的模型可以解释为什么两个其他条件相同的国家间有可能存在20年甚至50年的差距。但是,我们该怎么解释500年的差距呢?显然,假设尼日利亚能够突然转换均衡状态并迅速获得当今美国的人均收入水平是不合理的。
换言之,大多数多重均衡模型也不能令人满意。正如前面讨论过的简单例子,大多数多重均衡模型涉及帕累托排序均衡。这表明一个均衡比另一个均衡为所有行为人提供了更高的效用或福利。虽然帕累托排序均衡是简洁模型的特性,但这些模型并没有说明许多相关维度的异质性,而这些异质性在实践中是很重要的。因此,尚不清楚这些简洁模型是否有助于我们思考“为什么有的国家富裕而有的国家贫穷”这个问题。如果尼日利亚人确实有可能改变行为模式以使每一个国民都过得更好(譬如,就上述博弈而言,从“低投资”转向“高投资”),那么200年来他们都未能协调一致地采取更好的行动就太匪夷所思了。大部分读者都清楚尼日利亚的历史充斥着宗教冲突、种族冲突以及蹂躏国民的内战,该国直到现在仍然遭受鱼肉百姓、中饱私囊、极端腐败的政客、官僚和军人的危害。因此至少可以这样说,在这样的历史和社会背景之下,简单的帕累托改进似乎也是不大可能的。
客观地说,不是所有的多重均衡模型都允许从一个较差的帕累托均衡简单转向较好的帕累托均衡。在文献中,可以对多重均衡模型与具有历史依赖性的多重稳态模型做有益的区分。在前一类模型中,当个体同时改变他们的信念和行为时可以达到不同的均衡,而在后一类模型中,一旦开始了一种均衡路径,过渡到另一个稳态均衡十分困难,也许是不可能的(见第21章)。与多重均衡模型相比,多重稳态模型在解释各国经济表现的固有差异方面更具吸引力。然而,除非考虑到某种其他重大利益冲突或扭曲的来源,我们似乎不大可能用这种模型解释为什么美国和尼日利亚这两个国家具有相同的经济参数,却做出不同的选择并且坚持了它们的选择。如何维持这种特殊稳态均衡的机制应该是这种理论最重要的因素,而其他经济增长的根本原因,包括制度、政策,也许还有文化也一定在解释这种类型的持久性方面发挥着作用。换句话说,当今的世界充斥着免费的信息、技术和资本流动,如果尼日利亚具有与美国相同的经济参数、机会和制度,那么一定存在着某种(制度)安排,例如新技术可以进口,每个人都可以过得更好。
多重稳态模型的另一个挑战是无处不在的增长奇迹,如在第1章中已讨论过的韩国和新加坡。如果跨国收入差异由不同的稳定状态决定,几乎没有例外,那么如何解释那些经历了超长迅速增长的国家?中国的例子可能更有说服力。虽然在共产主义制度建立到毛泽东逝世期间,中国经济停滞,但随后经济体制和政策的变化使后来的经济快速增长。如果中国在毛泽东逝世前一直保持着低增长的状态,那么我们就需要解释它在1978年后是如何脱离这种稳态的,为何在此前无法脱离低增长的状态。这就不可避免地需要考虑其他根本原因,如制度、政策和文化。
可以用另一种也许更有说服力的强调运气重要性的论点加以解释,即强调领导人的作用。一国领导人的个性或许可以视作影响经济表现的随机概率事件。这种观点可能有很多优势。琼斯和奥尔肯(Jones and Olken,2005)的实证研究显示,领导人似乎影响着国家的经济表现。选择能促进发展或阻碍发展的领导人取决于运气,因此,运气在跨国收入和经济增长中能够发挥主要作用。然而,这样的解释更接近制度方法而非纯粹的运气范畴。首先,领导人往往会通过他们制定的政策和建立的制度影响其社会的经济表现。其二,领导人的选择、行为及其奉行的政策是制度解释的一部分。第三,琼斯和奥尔肯的研究指出了领导人的影响和社会制度之间存在重要的相互作用。似乎只有在不民主或者民主弱化(缺乏对政治家或精英的约束)的国家中,领导人对经济增长才至关重要。而在民主国家和制度能够约束政治人物及领导人的社会中,领导人的个性几乎不会影响经济表现。
鉴于这些考虑,我初步得出以下结论:强调运气和多重均衡的模型对经济发展机制的研究是有用的,但这些模型不能给出世界经济为何在200年前才开始增长,以及如今为何有些国家富裕而有些国家贫穷的根本原因。
虽然在上一小节我们的方法是强调运气以及多重均衡在相似社会中的重要性,我们在这一节重点研究各个社会深层次的异质性。地理因素假说中最重要的一点是世界各地区并不都是“生而平等”的。“自然条件”,指各国的物理、生态及地理环境,在经济发展过程中起到了十分重要的作用。如上所述,地理因素决定了不同社会中个体经济人的偏好以及机会。地理因素假说至少有三个主要版本,对于地理因素如何影响发展的机制,它们的侧重点各不相同。
第一个和最早版本的地理假说可以追溯到孟德斯鸠(Montesquieu[1748],1989)。孟德斯鸠是法国杰出的哲学家和狂热的共和政府支持者。他相信气候是决定国家命运的主要因素之一。他认为气候,特别是气温,决定了人们的态度和努力,并由此影响了经济和社会后果。他在《论法的精神》这一经典著作(1989)中写道:
炎热的气候可以使人们毫无力气。这种萎靡的状态甚至会影响人们的精神面貌;缺乏好奇心、没有高尚的企业和慷慨的情操;消极的情绪将弥漫开来,懒惰将成为主流情绪。
在寒冷的地方,人们将会变得更有活力。温暖国度的人们表现得像老年人一样怯懦,而寒冷国度的人们则表现得更像年轻人一样勇敢。
今天看来,这些段落中的一些言论似乎有点幼稚而且可能带有“政治错误”,但仍然有很多支持者。即使孟德斯鸠的口才使他从持有类似观点的人中脱颖而出,但他既不是第一个,也不是最后一个强调地理因素影响经济的人。在经济学家中更受尊敬的人物是经济学的创始人之一,阿尔弗雷德·马歇尔。在孟德斯鸠逝世近一个半世纪以后,马歇尔(1890)写道:
活力在一定程度上取决于种族素质;但是,似乎气候才是种族素质的主要决定因素。
虽然地理假说的第一个版本对我们许多人来说既幼稚又陌生,但第二个版本更加合理并且拥有更多的支持者。第二个版本重点强调了地理因素对技术的影响,特别是在农业领域。这个观点被早期的诺贝尔经济学奖得主,冈纳·缪尔达尔(Karl Gunnar Myrdal,1968,第3卷)进一步发扬,他写道:
对不发达问题的严谨研究……应考虑气候对土壤、植被、动物、人类和物质资产等的影响。总之,要考虑到经济发展中的生活条件。
更晚一些时候,贾雷德·戴蒙德(Jared Diamond)在其广受欢迎的《枪炮、病菌与钢铁》一书中阐述了他的观点。他认为,美洲和欧洲之间(欧亚大陆之间更是如此)的地域差异决定了定居农业的作业时机和性质,并由此决定了社会是否能够发展成复杂的组织结构以及发展出先进的民用和军事技术(例如,第358页,1997)。经济学家杰弗里·萨克斯(Jeffrey Sachs,2001)作为地理因素决定农业生产率观点的有力支持者,指出:
到现代经济增长时代开始之前,温带地区的技术比热带地区的技术有着更高的生产效率。更早之前除外。
当然也有理由质疑广受信奉的地理决定论第二个版本的观点。这些作者强调的技术差异主要体现在农业上。但是,正如第1章强调,各国之间经济增长差异的根源应该追溯到工业化时代。现代经济发展伴随着工业化进程,那些未能实现工业化的国家至今仍然很贫困。总之,较低的农业生产率应该能带来工业方面的比较优势,并激励那些地理条件不优越的国家先于其他国家投资工业。有人可能认为,农业生产率达到一定程度是开展工业化的必要前提。这种观点看起来似乎有道理(至少是有可能的),然而那些未完成工业化的国家,有很多当时已经达到一定程度的农业生产率,而且事实上往往领先于那些后来工业化迅速发展的国家(见第4.4节)。因此,农业条件不理想和经济起飞失败之间似乎不存在简单联系。
地理因素假说的第三种版本,在近10年来尤为流行,它将世界上很多地区的贫困与疾病负担联系起来,强调热带地区较温带地区更容易感染疾病(Sachs,2000,第32页)。萨克斯等人(Bloom and Sachs,1998;Gallup and Sachs,2001,第91页)声称,仅疟疾流行就使撒哈拉以南非洲国家的经济增长率每年下降2.6%。这样的降幅意味着,如果在1950年根除疟疾,撒哈拉以南非洲地区的人均收入会是今天的两倍。如果再考虑其他疾病负担的影响,那么疾病对其人均收入的影响会更大。
