



本章将探讨如何应用索洛模型或其简单的扩展模型解释跨期经济增长和跨国产出差异。重点是探讨经济增长的直接原因,即基本索洛模型中强调的投资或资本积累,同时还包括技术和人力资本差异。这些直接原因背后的因素是第4章的研究主题。
用索洛模型分析数据的方法有多种。我将从增长核算框架开始讨论,该框架通常用来分解跨期增长的源泉。在简要论述增长核算理论及其某些应用之后,我将分析索洛模型在跨国产出和增长差异中的应用。以此为背景,我还介绍了包含人力资本的扩展的索洛模型,同时说明这个框架可以引导出多种不同的基于回归的分析方法。最后我将讨论如何把增长核算框架修改为一个发展核算框架,以便在索洛模型和数据之间搭建起另外一座桥梁。在这类方法中,有一个不变的主题,即跨期和跨国的生产率差距。本章的最后部分简要探讨了其他几种估计跨国生产率差距的方法。
像第2章探讨的一样,索洛模型的中心是总生产函数(2.1)式,下面我把该函数的一般形式重写如下:
罗伯特·索洛对经济增长研究的另一个主要贡献是,将该生产函数和竞争要素市场结合在一起,为我们提供了一个用以计算经济增长来源的框架。特别是索洛(1957)建立了增长核算框架,它后来成为宏观经济学中最常用的工具之一。
对我们的研究目标而言,应用这一框架的最简单形式就足够了。考虑一个连续时间的经济体,并假设生产函数(3.1)式满足第2章的假设1和假设2。将该函数对时间求微分,并用 F A 、 F K 和 F L 分别代表 F 对其变量的偏导数,可得:
接着,分别用
和代表产出、资本存量和劳动的增长率,并令
为技术对经济增长的贡献。将 ε k ≡ F K K / Y 和 ε l ≡ F L L / Y 分别定义为产出对资本和劳动的弹性[同见(3.9)式],(3.2)式意味着
这仅仅是一个恒等式。然而,在竞争要素市场的情况下,该等式可用于估计技术进步和经济增长的作用。特别是,当我们将竞争市场中的要素价格用 w = F L 和 R = F K (见前一章方程(2.6)式和(2.7)式)表示时,弹性 ε k 和 ε l 对应着要素份额 α K ≡ RK / Y 和 α L ≡ wL / Y 。将这些全部代入,可得
(3.3)式是基本的增长核算方程,它可以使用要素份额、产出增长、劳动力增长和资本存量增长的相关数据估计技术进步对经济增长的贡献。技术进步的贡献 x ,通常被称为“全要素生产率”(TFP),有时也被称为“多种要素生产率”。
特别是,我们用符号“^”表示估计量,因此,全要素生产率在 t 期的增长估计值可以表示为
此处只有 x 上面出现了这个帽子符号,但是你可能还想考虑一种情况:等式右边各项都是通过一系列对国民账户和其他数据来源的假设而获得的估计值。
在连续时间的情况下,(3.4)式是准确的,因为它被定义为瞬时变化(导数)。在实践中,我们观察到的是离散时间中的变化,例如,以年度为单位(有时候或者用更合适的季度或月度数据)。在离散时间段里,运用(3.4)式有一个潜在的问题,在考察的时间范围内,要素的产出份额可能会发生变化,此时我们是用初期的还是终期的
α
K
和
α
L
值?不论是用初期的还是终期的数值,都有可能导致全要素生产率对产出增长的贡献
出现估值偏差。当两个时期间隔比较长的时候,这种偏差特别容易出现(见习题3.1)。避免此类偏差的最佳办法是尽可能使用频率最高的数据。
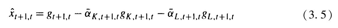
现在将可获得的数据视为给定的,让我们看看如何在离散时间的情况下应用增长核算框架进行数据分析。处理以上问题最常用的方法是取初期和中期要素份额的平均数。因此,在离散时间的情况下,对于从 t 期到 t +1期的变化,(3.4)式可类似地表示为
其中, g t,t+1 是 t 期到 t +1期的产出增长率,其他增长率也可类似地进行定义,同时
为 t 期到 t +1期的平均要素份额。当 t 期到 t +1期的间隔较小并且资本劳动比在此期间没有太大变化时,(3.5)式是(3.4)式的一个很好的近似表达。
索洛(1957)不仅构建了增长核算框架,还将之用于美国数据,以初步分析美国20世纪初期经济增长的源泉。他提出的问题是:美国经济的增长有多少可以归因于劳动力和资本投入的增长,多少可以归因于残差,即技术进步?索洛的结论是令人震惊的:大部分增长都应归功于技术进步。这是一个里程碑式的发现,它强调了技术进步作为经济增长引擎的重要性不仅仅是理论上的,更具有实践意义。这一发现使经济学家开始集中关注跨期、跨国、跨产业以及跨企业技术差异的原因。
然而在早期,人们认为这种估算技术进步对经济增长所做贡献的方式存在一些缺陷。莫西斯·阿布拉莫维奇(Moses Abramovitz,1957)曾为
起过一个著名的称号“对我们忽略因素的度量”——毕竟它就是我们未曾解释的残差,并决定称之为“技术”的东西。在极端形式中,这种批评是不公正的,因为根据(3.4)式,
确实对应着技术,因此,增长核算框架是使用理论进行测算的一个例子。然而,从另一层面看,这种评价也有些道理。当我们低估了劳动和资本投入的增长率
g
L
和
g
K
时,我们将会高估
。实际上,我们有充分的理由怀疑索洛的估计值和后来出现的质量更高的估计值可能错误地测算了要素投入的增长率。导致这种误差产生的最显而易见的原因是,起重要作用的不是劳动时间,而是有效劳动时间,因此有必要(虽然比较困难)根据工人人力资本的变化进行调整。我将在第3.3节讨论有关人力资本的问题,在第10章还会进行更详细的探讨。类似地,测算资本要素投入量也不是那么简单。在理论模型中,资本指的是那些为了生产更多产品而作为投入品使用的最终产品。然而在实际中,资本主要由设备(机器)和建筑(房屋)构成。要测算用于生产的资本数量,我们必须假设各种类型的设备在不同时期相对价格的变化。常用的方法是使用资本支出进行测算,该方法早就被应用于国民账户以及增长核算框架。然而,如果相同的机器今天比过去更便宜(比如电脑就是如此),那么这种方法将会低估
g
K
(回顾第2章的习题2.27)。因此,当运用(3.4)式的时候,对
g
L
和
g
K
的低估就会自然而然地高估技术对经济增长的重要性。最后,产品相对价格和质量的变化也可能导致对产出增长率
g
的错误测算。如果
g
被低估,那么对
的低估将得到缓解。
怎样对劳动力和资本投入的质量进行调整以对技术做出最好的估计,关于这一问题仍然存在着激烈争论。例如,乔根森等人(参见Jorgensen、Gollop and Fraumeni,1987;Jorgensen,2005)的研究表明,如果对劳动力和资本的质量变化进行调整,估计的技术残差会显著下降(也许会近似于零)。当我们试图分解跨国产出差异的原因时,这些也成为相关问题。在此之前,让我们先用回归分析将索洛模型运用于数据分析。
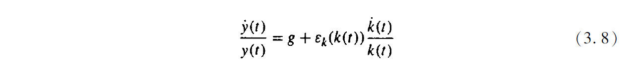
另一种将索洛模型应用于数据分析的方法是使用增长回归法,这种回归模型将国家增长率作为因变量进行估计。继巴罗(Barro,1991)的研究之后,这些增长回归得到广泛应用。为了说明这些回归是如何被推导出来的,以及有哪些缺点,让我们回到基本的索洛模型,即在连续时间的情况下不存在人口增长,同时技术是劳动扩张型的。回忆一下,在该模型中,可以用下述等式来刻画均衡:
且
其中 A ( t )是劳动扩张型(哈罗德中性)技术, k ( t )≡ K ( t )/( A ( t ) L ( t ))是有效资本劳动比, f (·)是人均产出函数。(3.7)式重复了第2章的(2.51)式。将(3.6)式对时间求导,两边同除以 y ( t )可得
其中,
是函数 f (·)的弹性。从假设1可知该值介于0到1之间。例如,使用第2章例2.1中的柯布-道格拉斯技术,有 ε k ( k ( t )) =α [例如,它是一个独立于 k ( t )的常数,见例3.1]然而,通常来说,这一弹性是 k ( t )的函数。
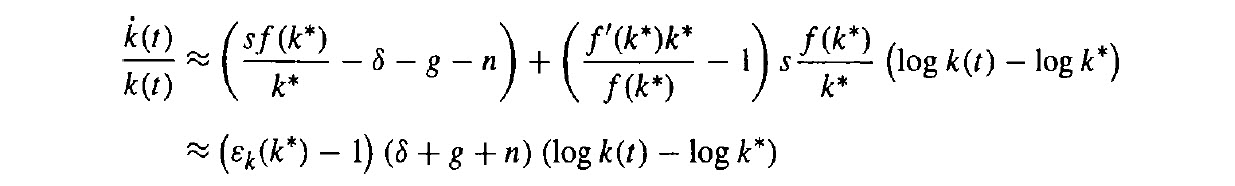
现在让我们考虑(3.7)式关于log k ( t )在稳态值 k * 附近的一阶泰勒展开式(使用附录A中的定理A.22和∂ y /∂log x ≡(∂ y /∂ x )· x )。这个展开式表明,对于 k * 邻域中的 k ( t ),有
这里使用≈符号是为了强调这是一个忽略二阶项的近似值。特别是,第一行是简单地将
(
t
)/
k
(
t
)对log
k
(
t
)求导,并在
k
*
处取值得到的(忽略二阶项)。第二行来源于以下事实,根据稳态
k
*
的定义,第一行第一项等于零[回顾第2章的(2.52)式,
sf
(
k
*
)/
k
*
=δ+g+n
]和函数
f
弹性的定义,
ε
k
(
k
(
t
))。现在将该近似值代入(3.8)式,可得
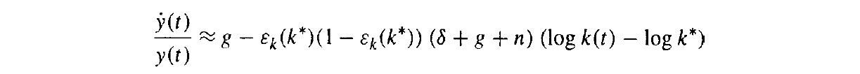
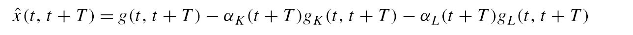
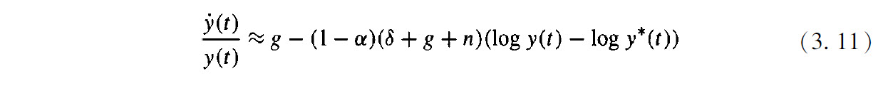
让我们将 y * ( t )≡ A ( t ) f ( k * )定义为人均产出的稳态水平,即当有效资本劳动比处于稳态水平且技术处于 t 期的水平时,所对应的人均产出水平。将log y ( t )关于log k ( t )在log k * ( t )处进行一阶泰勒展开,可得
将这个表达式与之前的方程结合起来可得下列收敛方程:
(3.10)式清楚地表明,在索洛模型中,人均产出的增长源于两个方面:第一个是技术进步率 g ,第二个是收敛。后者是当前人均产出水平和稳态人均产出水平之间存在差距作用于资本积累速率的结果(回忆之前的0 <ε k ( k * ) < 1)。直观地看,一国的资本劳动比越是低于其稳态水平,该国就增长得越快。第2章的图2.7体现了这种情况。
另一个值得注意的特点是,(3.10)式给出的收敛速度,用(1- ε k ( k * ))( δ+g+n )乘以log y ( t )和log y * ( t )之间的差距来测算,这取决于 δ + g + n 和生产函数的弹性 ε k ( k * )。这两项都体现了直观效应。像第2章讨论的一样, δ + g + n 项决定了需要以何种速率补充有效资本劳动比。补充的速率越高,经济中的投资数量就越大(见第2章的图2.7),快速调整的范围也会更大。另外,当 ε k ( k * )很高时,我们将接近一个线性 AK 生产函数。如第2章证明的那样,在这种情况下,收敛速度会比较低。在 ε k ( k * )等于1的极端情况下,经济体将适用 AK 式技术,没有任何收敛发生。