第三种版本的地理因素假说看上去似乎要比前两种版本更加合理,尤其是微观经济学文献表明,身体不健康的人生产效率更低而且学习起来更加困难,因此很难积累起人力资本。在接下来的两节中,我将更详细地讨论一般性的地理因素假说和这个具体版本的假说。但是有一点值得注意,当今贫困国家疾病负担变得更重,这既是贫困的结果,同时也是贫困的原因。欧洲国家在18世纪甚至19世纪,饱受多种疾病的困扰,但随后的经济发展使它们逐步消除了这些疾病,并创造出更健康的生活环境。很多贫困国家不健康的环境,至少有一部分原因可以归结为没能成功地发展经济。
造成经济增长和人均收入差异的另一个根本原因是制度。制度假说的一个问题在于很难定义什么是“制度”。“制度”一词在日常使用中代指许多不同的东西,学术文献有时对制度的定义也不甚清晰。
经济史学家道格拉斯·诺思被授予诺贝尔经济学奖,在很大程度上是由于他强调历史发展过程中制度的重要性。诺思(1990,第3页)提供了以下定义:
制度是一个社会的游戏规则,或者更正式地说,是人为设计的、用以塑造人们互动的一系列约束。
他接着强调制度的主要影响:
因此,(制度)影响人们的交易动机,无论是政治的、社会的,还是经济的。
这个定义包含了制度构成的三个重要元素。首先,它是人为设计的,也就是说,它和人为控制以外的地理因素相反。制度是社会上的人基于自身利益而选择的结果。其次,制度约束个人行为。这些限制并非不容置疑:任何法律均可能被打破,任何法规均可以被忽视。然而,惩治某些类型的行为而奖励其他行为的政策、法规和法律,自然也会影响行为。这就涉及制度定义中的第三个要素。制度施加于个人的约束,塑造了人类互动,影响了行为动机。在某一深层次的意义上说,制度远远比其他候选的根本原因更强调了激励的重要性。
读者可能已经注意到,上述对制度概念的定义涵盖相当广泛的内容。事实上,这恰恰是贯穿本书的概念:制度是指影响人与人之间各种经济活动的众多安排。这些安排涉及家庭、个人和企业之间的经济、政治和社会关系。政治体制决定了社会集体决策的过程,其重要性怎么说都不为过,我们将在本书第八篇分析这个主题。
研究国与国之间收入差距根本原因的一个更自然的起点是经济制度,包括产权结构、市场的存在以及运行(无论好坏)、个人和企业之间的签约机会等等。经济制度是重要的,因为它们影响着社会的经济激励结构。没有财产权,个人就不会有动力在物质或人力资本上投资,或者采用更高效的技术。经济制度很重要,还因为它们能够确保资源被配置到最有效的用途当中,并决定谁将获得利润、收入和剩余控制权。当市场缺失或被忽视时(例如,许多原社会主义社会的情况),交易产生的收益得不到利用,资源配置扭曲。因此经济学理论提出,一个社会如果拥有促进和鼓励要素积累、创新及有效资源配置的经济制度,相对于没有这种制度的社会,将更加繁荣。
经济制度是影响不同经济增长模式的关键因素,这一假说与我在本书中提到的模型紧密相关。所有的经济模型都始于经济制度的设定,例如,市场结构、可行合同及可行交易的集合、禀赋分配和个人所有权。此外,在所有这些模型中,激励机制影响着个人行为。个人组成一个社会的方式基本上决定了经济制度,而正是经济制度塑造了上述激励机制。有些社会的组织方式鼓励人们创新,承担风险,为将来储蓄,找到更好的方法做事,学习和教育自己,解决集体行动的问题,并提供公共物品。有些则不是。我们的理论模型要确定在阻碍或促进经济增长的具体政策和制度变量中哪些是重要的。
本书的第八篇为分析“好的经济制度”的构成因素提供了理论方法。一项好的经济制度应该能够促进物质资本和人力资本的积累,开发并采用更好的科技(尽管好的经济制度无疑会随着环境和时间的变化而变化)。读者应该从直觉上能够理解,对有助于提高效率的经济活动增税并不会促进经济增长,抑制创新的经济制度也不会带来技术进步。因此,实施一些基本产权(政策),保证企业的自主经营是不可或缺的。但是,经济制度的其他方面也很重要。例如,人力资本对生产率提高和技术利用来说都很重要。然而,对于一个具有很多部门且能够广泛积累人力资本的社会来说,某种程度的机会均等是必要的。仅仅保护富人精英阶层或特权阶层的经济制度,会造成机会均等的缺失和其他扭曲,因而可能阻碍经济增长。第14章强调了熊彼特的创造性破坏过程,其中新企业大力发展并战胜在位企业,这种创造性破坏是经济增长的基本要素。熊彼特的创造性破坏需要一个公平的竞争环境,这样一来,在位企业就无法阻止技术进步。因此,基于创造性破坏的经济增长,也需要经济制度保证一个社会中有一定程度的机会均等。
读者可能想到另一个问题:为什么任何社会都存在阻碍经济增长的经济和政治制度?社会各方都最大限度地做大国家馅饼(GDP水平、消费水平,或者经济增长水平)岂不是更好?这个问题有两种可能的答案。第一个答案把我们带回多重均衡,这可能是因为社会成员无法就“正确”的(例如,促进经济增长的)制度达成一致。这个答案与对多重均衡的其他解释同样不能令人满意:如果存在一个均衡制度,它将使所有社会成员变得更加富有并且境况得以改善,那么在一段时间内社会成员都将非常愿意就制度带来的这种改进达成一致。
第二种答案认为存在着一些社会内部固有的利益冲突,能让所有人都过得更好的改革、变化或进步并不存在。在熊彼特阐述的创造性破坏中,每一次改革、变化或进步,都在创造着赢家和输家。本书第八篇说明,对制度的解释与社会中的利益冲突紧密相连。简单而言,资源分配不能脱离经济的总体表现,或者用更常用的语言来说,效率和分配不能脱钩。那些没能最大限度地提高经济潜力的制度可能为社会的某部分人创造利益,因而这部分人是这类制度的忠实拥护者。因此,要理解制度变迁的根源,我们就要研究不同制度变迁下的赢家和输家,以及为什么即使制度变迁能增加国民财富的规模,赢家也不能笼络收买或补偿输家,为什么赢家没有强大到足以击败潜在的输家。这样的研究不仅有助于解释为什么某些社会选择或废止了抑制增长的经济制度,也有助于我们对制度变迁做出预测。毕竟,制度事实上能够并且确实发生变迁,这是制度假说与地理和文化假说之间的重要差别。均衡制度和内生的制度变迁是制度假说的核心部分,但必须推迟到本书第八篇再进行研究。在这里,请注意制度内生性的另一个重要含义:制度的内生性使评估制度作用的实证研究更具挑战性,因为它意味着我们考察制度对经济表现的作用时,将存在计量经济学中的标准联立偏误。
在本章中,我把重点放在赞成和反对各种假设的经验证据上。我认为这方面的证据大体上表明,社会对不同经济制度的选择是决定经济命运的主要因素。在下面的讨论中,我对最近的实证研究给出了一个综述,以支持我的观点。尽管如此,需要强调的是运气、地理和文化也很重要,而且这四个根本原因相互补充。有证据表明,制度是这四个原因中最重要的一个,但并不否认其他因素(如文化影响)的潜在作用。
最后一种解释经济增长的观点认为,不同的社会(或者不同的种族或族裔群体)有不同的文化经历或不同的宗教。一些社会科学家将文化视为个人和社会价值观、偏好及信仰的关键决定因素;文化差异则在影响经济表现中发挥重要作用(争议还在继续)。
在一定程度上,人们认为文化在一套给定制度下会对均衡结果产生影响。回想一下,当存在多重均衡时,均衡的选择就成为核心问题。例如,在第4.3.1节简单博弈的讨论中,文化可能成为个体协调高投资或低投资均衡的决定因素之一,“好”的文化可以被视为协调更优(帕累托最优)均衡的方式。当然,前文所述的论点,即整个社会不太可能陷入一个所有人的境况相对于其他均衡情形都恶化的均衡之中,使文化协调均衡的作用不那么重要。另外,不同的文化产生不同的信念,影响着人们的行为方式。在给定的制度框架之下,这些差异可以改变原有的均衡集合(例如,一些信念允许使用惩罚策略,而其他信念则不允许)。
马克斯·韦伯(Weber,1930)对文化与经济发展之间关系的论述最为著名。他认为,西欧工业化的起源可以追溯到文化因素,即新教改革,特别是加尔文教的兴起。有趣的是,韦伯在评论孟德斯鸠的观点时,清晰地概述了他自己的观点:
孟德斯鸠在谈到英国人时说,他们已经“在三件重要的事情上取得了全世界最大的进步:虔诚、商业和自由”。有没有一种可能,他们对商业的重视、对自由政治制度的采纳与孟德斯鸠赋予他们的“虔诚”之间存在某种形式的关联?