例3.1(柯布-道格拉斯生产函数和收敛)
简要考虑例2.1的柯布-道格拉斯生产函数,其中 Y ( t ) =A ( t ) K ( t ) α L ( t ) 1-α 。该式意味着 y ( t ) =A ( t ) k ( t ) α 。因此,像上文中提到的, ε k ( k ( t )) =α 。于是(3.10)式变为
上述约等式还能帮助我们校准收敛的速度,也就是说,使用大致合理的参数值,获得一个关于收敛速度的粗略估计。让我们关注相对发达的经济体。在这种情况下,这些参数的合理数值可以用 g ≈0.02表示,即每年人均产出增长约2%,用 n ≈0.01表示人口增长率约1%,以及用 δ ≈0.05表示每年大约5%的折旧率。根据第2章的内容,国民收入中资本所占的份额大约为1/3,用于柯布-道格拉斯生产函数中,就是 α ≈1/3。给定这些数值,由(3.11)式可得出log y ( t )-log y * ( t )前面的收敛相关系数大约是0.054(≈0.67×0.08)。这个数值表示非常快速的收敛速度,并意味着两个拥有相同生产技术、相同折旧率和相同人口增长率的国家,其收入差距将会很快缩小。例如,可以用这些数值计算出两个相似国家的收入差距将在不到10年的时间里减半(见习题3.4)。这种快速收敛和我们在第1章中看到的情况显然不同。
取离散时间下的近似,由(3.10)式可以得出下列回归方程:
其中 g i,t,t-1 指的是国家 i 在 t-1 期和 t 期之间的增长率,log y i,t-1 是该国初始( t -1期)人均产出的对数值, ε i,t 是包括所有被忽略的影响的随机项。鲍莫尔等人(Baumol,1986;Barro,1991;Barro and Sala-i-Martin,1992)估算了这种形式的回归。当使用(3.12)式对核心经合组织成员国进行估计时, b 1 的估计值确实为负,诸如爱尔兰、希腊、西班牙和葡萄牙这些二战末期相对贫穷的国家确实比其他国家要增长得更快,正如第1章的图1.14所示。
然而第1章的图1.13表明,当我们观察全世界的情况时,不存在 b 1 为负数的证据。相反,该图清晰地表示 b 1 是正数。换句话说,不存在全球范围发生收敛的证据。然而,正如第1章所述,无条件收敛的要求太苛刻了。它要求任何两个国家之间的收入差距都存在一个下降趋势,而不考虑这些国家的技术机会、投资行为、政策和制度情况。如果这些国家在此类因素上确实存在差异,索洛模型将预测它们的收入水平不会收敛。尤其是,在这种情况下,(3.10)式中的 y * ( t )项将具备国别特征,且该模型将预测每个国家都会收敛到它自身的稳态(平衡增长路径,BGP)人均收入水平。因此,在各国都具备其自身特征的情况下,一个更加合适的回归方程可以表示为:
其中的关键区别是常数 b i 0 具有国别特征(理论上,斜率项,也即表示收敛速度的 b 1 ,同样应该具有国别特征,但是在实证研究中这个系数一般被视为常数,这里我也做此假设以简化讨论)。有人或许因此将 b i 0 视为国家特征的函数。
如果(3.13)式是正确的,就意味着索洛模型是适用的,但是经济增长中还有一些特定的决定因素具有跨国差异,因此(3.12)式可能与数据不那么匹配。在这种情况下,即使如索洛模型所示,收敛是存在的,也不能保证从该式中得出的
b
1
的估计值是负的。特别地,预期
(其中Cov指的是总体协方差)是合情合理的,因为那些具有降低增长速度特征的经济体往往有着更低的稳态产出水平和更低的初始水平。因此,如果数据是出自(3.13)式,而我们使用(3.12)式进行估计,对
b
1
的估计会产生一个向上的偏误,使我们更难以获得负的
b
1
值。
基于上述考虑,巴罗(1991)、巴罗和萨拉-伊-马丁(1992,2004)支持有条件收敛的概念,这意味着一旦允许 b i 0 在各国之间有所不同,那么索洛模型强调的收敛效应应该能够导出负的 b 1 。为了从实证上完善这个有条件收敛的概念,他们在模型中假定 b i 0 为其他变量的函数,这些变量包括:男性受教育率、女性受教育率、生育率、投资率、政府购买率、通货膨胀率、贸易条件变化、开放程度以及有关法律和民主的制度性变量。相应的回归方程式表达为
其中, X i,t 表示包含上述各种变量的一个(列)向量(以及一个常数项),该向量的系数向量为 β (回忆X T 代表X的转置)。换句话说,这种设定假定了(3.13)式中 b i 0 可以近似地用 X T i,t β 表示。与强调有条件收敛一致的是,对(3.14)式的回归可以得到一个负的 b 1 估计值,但是该估计值要比例3.1中计算得出的数值小得多。
类似于(3.14)式的回归不仅被用于支持有条件收敛的观点,还可以用于估计经济增长的决定因素。尤其是,我们自然而然可以做出如下假设:系数向量 β 的估计值包含各种变量与经济增长之间因果关系的信息。例如,受教育变量在(3.14)式中的系数为正,这被视为教育引起增长的证据。(3.14)式的简洁性及其为理论和数据之间建立的联系,正是它们在过去二十多年得到广泛运用的原因。
尽管如此,这种形式的回归模型仍存在几个问题。包括:
1.从计量经济学的角度来说,
X
i,t
和
y
i,t-1
中的大部分变量(即使不是全部的话)都是内生变量,因为这些变量和
t
-1期至
t
期的经济增长率是同时被决定的。例如,那些使一国1950年相对贫穷的相同因素(因此使log
y
i,t-1
变小),也同样会影响该国1950年以后的增长率。或者,那些阻碍一国物质资本和人力资本投资的因素会直接影响该国的增长率(通过其他渠道,比如通过技术或者生产要素的使用效率)。在对系数进行回归估计时,这个趋势会引起明显的偏误(并且缺乏计量分析的一致性)。这种偏误使得由系数向量
β
刻画的效应难以对应于影响潜在经济增长的这些特征的因果效应。有些人或许会认为,即使
β
中并不包含因果解释,收敛系数
b
1
也有研究意义。然而,计量经济学的一个基本结论是,如果
X
i,t
具有计量内生性,那么对参数向量
β
的估计就是不一致的;如果
X
i,t
与log
y
i,t-1
相关,对参数
b
1
的估计也会不一致。
这将使我们难以解释收敛系数
b
1
的估计值。此外,人均收入的短暂变化(例如,由经济周期引起的)或测量误差也会导致(3.14)式右侧的变量产生计量内生性,并导致
b
1
的估计值偏低。举例来说,假定我们只观测到人均产出
的估计值,其中
y
i,t
是人均实际产出,
u
i,t
是一个不存在序列相关的随机误差项。当变量
被用于该回归分析时,误差项
u
i,t-1
会同时在(3.14)式的左边和右边出现。尤其是,注意:
由于测算的增长率为
测算误差
u
i,t-1
是下列回归方程式中误差项
ε
i,t
和
右侧变量的一部分
这自然会引起 b 1 估计值的负向偏误。因此,即使不存在有条件收敛,我们最后也会得到一个负的 b 1 估计值。
2.对类似于(3.14)式这样的回归方程进行经济解释,有时候并不是一件容易的事。许多文献中的回归分析将投资率包含在向量 X i,t 中(而且全部文献的回归分析都包含了受教育率)。然而,在索洛模型中,投资率的差异(在扩展的索洛模型中,则是受教育率的差异)是向量 X i,t 包含的潜在决定因素(例如,制度、开放性)能够影响经济增长的主要渠道。因此,一旦我们对投资率和受教育率设定分析条件,向量 X i,t 中的其他变量的系数就不再能够衡量它们对经济增长的(全部)影响。因此,把投资之类的变量放到方程右侧,进而对(3.14)式进行估计,这很难与理论联系起来。
3.最后,增长回归方程(3.10)式是从封闭的索洛经济体中得出的。当我们考察跨国收入差距和增长历程的时候,使用该方程也就意味着要假定每个国家都是孤岛。换句话说,世界被看作互不相关的封闭经济体的集合。而在现实中国家之间会交易产品、交流思想,也会在国际金融市场中借贷。这些相互影响意味着不同国家的行为不能用(3.10)式来表达,而要通过一个能够刻画全世界均衡的方程组来表示。在经济体相互作用的世界中,用(3.10)式解释跨国增长常常会导致错误的结论(见第18章和第19章的讨论)。
以上讨论并不意味着增长回归方程没有用武之地。从某种基本层面上说,这些回归(至少先不考虑与估计 b 1 相关的困难)可以视为提供了有关数据显著相关性的信息。了解这些相关关系对于构建实证上可信的理论十分重要。
基于以上背景,可以用如下补充性的或许更合理的回归框架来研究数据之间的(条件)相关关系:
其中, δ i 表示全部国家固定效应, μ t 表示全部年份效应。该回归框架从几个方面不同于增长回归。第一,该回归方程的左侧是根据水平值而非增长率来设定的。但是这种差别主要是对(3.14)式的改写,因为 g i,t,t-1 ≈log y i,t -log y i,t-1 。更重要的是,通过纳入国家固定效应,该回归方程可能剔除了同时影响经济增长率(或人均收入水平)和右侧相关变量的固定国家特征。因此,对(3.15)式进行面板数据回归可能会得出更多有关一系列因素与人均收入之间统计相关性的信息。然而,有必要强调的是,考虑国家固定效应并不是解决遗漏变量偏误问题以及计量内生性问题的万灵药。联立性偏差(simultaneity bias)常常源于随时间变化的影响因素,纳入固定效应并不能消除这一偏差。此外,向量 X i,t 中的一些变量从某种程度上说本身变化很慢,将国家固定效应纳入回归方程只会使这些变量和人均收入之间的统计相关性变得难以识别,并且可能会提高由于右侧变量的测算误差而导致潜在偏误。
我将在本章剩余部分讨论该如何进一步将索洛模型的这一框架应用于数据分析。但首先我要介绍一个扩展的索洛模型,其中纳入了人力资本因素,这在经验研究中十分有用。
人力资本是一个专业术语,用来表示劳动力中包含的技术、教育、能力,以及其他有助于提高生产率的各种特征的存量。换句话说,人力资本指的是蕴含于原始劳动时间中的有效劳动单位。