韦伯认为,英国式的虔诚,尤其是新教,是资本主义发展的重要推动力量。新教产生了一套强调勤奋、节俭和储蓄的信仰。新教认为经济上的成功就是被神选中的信号。韦伯把新教的这些特点与其他宗教如天主教进行比较,他认为,天主教并没有促进资本主义的发展。最近,类似思想已经被应用于强调其他宗教的不同含义。许多历史学家和学者都认为,资本主义的兴起、经济增长过程、工业化是与文化和宗教信仰密切相关的。在解释为什么拉美国家(因为他们的伊比利亚文化)相对较为贫穷而其北美邻居却很富裕时(因为他们的盎格鲁-撒克逊文化),也提出了类似的观点。
一个起源于人类学的说法认为,社会有可能因其文化价值观和信仰体系不鼓励合作而“功能失调”。该观点最早和最有见地的版本是班菲尔德(Banfield,1958)在分析意大利南部的贫困问题之后得出的。他的思想后来被帕特南(Putnam,1993)推广,后者提出了社会资本的概念,用来表述导致合作和其他“好的结果”的文化态度。这些思想的许多版本都以这样或那样的形式出现在经济学文献中。
经济增长理论面临的两个挑战也是建立在文化的基础之上。第一个是文化测量的难度。然而,在社会调查中,通过自我披露的信仰和态度,在测度某种文化特征方面已经取得一些进展。简单地说,意大利北部的富裕源于良好的社会资本,而南部之所以贫困是由于恶劣的社会资本使其陷入恶性循环的风险之中。文化在解释经济增长时面临的第二个困难是增长奇迹,例如韩国和新加坡。如上所述,如果亚洲的文化会引导这些国家走向富裕,那么为什么此前没有带来增长?为什么这些文化不能促进朝鲜的经济增长?如果亚洲的价值观念对今天中国的增长十分重要,那么为什么在毛泽东时代没有产生更好的经济表现?这些挑战,大体上都是可以克服的。我们或许可以采用更好的数据绘图,结合特定条件下文化如何迅速变化的有关理论,构建出文化模型。虽然理论上可行,但尚未出现相关理论。此外,下一节将揭示,过去几个世纪许多国家经历的巨大经济增长差异背后,文化因素并不是主导力量。有鉴于此,文化或许最好被看成对制度因素的补充,例如,作为促进制度惯性的力量之一。
我认为,有令人信服的实证研究支持以下预测:经济制度的差异,比运气、地理或文化,更会导致人均收入的差异。我们先来考察经济制度的一个衡量指标与人均收入之间最简单的关系。
图4.1显示了各国1995年人均GDP对数与产权制度之间的相关性,其中产权制度以1985—1995年保护公民免遭征收风险的平均值衡量。测算经济制度的数据来自政治风险服务集团(Political Risk Services),这是一家评估外商投资在不同国家面临没收风险的私人企业。这些数据并不完美,反映的是一些分析师对产权安全性的主观评估,然而对我们的研究目的还是有帮助的。第一,它们强调产权保障,这是经济制度的本质方面,尤其是考虑到产权对经济激励的影响时。第二,那些打算在被评估国家进行投资的商人购买了这些测算数据,因此反映了产权保护的市场评估。
图4.1 经济制度(以1985—1995年平均被征收风险衡量)与人均GDP之间的关系
图4.1显示,产权有更多保障的国家(也就是更好的经济制度)有着更高的人均收入。读者不应该把图表中的相关关系解释为因果关系,即不能说产权保护导致了经济繁荣。第一,相关性也可能反映了逆向因果关系,也就是说,或许足够富裕的国家才能执行产权保护。第二,更为重要的是,可能存在遗漏变量偏差,比如地理或文化等其他因素,解释了为什么国家贫穷、为什么缺乏产权保护。因此,如果遗漏决定了制度和收入的因素,我们就会错误地推断出经济制度和收入之间存在因果关系,而事实上这种关系是不存在的。这是计量经济学中标准的、由联立偏误或遗漏变量偏误造成的识别问题。最后,产权保护或经济制度的其他代理变量,本身就是基本政治制度和政治冲突的均衡结果。虽然最后一点很重要,但是要对制度均衡做出令人满意的探讨,就必须对政治与经济的相互作用建模,这要等到第八篇才进行叙述。
为进一步说明这些潜在的识别问题,我们可以假设气候或地理学影响经济表现。事实上,简单的散点图显示出纬度(与赤道之间距离的绝对值)和人均收入之间的正相关关系,这一结论与孟德斯鸠和其他地理假说支持者的观点相一致。有趣的是,孟德斯鸠不仅声称温暖的气候使人们懒惰,从而降低生产率,他还断言,温暖的气候使他们不适合接受民主统治。因此根据孟德斯鸠的观点,专制是在温暖的气候条件下的“均衡”政治制度。故而,对图4.1中模型的一个可能解释就是,存在被遗漏的变量,即地理因素,能同时解释经济制度和经济表现。而忽略潜在的这第三个因素将会导致错误的结论。
即使孟德斯鸠的论断有不切实际和牵强附会之嫌,但是如下一般观点需要认真对待:图4.1所示的相关性,以及对图4.2中的相关性有影响的因素,并不一定是因果关系。正如在上文分析宗教或社会资本对经济表现的影响时指出的一样,此类散点图、相关性或者多变量普通最小二乘法回归,并不能确立因果关系。即使谨慎的回归分析,遗漏变量的影响也将始终存在。
那么,如何才能克服在经济制度和经济表现之间建立因果关系的困难呢?这个问题的答案是,在合理地确定限制条件的基础上设定计量经济方法。这可以基于工具变量方法,通过估计结构化的计量经济学模型或使用更多的简化形式来完成。目前,我们对经济制度的演化及其对经济表现的影响仍然缺乏足够认识,因此难以设定并估计完全结构化的计量经济学模型。因此,作为第一步,我们可以观察更多的简化证据,它们或许仍然可以为制度和经济增长之间的因果关系提供很多信息。
这样做的方法之一是从历史中学习,特别是从作为自然实验的异常历史事件中学习,这些历史事件发生在经济增长的其他基本动因保持不变而制度由于潜在的外生原因发生变化的时候。现在我们讨论从以下两个自然实验中得到的教训。
图4.2 1995年纬度(与赤道之间的距离)和人均收入的关系
直到二战结束,朝鲜半岛一直处在日本的占领之下,战争结束后不久,朝鲜宣布独立。当时,美国主要担心的是整个朝鲜半岛要么被苏联接管,要么被前游击队领袖金日成控制下的共产主义军队占领。因此,美国当局扶持了有影响力的民族主义领袖李承晚,他赞成国家分裂,而不是一个统一的共产主义朝鲜。1948年5月在南朝鲜举行的选举,引起了反对分裂的朝鲜人民的广泛抵制。新当选的代表着手起草新宪法,并在三八线以南成立了大韩民国。朝鲜则成为金日成控制之下的民主主义人民共和国。
这两个独立的国家以完全不同的方式组织起来,采取了两套完全不同的经济、政治制度。北朝鲜跟随苏联共产主义与中国革命的模式,废除土地和资本的私人产权。经济决策不是由市场调节,而是由国家决定。相反,南朝鲜依然保持了私人产权和资本主义经济制度。
在这些制度变化之前,朝鲜和韩国有着相同的历史和文化根源。事实上,朝鲜半岛在种族、语言、文化、地理和经济方面表现出无与伦比的同质性。南北朝鲜之间几乎没有地理上的区别,而且有着相同的疾病环境。此外,在分裂之前,南北朝鲜的发展处于同一水平。如果说有区别,就是北朝鲜的工业化程度略高。麦迪森(2001)估计,在分裂之时朝鲜和韩国的人均收入大致相同。
因此,我们可以把60年前的朝鲜半岛分裂作为一个“自然实验”,用于识别制度对经济繁荣的因果影响。朝鲜被分裂为两个国家,用完全不同的方式管理,而地理、文化和经济繁荣的许多其他潜在决定因素均保持不变。因此,任何经济表现方面的差异几乎可以全部归因于制度的不同。