“人力资本”这个词源于以下观察,即个人会对自身进行技术、技能以及赚钱能力的投资,就像企业通过物质资本投资以提高生产率一样。西奥多·舒尔茨(Theodore Schultz)、雅各布·明赛尔(Jacob Mincer)和加里·贝克尔(Gary Becker)的开创性研究将人力资本这个概念推至经济学研究的前沿。现在,我们需要了解的是,由不同个人提供的劳动时间包含的有效单位是不同的。一个受过高级训练的木工可以在几小时内生产出一把椅子,而业余水平的木工做同样的事情要花费更多的时间。经济学家认为熟练木工拥有更多的人力资本,借此来理解人力资本的概念。也就是说,在他劳动的时间里包含更多的有效劳动单位。人力资本理论涉及广泛的内容,其中一些重要概念将会在第10章中讨论。现在我们的目标比较简单:研究为什么在索洛模型中引入人力资本后,会使它与数据更加匹配。纳入人力资本使我们可以考虑引起收入差别的三个主要直接原因:物质资本、人力资本和技术。
本节的主要目标是重点考虑连续时间模型,假定经济体的总生产函数由(2.1)式的一个变体给出:
其中 H 表示人力资本。注意,该生产函数有些特别,它将人力资本 H 作为潜在生产要素从劳动力 L 中分离出来。我之所以从这个形式的表达式开始分析,是因为它在增长文献中很常见。第10章中更具微观基础的模型假定人力资本内嵌于工人身上。如何用数据衡量人力资本将在下文讨论。让我们先对假设1和假设2做如下修改:
假设1′ (3.16)式中的生产函数 F :ℝ 3 + ➝ℝ + 对 K 、 H 和 L 的二次偏导数满足
此外, F 对三个变量具有规模报酬不变的特点。
假设2′ F 满足稻田条件:
此外,让我们假设对人力资本的投资和对物质资本的投资采用类似的形式:居民将收入的 s k 部分用于物质资本投资, s h 部分用于人力资本投资。人力资本也会像物质资本一样折旧,我们将物质资本和人力资本的折旧率分别用 δ k 和 δ h 表示。
再次假定人口增长率为常数,同时劳动扩张型技术进步率也是常数,即
。有效人力资本和有效物质资本之比为
根据假设1′关于规模报酬不变的设定,单位有效劳动的产出可以被表示为
运用与第2章相同的步骤, k ( t )和 h ( t )的运动法则为
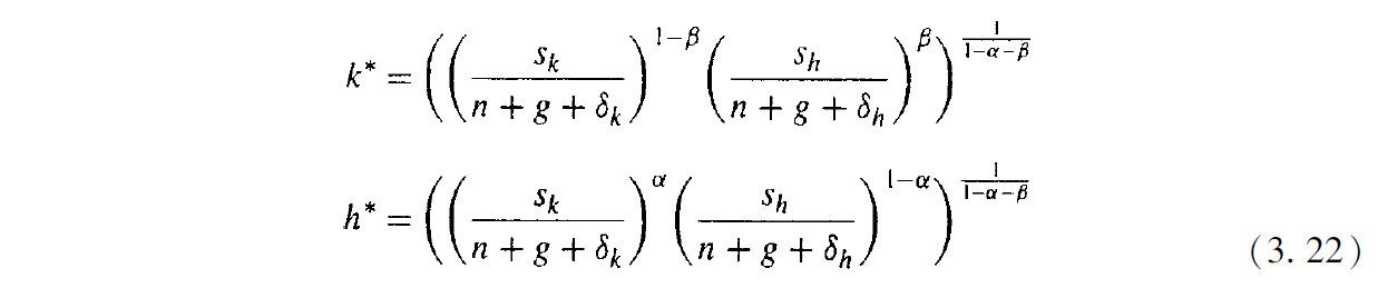
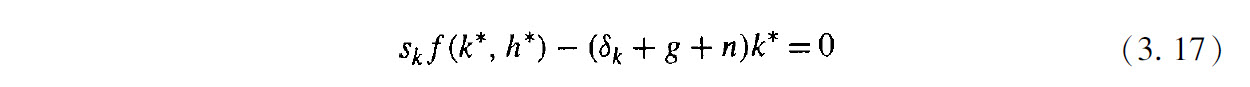
现在可以用有效人力资本和物质资本之比来定义稳态均衡( k * , h * ),并满足下面两个方程:
以及
像基本的索洛模型一样,我们关注的焦点是 k * >0和 h * >0时的稳态均衡[如果 f (0,0) = 0,则存在一个 k = h =0的无意义稳态,如同第2章的原因一样,我们忽略这种情况]。
让我们首先证明这是唯一的稳态均衡。作为尝试,我们先考虑画在(
k
,
h
)二维空间上的图3.1。图中的两条曲线分别代表(3.17)式和(3.18)式(对应着
=0和
=0)。两条曲线都是向上倾斜的,因此较高的人力资本对应着均衡中较高的物质资本。此外,对下一个命题的证明说明,在(
k
,
h
)二维空间,(3.18)式一直在趋于平缓,因此两条向上倾斜的曲线只会相交一次。
命题3.1 假定假设1′和假设2′都是满足的。在包含人力资本的扩展索洛模型中存在一个唯一的稳态均衡( k * , h * )。
证明
首先考虑(3.17)式的斜率,对应着二维空间(
k
,
h
)中
=0的轨迹。使用隐函数定理(定理A.25),可得
图3.1 包含人力资本的索洛模型中的物质资本劳动比和人力资本劳动比的动态图
其中 F K ≡∂ f /∂ k 。重写(3.17)式,我们得到 s k f ( k * , h * )/ k * -( δ k +g+n ) = 0。根据假设1′和 f (0, h * )≥0,可知 f 关于 k 是严格凹的,则有
因此有( δ k +g+n )- s k fk( k * , h * ) > 0,(3.19)式是严格为正的。
类似地,定义
f
h
≡∂
f
/∂
h
,对
=0的轨迹(3.18)式运用隐函数定理可得
和对(3.19)式的讨论一样,这个表达式也严格为正。
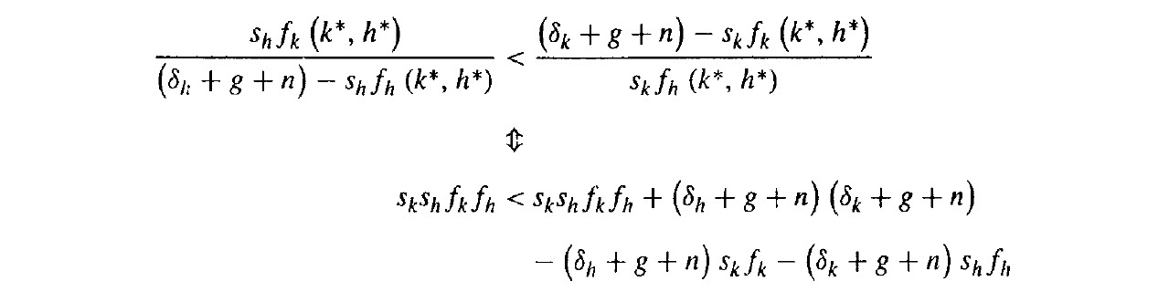
下面,我们来证明当(3.17)式和(3.18)式成立时,(3.19)式比(3.20)式的图形要更为陡峭,于是二者最多只能相交一次。首先,我们可以观察到
现在应用(3.17)式和(3.18)式,并将( δ k +g+n ) =s k f ( k * , h * )/ k * 和( δ h +g+n ) =s h f ( k * , h * )/ h * 代入,则上式等价于
根据 f ( k * , h * )严格凹的事实,上式成立。
最后,为了证明存在性,请注意假设2′意味着
因此两条曲线呈现图3.1中的形状,即随着 k ➝0且 h ➝0,(3.17)式的曲线在(3.18)式的曲线之下,而随着 k ➝∞且 h ➝∞,(3.17)式的曲线在(3.18)式的曲线之上。这意味着两条曲线至少要相交一次。证毕。