在分裂60年后,朝韩双方在经济发展方面经历了显著分化。20世纪60年代后期,韩国经济被创造成亚洲经济“奇迹”,经历了有史以来最迅速的经济增长。与此同时,朝鲜经济却停滞不前。到2000年,韩国人均收入水平为16 100美元,而朝鲜只有1 000美元。对于1950年后朝韩双方截然不同的经济经历,只存在一个合理的解释:不同的经济制度导致不同的经济表现。在这方面值得注意的是,朝韩双方不仅有着相同的地理,也有着同样的文化,所以,两国的地理或文化差异都不能对两国的经济路径差异产生多大影响。当然人们可以说,韩国是幸运的,而北朝鲜是不幸的(尽管这种差异不是由于任何一种多重均衡,而是由于实施不同制度引起的)。然而,运气的观点在这里不大可能讲得通,因为朝鲜经济机制的持续失调是显著的事实。尽管有令人信服的证据表明朝鲜体制产生了贫困和饥荒,朝鲜共产主义政党的领导人却选择以各种可得手段维持统治。
虽然这个自然实验很有说服力,但是其中的证据还不足以证明经济制度作为基本因素,在导致各国经济发展差异中的重要性。首先,这是单一案例,在自然科学的受控实验中,相对较大的样本是至关重要的。其次,我们这里举的是个极端例子,说明的是市场经济和极端共产主义经济之间的区别。今天的社会科学家极少有人会否认长期实行中央规划的极权统治会产生高昂的经济成本。但许多人可能会争辩说,在资本主义经济或民主国家之间,经济制度的差异并不是导致不同经济发展轨迹的主要因素。为了证明经济制度对国家贫富的主要决定作用,我们需要在制度差异中考察一个更大规模的“自然实验”。
欧洲人在世界范围内的殖民化提供了一个大规模的自然实验。从15世纪初期开始,特别是在1492年之后,欧洲人征服了许多国家。殖民化过程把制度带到了许多由欧洲人征服或控制的土地上。最重要的是,欧洲人将不同的制度强加给其全球化统治帝国的不同地区,极其显著的一个例子就是:在美国东北部发展起来的制度结构,建立在小农私有财产和民主的基础之上;相反,加勒比种植园的经济制度,则建立在压迫和奴役的基础之上。因此,在地理因素保持不变的情况下,欧洲人在不同社会推动了经济制度的重大变化。
有一个事实也许最显著反映了欧洲殖民主义对经济制度的影响:历史证据表明,原欧洲殖民地在经济繁荣方面经历了一次异乎寻常的命运逆转。许多社会,如印度的莫卧儿人、美洲的阿兹特克人和印加人,在公元1500年时处于世界最发达文明之列。现在位于它们疆界之内的民族国家,却成为世界上比较贫困的国家。相比之下,历史上文明欠发达的北美、新西兰、澳大利亚地区,现在却远比莫卧儿人、阿兹特克人和印加人生活的区域富裕。
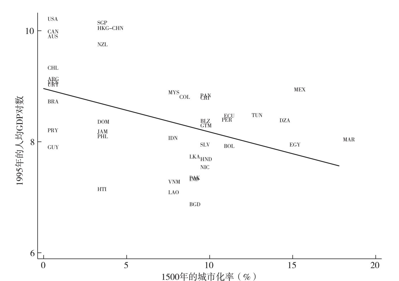
命运逆转并不局限于这些比较。为了更一般地证明这一逆转,我们需要一个500年前经济繁荣的代理变量。幸运的是,城市化率和人口密度可以充当这类代理变量。只有具备一定水平的农业生产率以及比较发达的运输和商业体系的社会,才可以支撑庞大的城市中心和密集人口。图4.3显示了1995年的人均收入和城市化水平(市中心居民人数5 000人以上的城市人口数占总人口数的比例)之间的关系。该图表明,即使在早已完成工业化的今天,城市化和经济繁荣之间依然存在显著的关系。
图4.3 城市化与收入,1995年
当然,高城市化率并不意味着大部分人生活富裕。事实上,在20世纪之前,市区往往是贫困和疾病的中心。然而,城市化率是衡量平均富裕程度的很好的代理变量,密切对应于我们今天用来测算经济富裕程度的人均GDP。另一个有助于测算前工业社会富裕程度的变量是人口密度,它与城市化率密切相关。
图4.4和图4.5显示了原欧洲殖民地样本中,1995年的人均收入和1500年的城市化率及人口密度(对数)之间的关系。我只关注1500年,是因为它在欧洲殖民运动之前,此时殖民运动尚未对这些国家中的任何一个产生影响。在这两个图中存在着清晰、强烈的负相关关系,表明自1500年至今,在经济繁荣方面发生了排序的逆转。事实上这些图显示,在1500年,温带地区总体上比热带地区落后,但在20世纪排序已发生变化。
图4.4 命运逆转:原欧洲殖民地各国(地区)1500年的城市化率与1995年的人均收入
这个逆转有一些不同寻常之处。大量证据说明,在农业开始广泛传播之后,各国(包括后来被欧洲殖民的国家)都经历了持续的城市化和人口集中。较早时期的城市化数据显示,在原欧洲殖民地或非殖民地,城市化率和繁荣都持续了500年或更长时间。虽然有帝国衰亡的典型例子,如古埃及、雅典、罗马、迦太基和威尼斯,但整体模式是持久的。逆转也不是1500年之后世界的基本模式。如果我们考察整个欧洲,或是包括原欧洲殖民地在内的整个世界,没有证据表明,1500年到1995年之间发生了类似的逆转。
图4.5 命运逆转:原欧洲殖民地各国(地区)1500年的人口密度与1995年的人均收入
因此,没有理由认为在图4.4和图4.5中的模式是某种自然的“回归均值”。相反,原欧洲殖民地的命运逆转反映了这些国家一些不寻常的因素,以及与这些国家实施的干预相关的因素。当然,主要的干预与制度变迁有关。欧洲人不仅在他们征服的几乎所有国家强加了一种不同的秩序,而且在不同殖民地强加的制度类型有很大差异。
这些原殖民地的制度差异很有可能是其经济命运逆转的根源。当我们观察逆转的时机和性质时,这个结论得到了进一步的支持。阿西莫格鲁、约翰逊和罗宾逊(2002)表明,逆转主要发生在19世纪,并与工业化紧密联系在一起。
这些模式和最简单的、常见地理假说版本明显不一致。在1500年,处于热带地区的国家相对比较繁荣,而现在恰恰相反。因此,基于热带固有的贫穷、气候、疾病环境或其他固有因素的相对繁荣理论并不可信。
然而,根据戴蒙德(1997)的观点,我们可以将阿西莫格鲁、约翰逊和罗宾逊(2002)提出的观点称为“复杂地理假说”,即地理因素确实很重要,但它会随着时间发生变化。例如,欧洲人创造了某些地理维度特有的技术,如笨重的金属犁只能在温带地区使用,不适合热带的土壤。因此,当1492年之后,欧洲征服了世界上大多数国家时,他们引进了在某些地方(美国、阿根廷、澳大利亚)能起作用但对其他地方(秘鲁、墨西哥、西非)没有作用的特定技术。然而,发生在18世纪晚期和19世纪的命运逆转和大多数合理的“复杂地理假说”并不一致。欧洲人确实带来了新的技术,但是命运逆转的时间表明,关键的技术是工业技术而不是农业技术,而且很难理解为什么工业技术在热带地区不起作用(事实上,它们在热带的新加坡和中国香港应用得非常成功)。
可以用类似的思考审视文化假说。虽然文化的变化很慢,但是因为初期的殖民地实验足够激进,因此在欧洲统治下很多国家在文化方面发生了重大变化。此外,土著人口的大量毁灭和来自欧洲的移民,很有可能创造出新的文化,或者至少在很多重要方面改变原有的文化。然而,文化假说并不能合理地解释命运逆转,也无法解释命运逆转的时间。此外,如下面讨论的,尽管经济计量模型表明制度会对收入产生影响,却未能说明宗教或文化对经济繁荣产生了重大影响。
运气的重要性也很有限。欧洲人实行不同的制度不是随机的,他们做出改变和在殖民地遇到的条件有很大关系。换言之,在原殖民地施加并发展的制度类型是我们需要研究的内生(均衡)结果。