这个命题说明包含人力资本的扩展式的索洛模型存在一个唯一的稳态均衡。该比较静态类似于基本的索洛模型(见习题3.7)。最重要的是,更大的 s k 和 s h 都将提高标准化的人均产出 ŷ * 的水平。
现在开始研究跨国行为,考虑一系列有着相同劳动扩张型技术进步速率 g 的国家。那些更加乐于进行物质资本和人力资本投资的国家将会更加富裕。这是一个能够进行经验研究的预测,以考察扩展式索洛模型(各国有着相似的技术机会)是否能够为理解跨国收入差距提供有用的方法。在此之前,我们先证明唯一的稳态是全局稳定的。
命题3.2 假定假设1′和假设2′成立,则包含人力资本的扩展的索洛模型有全局稳定的唯一稳态均衡( k * , h * ),即从任何 k (0) > 0和 h (0) > 0出发,我们都有( k ( t ), h ( t ))➝( k * , h * )。
证明 见习题3.6。
图3.1为该结论给出了直观的认识,图中显示
k
与
h
的运动轨迹取决于该经济体是高于还是低于两条曲线的位置,分别用(3.17)式的
=0和(3.18)式的
=0轨迹来表示。在(3.17)式表示的曲线的右侧,物质资本相对于人力资较多,因此有
本<0。其左侧相反,有
>0。类似地,在(3.18)式表示的曲线的下方,人力资本相对于劳动力和物质资本来说太少了,因此
>0。该曲线的上方,则有
<0。给定这些曲线方向,全局稳定的动态由此成立。
例3.2(以柯布-道格拉斯生产函数为基础的扩展索洛模型) 现在让我们将柯布—道格拉斯生产函数运用于以上模型来研究一个特殊例子。特别地,假设总生产函数为
该均衡表明,较高的物质资本储蓄率不仅能够使 k * 增长,也能使 h * 变大。同样的道理也适用于人力资本储蓄率。这反映了一个事实,更高的物质资本储蓄率通过提高 k * 的水平,进而提高了整体产出,同时还提高了对教育的投资(因为 s h 是恒定的)。给定(3.22)式,稳态时单位有效劳动的产出为
(3.23)式表明物质资本和人力资本储蓄率对人均产出的相对贡献取决于物质资本和人力资本的份额,即 α 越大则 s k 越重要, β 越大则 s h 越重要。
相比第3.2节讨论的增长回归,另一个选择是探讨索洛模型稳态的含义。这方面的研究以曼昆、罗默和威尔(Mankiw、Romer and Weil,1992)的一篇重要论文为代表。三位作者(MRW)采用了例3.2中使用的柯布—道格拉斯模型,并设想一个由 j =1,…, J 国组成的世界,每个国家都与其他国家处于隔离状态,从而符合索洛模型中蕴含的运动法则。这样,我们再次使用了每个国家都是一个孤岛的假设。尽管该假设因为之前讨论的各种原因而不够完美,但是很多有关增长的经验研究都是从这一假设开始讨论的。因此,对我们的研究来说,探讨标准索洛模型是否能够很好地解释跨国收入(人均)是一个有用的起点。
根据例3.2,让我们假设国家 j =1,…, J 的总生产函数为:
当
β
=0时,该生产函数就是没有考虑人力资本的基本索洛模型。首先,假设各国在储蓄率
s
k,j
和
s
h,j
、人口增长率
n
j
与技术进步率
j
(
t
)/
A
j
(
t
)=
g
j
三方面都不相同。跟往常一样,定义
k
j
≡
k
j
/
A
j
L
j
和
H
j
≡
H
j
/
A
j
L
j
。由于在此我们的主要兴趣是研究跨国收入差距,而不是研究某个特定国家随时间推移的动态发展轨迹,因此我们重点研究当各国处于稳定状态时(因此忽略收敛动态,这是上一节的研究重点)的世界就可以了。假定各国偏离其稳态不是太远,这不会让我们的洞见受损,但这种方式并不适用于那些正在经历快速增长或者经济崩溃的国家,比如第1章中给出的某些例子。
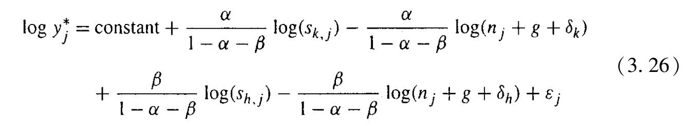
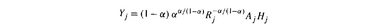
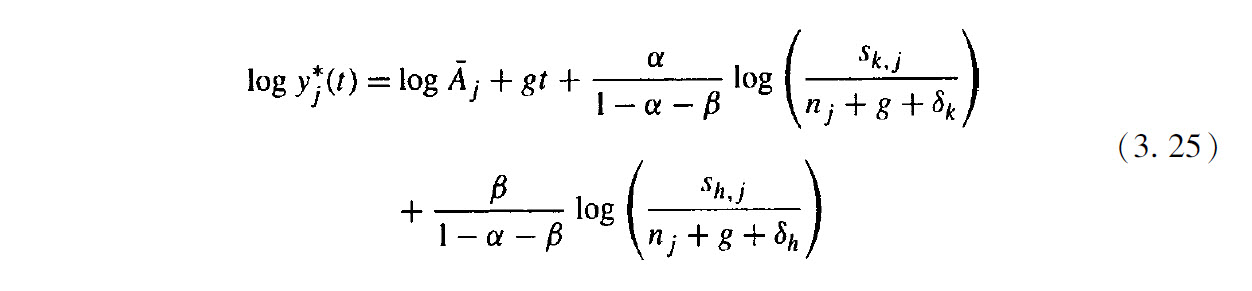
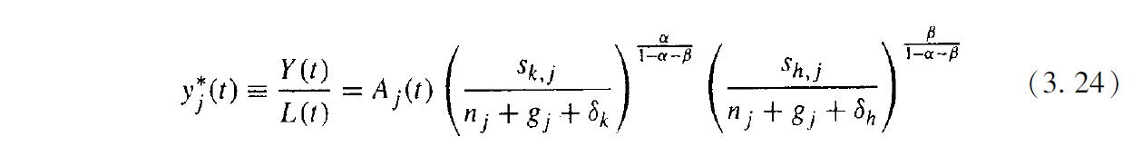
基于稳态假设,与(3.22)式类似的方程此时成立,意味着国家 j 在稳态下的物质资本和人力资本与单位有效劳动之比为( k j * , h j * ),由(3.22)给出,因此应用(3.23)式,国家 j 的稳态人均收入为
此处, y * j ( t )表示国家 j 沿着平衡增长路径的人均产出。(3.24)式的一个直接含义是,如果 g j 在各国之间不相同,人均收入将会分化,因为不同国家 A j ( t )的增长率不同。就像第1章讨论的,存在着一些这类分化行为的证据,但是世界(人均)收入分布仍然可以用一个相对稳定的分布来近似。这是当前研究的一个重要领域,关于二战后世界经济是应该按扩大的还是按稳定的人均收入分布来构建模型,仍存在较大争议。前者适用于各国 g j 不相同的情形,而后者适用于所有国家都有相同的技术进步率 g (回忆第1章讨论的内容)的情形。曼昆、罗默和威尔采用了后一种视角,并假设各国的技术知识有相同的增长率 g 。
同的技术进步:
换句话说,各国技术水平各不相同,尤其是就它们的初始技术水平
j
而言。但是,他们拥有相同的技术增长率
g
。基于这个假设和(3.24)式,并取对数,我们得到了以下关于国家
j
=1,…,
J
在平衡增长路径上的收入的对数线性方程:
(3.25)式简洁明了,且能够很方便地用跨国数据对其进行估计。我们可以用可获得的数据计算出 s k,j 、 s h,j 和 n j 的估计值,与常量 δ k 、 δ h 和 g 的数值一起可以用于推导方程右侧的两个关键变量。给定这些测算值,(3.25)式可以用最小二乘法进行估计(将人均收入对这些变量进行回归),进而得出 α 和 β 的值。
曼昆、罗默和威尔假定 δ k = δ h = δ ,并将 δ + g =0.05作为物质资本和人力资本折旧率和世界经济增长率的近似值。这些数字的设定有些随意,但是它们的确切数值对估计来说并不重要。研究文献中一般使用平均投资比率(投资/GDP)作为 s k,j 的近似值。投资率、平均人口增长率 n j 和对数人均产出的数据都来源于第1章中提到的萨默斯-海斯顿的数据库。此外,曼昆、罗默和威尔三人还使用中学学龄人口比重的估计值来测算人力资本的投资率 s h,j 。我将在下文中讨论这个变量。
这些假设对于一致估计(3.25)式还不够充分,因为log
j
项是无法观察到的(至少对于计量经济学家而言),这将体现在误差项中。多数合理的经济增长模型通常会认为技术差距,即log
j
,应该与物质资本及人力资本投资率相关。因此,对(3.25)式的估计难免会出现最标准形式的遗漏变量偏差和非一致估计问题。只有做出比之前介绍的相同技术进步速率假设更强的假设,才能得到一致性估计。因此,曼昆、罗默和威尔隐含地做出了另一个关键假设。
正交技术
j
=
ε
j
A
,其中
ε
j
与其他所有变量都是正交的。
基于正交技术的假设,作为误差项的一部分,log
j
与右侧的所有关键变量都是正交的,且(3.25)式可以被一致估计。
曼昆、罗默和威尔先使用非石油生产国截面数据对不含人力资本项(例如,令 β =0)的(3.25)式进行了估计。具体地,他们的估计方程为:
这个等式是通过设定 β =0并且只有一个部门推导而来的。同时,log ( s k,j )项和log ( n j + g + δ k )项被分离开来,以检验二者的系数是否绝对值相同但符号相反。最后,这一方程也包含了一个误差项 ε j 和所有的遗漏因素以及人均收入的影响因素。
表3.1的第一列复制了他们从该估计研究中得出的结果,使用的是曼昆、罗默和威尔的原始数据(括号内表示的是标准差)。他们的估计认为,系数 α /(1- α )约为1.4,也就是 α 的值约为2/3。由于 α 也是国民收入中资本所占的份额,它应该约为1/3(回忆图2.11)。于是,这个没考虑人力资本的回归估计似乎过高地估计了 α 。第二列和第三列用最新数据进行了同样的计算。相比应用曼昆、罗默和威尔的数据,模型对新数据的适用性较差,但是总体情况相似。得出的 α 值也比曼昆等人原来的估计值要小一些,但是仍旧比原来的基本模型预测的1/3要高出许多。
表3.1 基本索洛模型的估计结果
注:标准差用括号表示。MRW指曼昆、罗默和威尔。
对表3.1中参数 α 的估计值偏高,最直接的原因是 ε j 与log ( s k,j )相关,这可能是因为正交技术的假设脱离现实,也可能是因为人力资本差异与log ( s k,j )相关。曼昆、罗默和威尔倾向于第二种解释,并且估计了如下扩展模型:
曼昆、罗默和威尔的原始估计值在表3.2中的第一列给出。现在这个估计更为成功。不仅调整后的 R 2 值变得更大了(78%),对 α 的估计值也接近1/3。基于这个估计结果,曼昆、罗默和威尔及其他人认为,扩展的索洛模型与数据的匹配性是很好的:在相同技术的假定下,人力和物质资本投资能够解释跨国人均收入差距的3/4,而且得到了可信的参数估计值。表中的第二列和第三列用更新的数据进行了估计。 α 的估计值类似,不过调整后的 R 2 值出现了下降。
表3.2 扩展的索洛模型的估计结果
注:标准差用括号表示。MRW指曼昆、罗默和威尔。
这些回归结果比较可靠,因此极大地肯定了扩展的索洛模型。尤其是,调整后的 R 2 的估计值说明跨国人均收入差距的一大部分都可以解释为各国物质资本和人力资本投资行为的差异。这也表示技术(全要素生产率)差异只能起到有限的作用。如果这个结论是正确的,那就意味着,只要我们关注的是导致经济繁荣的直接原因,就可以把注意力集中在物质资本和人力资本上,并假设各国能够拥有基本相同的世界技术水平。当然,如何构建经济增长模型也十分重要。
上述回归分析及技术差距重要性有限的结论存在两个主要(并且相关)问题。
第一个是关于跨国技术差异与其他所有变量都正交的假设。虽然技术进步相同的假设可能得以维持,但正交性假设过于严格,几乎站不住脚。当各国有不同的
j
,它与
s
j
h
和
s
j
k
的测算值应该是相关的:生产率越高的国家也常常会进行更多的物质资本和人力资本投资。这种相关性源于两个方面的原因。第一是遗漏变量—偏误问题:技术差异也是投资决策的结果。因此拥有更高
A
j