命运逆转与经济制度对发展的主导作用一致吗?答案是肯定的。事实上,一旦我们认识到殖民化带来的经济制度变化,就可以看到命运逆转正是制度假说预测的结果。
阿西莫格鲁、约翰逊和罗宾逊(2002)的研究证据表明,在初始人口密度、城市化、良好经济制度的创造之间有着紧密的联系。特别是,在其他条件都相同的情况下,初始的人口密度越高或者初始城市化水平越高,后续的制度就越差。这些后续的制度包括独立之后的制度和当前的制度。图4.6和图4.7说明了这些关系,与图4.1一样使用保护公民免遭财产征收风险衡量当今的经济制度。它们证明了,高密度的人口和高度城市化的殖民地均以糟糕的制度结束,而低人口密度和非城市化地区随着欧洲移民的涌入,建立起保护社会各个阶层财产权利的制度。因此,欧洲的殖民主义带来了制度逆转,从某种意义上说,以前的富裕和密集居住区的地方结束于“坏的”制度。制度逆转并不意味着以前更密集居住区的制度就更好。它仅仅意味着一种趋势,相对贫困和定居人口密度较低的地区比以前人口密度高的富裕地区建立起了更有利于促进经济增长的制度。
图4.6 制度逆转:原欧洲殖民地1500年的城市化与当前的经济制度
如前面脚注讨论的,欧洲人可能并没有积极引入不利于这些地方经济进步的制度,只是继承了本土文明的制度。莫卧儿、阿兹特克、印加帝国的社会结构已经是等级森严、少数精英统治下的中央集权。这些帝国的统治,就是压榨大多数人的资源以满足少数精英的利益。欧洲人通常只是简单接管这些现存的制度。在任何情况下都很重要的一点是,在高密度居住区和相对发达的地区,欧洲人出于自身的利益,建立起有利于榨取当地资源的制度,而没有尊重大多数民众的财产权利。相反,在低人口密度的地区,符合他们利益的做法则是建立保护财产权利的制度。这些激励导致了制度逆转。
制度逆转与制度假说相结合,预示了命运的逆转:相对富裕的地区终结于相对糟糕的经济制度。如果这些经济制度很重要,我们就会看到这些国家随着时间的流逝而变得相对贫穷。
图4.7 制度逆转:原欧洲殖民地1500年的人口密度与当前的经济制度
另外,制度假说和命运逆转的发生时间是一致的。回想一下,制度假说把投资于物质资本、人力资本和技术的激励同经济制度联系在一起,并认为经济繁荣源于这些投资。因此,我们可以预期经济制度在决定经济表现方面能发挥更为重要的作用,从而创造出对新企业家和创造性破坏过程的需求。工业化是19世纪的重大投资机会。如第1章记录的,原欧洲殖民地国家和其他国家中的富裕国家都是那些在这一关键时期成功实现了工业化的国家。在18世纪末和19世纪发生逆转的时间,与制度假说是一致的。
在迄今为止的讨论中,对命运逆转的解释是,欧洲人在各殖民地建立的经济制度都被用来服务于自己的经济利益。此外,由于环境和禀赋在殖民地之间各有不同,欧洲人创造了不同的经济体制,并且这些制度在许多情况下,仍然存在并继续决定着经济表现。为什么欧洲人将更好的经济制度引进到之前贫穷和未开发的地区而不是富裕、高密度居住地区?本书提及这个研究领域中已有的一些文献,但未做详细介绍。
欧洲人更喜欢引入或维持那些有利于攫取殖民地资源的经济制度,并从中获益。这通常意味着,由一小部分欧洲人控制的区域,也就是提供资源以供攫取的区域。这些资源包括黄金和白银;有价值的农产品,比如糖;而最重要、可能最有价值的商品是劳动力。在拥有大量本地人口的地方,欧洲人可以通过不同的方式剥削劳动力,比如税收、进贡品,或强迫他们在矿山或种植园工作。这种类型的殖民统治,与对大多数人提供经济权利和公民权利的制度是不相容的。因此,对于越是发达的文明和越是密集的人口结构,欧洲人引进较差的经济制度将会更加有利可图。
相反,在没有什么东西可以榨取的地方,在人烟稀少、欧洲人自己成为最主要人口的地方,为了他们自己的利益,则引入了保护自身财产权利的经济制度。
到目前为止强调的殖民地初始条件,即本地人口密度和城市化,并不是影响欧洲人殖民政策的唯一因素。此外,疾病环境在各个殖民地之间相差巨大,这会显著影响欧洲人的定居意愿。如上所述,欧洲人定居之后会建立起他们自己赖以生活的各种制度,因而欧洲人是否定居,对后来制度变迁的路径有重要影响。换言之,200年或更多年前的疾病环境,特别是疟疾和黄热病的流行(对欧洲死亡率造成关键影响),可能影响了原欧洲殖民地制度变迁和经济发展的道路。另外,如果殖民地时期的疾病环境对今天经济表现的影响,只是通过影响制度来实现,那么这种历史上的疾病环境可被视为当代制度差异的外生来源。从计量经济学的角度看,在估计经济制度对经济繁荣的因果关系时,疾病环境可以充当有效的工具变量。虽然,欧洲潜在殖民者的死亡率可能与土著死亡率有关(这可能影响了今天的收入水平),但实际上,当地居民已经对疟疾和黄热病有更强的免疫力。阿西莫格鲁、约翰逊和罗宾逊(2001)提出了各种各样的证据表明,欧洲殖民者的死亡率主要是通过制度产生影响的。
具体地,阿西莫格鲁、约翰逊和罗宾逊的观点可以概括如下:
(潜在)殖民者的死亡率⇒殖民定居⇒早期制度⇒当前制度⇒当前经济表现
也就是说,欧洲殖民策略受到了定居可行性的影响。欧洲人在那些他们自己愿意定居并成为主体民族的地方,更可能建立起为绝大多数人提供产权保护和基本政治权利的制度;在面临很高死亡率的地方,他们不可能定居。因为殖民地政权和制度有某种程度的持续性,所以疾病环境对欧洲人更有利的原殖民地在今天也更有可能拥有更好的制度。
基于这一推理,阿西莫格鲁、约翰逊和罗宾逊(2001)在原欧洲殖民地样本中,采用第一批欧洲殖民定居者的预期死亡率作为当期制度的工具变量。他们对工具变量的估计表明,制度对经济增长和人均收入有着重大而且强烈的影响。图4.8和图4.9概述了相关论据。图4.8显示了人均收入和经济制度衡量指标(如图4.1所示,即免遭财产征收的保护)之间的横截面关系。该图表明,在历史上欧洲人面对的死亡率风险与当前执行产权的力度之间存在很强的关联。双变量回归得到的 R 2 为0.26。同时,从图中也可以看出,各殖民地的欧洲人死亡率相差很大。澳大利亚、新西兰和美国之类的国家健康程度非常高,现有证据显示澳大利亚和新西兰的居民预期寿命事实上已经超过英国。相反,欧洲人在非洲以及中美洲和东南亚的某些地区,则面临着极高的死亡率。死亡率差异很大程度上归因于疟疾和黄热病之类的热带疾病,在当时,人们还不知道这些疾病如何产生、预防和治疗。
图4.8和图4.9说明,如果“排他约束”是有效的,即潜在欧洲殖民者的死亡率只通过制度渠道对当期经济表现产生影响,则经济制度对经济表现有重要作用。阿西莫格鲁、约翰逊和罗宾逊(2001)详细论证了这种效应,他们也提出了一系列可靠的检验以支持这一结果。他们的估计结果显示,今天富国和穷国之间的差距绝大部分源自经济制度的差异。例如,证据表明,在相对富裕和相对贫穷的国家之间超过75%的收入差距可以用经济制度的不同来解释(以产权保障作为代理变量)。同样重要的是,证据表明如果运用这种方法估计制度的作用,则地理因素变量,如纬度、是否内陆国以及流行的疾病环境,对今天的经济表现几乎没有影响。这一证据再次表明国家之间的制度差异是经济发展的主要决定因素,而地域差异则次要得多。
图4.8 潜在欧洲殖民者的死亡率与当前经济制度的关系
图4.9 欧洲殖民者的潜在死亡率与1995年人均收入的关系
这些结论还为如下问题提供了一个解释,即为什么图4.2显示在纬度和人均收入之间存在明显的相关性。纬度和欧洲殖民策略的决定因素之间的关联可以解释这一相关性。在殖民地时期,欧洲人对热带疾病没有抵抗力,因而在其他条件相同的情况下,定居点倾向于建在温带地区。因此,历史上经济制度的创立和纬度相关。如果不考虑经济制度的作用,人们就可能错误地认为纬度和人均收入之间存在相关关系。然而一旦考虑到经济制度的影响,这一关系即消失,地理因素对今天的经济繁荣似乎没有因果作用。
有人可能会认为,文化在殖民地发展过程中发挥了重要作用,因为欧洲人不仅带来了新的制度,而且带来他们自己的文化。欧洲文化通过三种不同渠道对原欧洲殖民地的经济发展产生影响。首先,如前所述,原欧洲殖民地的文化很可能受欧洲殖民列强的身份影响。例如,相对于拉丁美洲的伊比利亚文化传承,英国人可能在澳大利亚和美国等殖民地植入了一种“优越”于拉丁美洲伊比利亚文化传承的盎格鲁-撒克逊文化。其次,欧洲殖民者可能带来了一种文化、职业道德或一套信念,这有利于殖民地的繁荣。最后,欧洲人带来了不同的宗教,也会对经济繁荣产生潜在的不同影响。
然而,阿西莫格鲁、约翰逊和罗宾逊(2001)的计量经济学证据和这些观点并不一致。与地理因素变量相类似,前面论及的计量方法表明,一旦考虑到经济制度的作用,殖民列强的身份、欧洲后裔在人口中的比例,以及信仰各种宗教的人口比例均未表现出对经济增长和人均收入有直接影响。
历史上的例子支持了这些计量结果。虽然在西班牙殖民地中没有哪个国家像美国一样取得经济成功,即便是许多原英国殖民地,如在非洲的英国殖民地、印度和孟加拉,至今依然贫穷。有一点可以明确的是,英国人在其殖民地也绝不是简单复制英国制度。例如,1619年北美的弗吉尼亚殖民地召开具有男性普选权的代表议会,这在英国本土直到1919年才得以确立。另一个生动的例子是加勒比地区的普罗维登斯岛。虽然美国东北部民主和机会均等的产生往往被归因于清教徒的价值观念,但普罗维登斯岛的清教徒殖民地尽管继承了这种观念,却迅速建立了与加勒比其他殖民地一样的奴隶制度。
类似地,尽管17世纪的荷兰有着几乎当时世界上最好的经济制度,它们最终在东南亚的殖民地却建立了掠夺资源、不给当地居民提供经济和公民权利的制度。相对其他国家而言,这些殖民地因此经历了缓慢的增长。
总之,这些证据并不能支持如下观点:地理、宗教以及殖民者身份或欧洲人占领带来的文化,在决定不同国家之间人均收入差异中发挥重要作用。相反,经济制度的差异似乎是决定不同国家之间人均收入差异的可靠原因。因此,制度似乎是影响收入差异和长期经济增长的最重要的基本因素。
如前指出,在本章和其他很多文献中使用的制度概念相当广泛。它包括不同类型的社会安排、法律、法规、产权执行等等。有人可能会立刻抱怨,我们如此强调这个广泛的制度群的重要性,对它们的了解却太少。因此我们需要努力弄清楚,对于我们的目的而言,什么类型的制度是最重要的。这样的研究不仅对基本原因的实证分析有帮助,而且有助于我们更清楚地认识到:构建什么类型的模型,以便将基本原因、增长机制和最终的经济表现联系起来。
相对而言,只有极少的文献将内容广泛的制度群进行分类,以帮助我们理解哪些具体类型的制度对经济表现是重要的。此类工作远未完成,在这里简单提及最近的一些研究对我们是有益的,这些研究试图区别合同制度(contracting institutions)的作用与产权制度的影响。制度的一个重要作用是,便利借方与贷方之间或者不同企业之间签订合同。只有法律、法庭、法规以适当方式支持合同时,这种合同才有可能达成。我们将这种支持私人合同的制度安排称为“合同制度”。上面强调的另一类制度是关于限制政府和精英剥夺的制度,我们称之为“产权制度”(因为这些制度潜在地保护社会各阶层的产权)。尽管在许多情形中,合同制度和产权制度紧密相关,但它们在概念上是不同的。合同制度规范的是普通公民之间横向层面的关系,而产权制度则规范社会纵向层面之间的关系,防范精英、政客、特权阶层利用其权力侵害公民。这两类制度有潜在的区别,因此也有不同的作用。
阿西莫格鲁和约翰逊(2005)研究了这两类制度的相对作用。他们的方法是再次利用殖民地历史上的自然实验。在原欧洲殖民地样本中,殖民列强强制推行的司法体制对合同制度有很强的影响,但是对产权制度几乎没有影响,这一点有助于分离不同制度的作用。同时,潜在欧洲殖民者的死亡率和公元1500年的人口密度对当代产权制度均有显著影响,但对合同制度没有影响。采用原欧洲殖民地样本差异的这些不同来源,有可能分别估计出合同制度和产权制度的作用。
上述对殖民历史差异的不同来源进行估计的经验证据表明,相比合同制度而言,产权制度对当代经济表现的作用更为重要。对政客和精英施加更大约束、更好地保护公民免遭强势群体剥夺的国家,有显著更高的长期经济增长率和当前收入水平,也有显著更高的投资水平,并给予私人部门更多的信贷支持。相反,合同制度的影响是很有限的。一旦控制了产权制度的作用,合同制度似乎对人均收入、投资占GDP的比例、私人信贷占GDP的比例不产生影响。不过,合同制度似乎对股票市场的发展有一些作用。
这些结论说明,合同制度影响金融中介的形式,但对经济增长和投资的影响甚微。经济似乎可以在薄弱的合同制度之下运行,而不会造成灾难性的后果。但如果面临遭受政府或强势群体剥夺的重大风险,则不可能正常运行。对此的一个可能解释是,私人合同或其他基于声誉的机制,至少能够部分缓解薄弱的合同制度带来的问题。举例来说,如果债权人难以回收贷款,那么利率就会上升,有效实施监督功能的银行将会发挥更重要的作用,或者可能出现基于私人声誉的借贷关系。相反,产权制度关系到政府和公民之间的关系。如果不存在对政府、政客和精英的制约,私人部门就缺乏投资必需的产权保护。
但是,在解释阿西莫格鲁和约翰逊(2005)的证据时,读者需要牢记的是,人均收入和投资率的变动原因与第1章中讨论的巨大差异有关,而这些变动原因则显示了合同制度和产权制度的不同作用。当国家之间存在30倍的人均收入差异时,合同制度有可能产生一定的影响但难以检测。因此,该证据应该理解为:与产权制度相比,在产生经济发展的巨大差异方面,合同制度是次要的,但这并不一定意味着它对经济表现没有影响。
第4.4节呈现的证据否定了地理因素在经济发展中的主导作用。然而,有一个版本的地理因素假说需要做进一步的分析。各种证据指出,不健康的个人生产率低下且常常不能成功获得人力资本。国别间的疾病环境差异能否对经济发展产生重要影响?在解释各国之间巨大收入差异的时候,疾病负担是主要原因吗?例如,戴维·威尔(David Weil,2007)的一篇论文认为,在前面章节中运用的包括物质资本、人力资本和技术的框架应得到扩充,将健康资本考虑进来。换句话说,总量生产函数可以采取 F ( K , H , Q , A )的形式,其中 H 表示有效劳动力(作为人力资本的常规测度), Q 代表健康资本。威尔提出了一个用微观计量测算健康资本对生产率贡献的方法,并认为健康资本是解释国别间收入差异的重要原因。
将欠发达国家的低生产率部分归因于劳动力非健康状态的观点,显然是有一定说服力的。现有计量经济学证据表明,该观点得到了一些经验研究的证实。这是否意味着地理因素是经济增长的基本要因?并非一定如此。正如已经提到的,疾病负担是内生的。当今健康状况较差的国家之所以这样,恰恰是因为国弱民穷,无力投资于医疗保健、清洁用水和其他提高健康水平的技术。毕竟,仅仅200年前,欧洲许多地方的居民也是不够健康的,预期寿命很短。随着经济增长,一切才得以改变。从这个意义上说,即使健康资本是一个有用的概念,而且确实有助于解释各国之间的收入差异,它本身可能也是受其他因素影响的直接原因。
阿西莫格鲁和约翰逊(2007)的一篇论文直接讨论了疾病负担的改变对经济发展的影响。他们利用了自20世纪40年代开始的预期寿命大幅提高的事实(尤其是在相对贫穷的国家)。健康的这些改善直接来源于有力的国际健康干预、更有效的公共健康对策以及新的化学品和药品的问世。就理解疾病对经济增长的作用而言,更为重要的是,这些健康改善措施大体上外生于单个国家。此外,这些措施对具体国家的作用各有不同,取决于该国是否遭受某种疾病,而此病的治疗方法和药物是否可以从国际上获得。这些提高健康水准的措施作用巨大,鉴于它们导致了一大批国家人均寿命空前提高,堪称“国际流行病学的转型”。图4.10显示了预期寿命史无前例的收敛,图中分别画出了最初的(1940年左右)贫穷国家、中等收入国家和富裕国家的预期寿命。该图表明,在20世纪30年代,许多贫穷和中等收入国家的预期寿命较低,“转型”使它们的预期寿命提高到接近发达国家的平均水平。作为这些发展的结果,在当今世界许多欠发达地方的健康状况,虽然仍急需改善,但是已经明显优于西方国家处在相同发展阶段时候的健康状况。
图4.10 初始贫穷国家、中等收入国家和富裕国家的预期寿命演化,1940—2000年
国际流行病学的转型,使实证研究有望分离出健康条件潜在的外生变化。转型对一国预期寿命的作用,与以下因素相关:该国人口最初在1940年左右受各种具体疾病如肺结核、疟疾、肺炎影响的程度,以及各种健康干预措施的发生时点。这一推理提出,利用死亡率的预测值可以测算一国卫生条件的潜在外生变化,而死亡率的预测值由主要的跨国疾病大流行与全球干预日期的交互项决定。阿西莫格鲁和约翰逊(2007)证明,死亡率的预测值对始于1940年的预期寿命变化有稳健的重大影响,但对此前(也就是,在重要干预之前)预期寿命的变化没有影响。这个结论认为,1940年之后很多国家经历的预期寿命大幅增加,事实上与全球健康干预措施有关。
这并不奇怪,阿西莫格鲁和约翰逊(2007)发现,死亡率预测值和它引起的预期寿命变化,对人口数量有相当重大的影响:预期寿命增加1%,带来大约1.3%~1.8%的人口增长。但有些令人吃惊的是,他们没有发现对人均GDP有积极影响的证据。图4.11概述了这一证据,它表明在最初的贫穷国家、中等收入国家和富裕国家之间,人均收入没有收敛的趋势。
图4.11 初始贫穷国家、中等收入国家和富裕国家的人均GDP演化:1940—2000年
为什么预期寿命和健康的显著提高没有引起人均GDP的增加?对这个问题最自然的回答来自新古典增长理论(本书前两章和第8章)。预期寿命增加的重要影响是人口的增加,这减少了人均资本和人均占地,进而降低了人均收入。随着更多人口进入劳动力队伍,更高的产出补偿了人均收入的初始下跌。然而,人均收入显著大幅提高是不可能的,特别是在许多严重依赖农业,并因人口增长而遭遇土地劳动比下降的国家,更是如此。因而,在过去50多年中,健康对生产率的正效应较小,可能并不足以抵消或逆转人口增长对人均收入的负效应。
本章呈现的证据表明,制度是经济增长主要的甚至是最显著的根本原因。因此,要理解为什么有些国家贫穷而有些国家富裕,我们必须思考各国的制度和政策为何迥然不同。我在后记中也提到,理解了制度变迁,就为探讨“世界经济的增长过程为何开始于大约200年前”提供了线索。
然而,用制度差异解释各国之间、各个时期之间的收入差异也是不全面的。正如本章论证的那样,如果某些制度利于经济快速增长,而某些制度致使经济停滞不前,为什么有的国家会集体选择那些导致发展陷入停滞的制度?对这个问题的回答涉及社会集体选择的本质。制度和政策的设立,跟其他集体选择一样,并非出于社会整体的利益,而是政治均衡的结果。为理解这种政治均衡,我们需要理解社会中不同个体和群体之间的利益冲突,并分析这些冲突如何用不同的政治制度加以协调。因此,正确理解制度如何作用于经济表现,以及各国之间的制度为何差异巨大(以及为何制度发生变化,进而为增长奇迹铺平道路),需要构建政治经济学模型,明确研究怎样把不同个体之间相互冲突的各种利益加总到集体选择之中。政治经济学模型同时详细说明了,为什么特定的个体或群体可能反对经济增长,而偏好于规避增长机会的制度。
因而,本章的讨论说明,将政治经济学的研究包含进来,以作为详细探讨经济增长的一部分,是合理的。经济增长的很多研究,必须关注模型的结构,以便帮助我们理解经济增长和收入差异各个直接原因之间的影响机制。但是,这一内容宽泛的研究,还必须直面经济增长的根本原因,这些原因关系到政策、制度,同时也须关注导致不同的投资、积累和创新决策的其他因素。
本章强调了经济增长的直接原因和根本原因之间的区别。前者涉及物质资本积累、人力资本和技术,而根本原因则影响投资于这些生产要素的激励。我一直认为,激励我们研究经济增长的许多问题必然引导我们探究根本原因。但是,理解根本原因最为有用的,就是我们能将根本原因与完善的经济增长模型相联系,用于观察这些原因如何影响经济增长机制,从中能得出什么类型的预测。
本章呈现的证据看起来支持制度假说,不过,对于这一假说还需要细致的理论研究。只有当一个社会中的某些团体支持那些不一定能提高经济增长潜力的制度时,这种制度观点才有意义。这些团体之所以这样做,是因为他们没有直接或间接地从经济增长的过程中受益。因此,更好地理解经济增长对收入分配的影响至关重要(例如,经济增长如何影响相对价格和相对收入,如何破坏在位者的“租金”)。然而,从理论上阐释增长过程的影响,需要结合集体决策的政治经济学模型,这些模型用于研究在什么条件下,反对经济增长的群体强大到足以维护对经济增长不利的制度。
在本章中,我的目标较为有限(因为本书后面将展开许多更为有趣的经济增长模型),我关注的是大致勾勒出经济增长的许多不同的根本原因,并初步考察与这些假设相关的长期经验证据。我认为,强调社会之间制度差异(以及政策、法律和监管差异)的方法,最有希望帮助我们正确理解各国当今的经济增长历程和历史进程。我还强调了对制度开展政治经济学研究的重要性,这样的研究是理解社会之间为何存在制度差异进而导致不同经济发展路径的一种方法。
本章最初部分基于阿西莫格鲁、约翰逊和罗宾逊(2005a)的研究。他们区别了经济增长的直接原因和根本原因,讨论了研究根本原因的各种方法。诺思和托马斯(1973)似乎最早含蓄地批评了增长理论只关注经济增长的直接原因而忽略了基本原因。戴蒙德(1997)也对直接原因和基本原因的解释做了区分。
第4.2节中提出的模型来自西蒙(Simon,1977)和迈克尔·克雷默(Kremer,1993)更近一些的研究。克雷默(1993)根据世界人口增长率加速,主张规模经济和人口回报率递增的重要性。关于人口与技术变化的另一个重要观点是由爱思特·博斯拉普(Ester Boserup,1965)提出的,该观点是基于这样一种想法,即人口增加创造出稀缺性,促使社会提高生产率。建立人口的规模经济以及讨论世界经济从很小或没有增长转型到快速增长的模型,参见盖勒和韦尔等人(Galorand Weil,2000;Galor and Moav,2002;Hanson and Prescott,2002)。其中一些研究试图调和人口在技术进步中发挥的作用与后来的人口转型之间的矛盾。盖勒(2005)出色地综述了这类文献及延伸讨论。麦克尤维迪和琼斯(McEvedy andJones,1978)提供了追溯到公元前10000年的世界人口简史和相对可靠的信息。他们的数据表明,如文中所述,在这一时期,亚洲的总人口一直大于西欧的总人口。
地理假说有许多支持者。除孟德斯鸠之外,马基雅维利也是气候和地理特征重要性的一位早期支持者。在最清晰地阐述各种地理假说的经济学家中,有马歇尔(1890)和缪尔达尔(1968)。近来,杰弗里·萨克斯等人(Sachs,2001;Bloom and Sachs,1998)也推崇地理假说。戴蒙德(Diamond,1997)提供了一个更为复杂的地理假说:与大陆内的交通网络一样,各种农作物和动物的可获得性,影响了固定农业的作业时间并进而影响发展成复杂社会的可能性。可以说,戴蒙德的论文基于地理差异,也有赖于作为干预变量的制度因素。
很多学者强调各种类型的制度在经济发展中的重要性,包括约翰·洛克、亚当·斯密、约翰·斯图亚特·穆勒、阿瑟·刘易斯、道格拉斯·诺思和罗伯特·托马斯。最近的经济学文献中则包括了许多强调产权重要性的模型(例如,Skaperdas,1992;Tornell and Velasco,1992;Acemoglu,1995;Hirshleifer,2001;Grossman and Kim,1995;Dixit,2004)。其他模型强调在给定制度框架下政策的重要性,这种方法的著名例子包括圣保罗和维迪尔(1993)、阿莱西纳和罗德里克(Alesina and Rodrik,1994)、佩尔松和塔贝里尼(Persson and Tabellini,1994)、克鲁塞尔和里奥斯-鲁尔(Krusell and Ríos-Rull,1999),布吉尼翁和文迪尔(Bourguignon and Vendier,2000)。关于内生制度及其对经济表现影响的文献就少得多,有关综述可参见阿西莫格鲁(2007b)以及阿西莫格鲁和罗宾逊(2006A)。阿西莫格鲁、约翰逊和罗宾逊(2005)详细综述和讨论了经济制度影响经济增长的文献,也为有关主题的实证分析提供了一个概览。在第八篇中,我将回过头来讨论其中的许多问题。
马克斯·韦伯的著作(1930,1958)有力地论证了宗教对经济发展的重要性。从那时起,许多学者纷纷拾起这个思想,就宗教的重要性展开争论。突出的例子包括哈里森和亨廷顿(2000)、兰德斯(1998)的各种论文。例如,兰德斯试图基于文化和宗教变量解释西方的兴起,但是其论据受到阿西莫格鲁、约翰逊和罗宾逊(2005a)的批评。巴罗和麦克利里(Barro and McCleary,2003)提出的证据认为,宗教信仰的普及和经济增长之间呈正相关。因为宗教信仰对经济表现和收入差异的其他根本原因都是内生的,人们在证明宗教对经济增长的因果关系之时,必须谨慎解释这一论据。
对文化因素或社会资本重要性的强调可以追溯到班菲尔德(1958),近年来被帕特南(1993)普及。这些解释的本质似乎与文化或社会资本在确保选择更好的均衡点中的作用相关。格雷夫(Grief,1994)也提出类似思想。包括诺思等人(Véliz,1994;North、Summerhill and Weingast,2000;Wiarda,2001)在内的许多学者,在解释拉丁美洲国家的经济衰退时,强调了文化因素的重要性。纳克和基弗等人(Knack and Keefer,1997;Durlauf and Fafchamps,2005)论证了社会资本指标和各种经济结果之间的正相关关系。因为社会资本和文化的潜在内生性,这些研究都没有证实社会资本与经济结果之间的因果关系。最近的很多论文,例如圭索、萨皮恩扎和津加莱斯(Guiso、Sapienza and Zingales,2004)以及塔贝里尼(2007)试图克服这些困难。对普罗维登斯岛清教徒殖民地的讨论则基于库珀曼(Kupperman,1993)。
大量文献探讨了经济制度和经济政策对经济增长的作用。大多数增长回归模型包括了制度和政策的控制变量,并发现它们是显著的(例如,Barro andSala-i-Martin,2004)。纳克和基弗(1995)的文章最早考查了产权指标和经济增长之间的跨国相关性。因为较多的联立性和内生性问题,这些文献都没有证实制度对经济表现的因果关系。莫罗(1995)、霍尔和琼斯(1999)首先用工具变量估计了制度(或腐败)对长期经济发展的影响。
本书提到的证据,即利用殖民经历的差异创建一个工具变量的方法,基于阿西莫格鲁、约翰逊和罗宾逊(2001,2002)。这里用到的城市化和人口密度的数据来自阿西莫格鲁、约翰逊和罗宾逊(2002),他们汇编这些数据的资料来源有:麦克尤维迪和琼斯(1978)、钱德勒(1987)、贝罗奇等人(Bairoch、Batou and Chèvre,1988)以及埃吉曼(Eggimann,1999)。进一步的细节与计量结果由阿西莫格鲁、约翰逊和罗宾逊(2002)给出。潜在殖民者的死亡率数据来自阿西莫格鲁、约翰逊和罗宾逊(2001),其中的数据汇编基于古特雷斯(Guiterrez,1986)和柯廷(Curtin,1989,1998)的研究。论文还提供了大量的稳健性检验,论证了经济制度对经济增长的影响,并证明,一旦控制了制度的作用,包括宗教和地理在内的其他因素几乎对长期经济发展不产生影响。
关于领导者对经济增长作用的讨论来自琼斯和奥尔肯(Jones and Olken,2005)。韩国经济增长实验的具体细节和历史参考资料来自阿西莫格鲁(2003C)以及阿西莫格鲁、约翰逊和罗宾逊(2005a)。关于区分不同类型制度对经济增长影响的讨论来自阿西莫格鲁和约翰逊(2005)。
疾病影响发展的探讨基于威尔(2007),尤其是基于阿西莫格鲁和约翰逊(2007),他们在论文中应用了本章提到的经济计量方法。图4.10和图4.11来自阿西莫格鲁和约翰逊(2007)。在这些图中,初始贫穷国家指的是那些比1940年的西班牙还穷的国家,包括孟加拉国、巴西、中国、厄瓜多尔、萨尔瓦多、洪都拉斯、印度、印度尼西亚、韩国、马来西亚、缅甸、尼加拉瓜、巴基斯坦、菲律宾、斯里兰卡和泰国。初始富裕的国家是指那些比1940年的阿根廷还富裕的国家,包括比利时、荷兰、瑞典、丹麦、加拿大、德国、澳大利亚、新西兰、瑞士、英国和美国。扬格(Young,2005)研究了南非艾滋病疫情的影响,得出的结论类似于这里给出的结果,但他的分析依赖于校准的索洛增长模型,而不是计量经济学估计。
4.1 推导(4.3)式和(4.4)式。
4.2 推导(4.5)式。解释这个等式隐含的技术变化与(4.4)式如何不同,以及为什么不同。你是否能找到引致(4.4)式或者(4.5)式的更加合理的假设?
4.3 (a)证明:同时导出(4.4)式和(4.5)式的模型意味着长期内人均收入是固定不变的。
(b)对 β ∈(0,1),把(4.2)式修改成
说明上式的合理性,并在第4.2节考虑的两种情形下推导技术和人均收入的运动方程。这个模型的含义是否比本章中其他模型的含义更合理?