水平的国家往往出于各种原因对技术的投资更多。因此,我们出于同样的原因,很自然地预期这些国家会进行更多的物质和人力资本投资。第二,即使我们不考虑遗漏变量偏误问题,还存在一种反向因果关系:技术和物质及人力资本之间的互补意味着拥有更高
j
的国家发现提高其人力资本和物质资本存量将会带来更大的收益。对于回归方程(3.26)式来说,遗漏变量偏误和反向因果关系意味着该式右侧的关键变量都与误差项
ε
j
相关。因此,对(3.26)式进行普通最小二乘法回归将导致
α
和
β
的估计值偏高。此外,
R
2
的估计值也将偏高,该值用来衡量跨国人均收入差异中有多少可以用物质资本和人力资本解释。
回归分析的第二个问题与(3.26)式中 α 和 β 的估计值大小有关。上述回归框架具有吸引力的部分原因在于我们可以评估 α 的估计值是否合理。我们同样也应该探讨 β 的估计值是否合理。然而,当我们这样做时,却发现人力资本投资率 s h j 的系数相对于微观经济计量证据来说太大了。
首先回想曼昆、罗默和威尔使用的具有中学学历的工作年龄人口比例。在回归所使用的国家样本中,该变量的值介于0.4%至超过12%之间。他们的估计结果表明,给定其他变量不变,拥有大约12%入学率的国家,其人均收入大约9倍于 s j h =0.4的国家的人均收入。更明确地说,这两个国家的对数收入差距预测值为
于是,如果其他生产要素相同,入学率超过12%的国家应该比教育投资水平约0.4的国家富裕约exp(2.38)≈10.8倍。
实际上,在曼昆、罗默和威尔的样本中,任何两国之间的平均教育年限之差小于12年。第10章将指出,有充分的经济学理由说明更多的教育能够按一定比例地提高收入,例如,明赛尔采用的回归方程为
其中 w i 表示个体 i 的工资收入,X i 是一系列人口控制因素, S i 表示受教育年限, u i 是误差项。系数 ϕ 的估计值表示教育的回报率,用来表示教育每增加一年带来的收入增长比例。微观经济计量学的文献指出,(3.27)式对数据的拟合较好,并且对 ϕ 的估计值介于0.06至0.10之间,表明受教育年限多一年的工人比受教育年限相对少一年的工人的收入将高出6%~10%。如果劳动力市场是竞争性的,或者至少平均来说工资与生产率是成比例的,(3.27)式也意味着每多一年的教育能够将工人的生产率提高大约6%~10%。
我们能就此推论出当一国的平均受教育年限为12年之上时,该国的富裕程度会提高多少吗?答案是肯定的,但是有两个附加说明。第一,我们要假设(3.27)式中提及的微观层面的关系能够适用于所有国家。现在让我们忽略工资的其他潜在决定因素,并将个体
i
的收入写为
w
i
=
(
S
i
),其中
S
i
表示个人的受教育程度。第一个关键假设是函数
在各国之间相同,且能够被近似地表示为指数函数
(
S
i
)≈exp(
ϕS
i
),以得出(3.27)式。至于为什么这个假设是合理的,我们将在第10章进一步讨论。
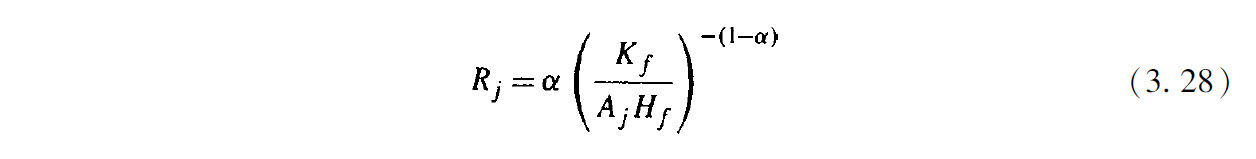
第二,我们需要假设不存在人力资本外部性,也就是说,一个工人的人力资本不能直接提高其他工人的生产率。有几个原因可以说明人力资本外部性可能是存在的,而且一些经济学家认为这十分重要。然而,第10章将要讨论的证据表明,人力资本的外部性(那些通过创新发挥作用的除外)不可能太大。因此,我们在一开始就假设不存在这种外部性是有一定道理的。这个重要结果使我们能够从微观计量经济学的工资回归分析问题转移到跨国收入差距问题,即在规模报酬不变、完全竞争市场和不存在人力资本外部性的前提下,工人生产率的差异可以直接转化为人均收入的差异。为了说明这一点,假设国家 j 的每个企业 f 有如下生产函数
其中 A j 是国家所有企业的生产率, K f 是资本存量, H f 代表企业 f 雇用的人力资本的有效单位(因此这个生产函数使用了更为常见的形式,其中人力资本是嵌入工人身上的,而不是像(3.16)式那样)。此处我们选择柯布-道格拉斯生产函数是出于简化目的,而不会影响相关讨论。假设这个国家的所有企业都面临着大小为 R j 的资本成本。在完全竞争要素市场的条件下,利润最大化要求资本成本要等于资本的边际产品,
因此,所有企业都应该有相同的物质资本/人力资本比率,所以所有工人不论其受教育程度如何,都应该按照相同的物质/人力资本比率进行工作。竞争性劳动市场的另一个直接推论是,国家 j 的单位人力资本工资等于
因此,人力资本为 h i 的工人能够获得 w j h j 单位的工资收入。再一次,这是一个更一般的结论:在生产技术的总规模报酬不变的前提下,工资收入与工人的有效人力资本呈线性关系,因此,一个有效人力资本数量是别人2倍的工人,他所获取的收入也应该是别人的2倍(见习题3.9)。用(3.28)式替换资本,国家 j 的总收入为
其中 H j 是国家 j 的总有效单位劳动。该等式表示,当 R j 和 A j 不变时,人力资本倍增也能引起总收入的倍增。曼昆、罗默和威尔的回归方程中对投资率的控制可以看作控制 R j 为常数(见习题3.10,当资本产出比不变时, R j 是如何保持不变的)。因此,人力资本倍增(比如有效单位劳动变为原来的2倍)对个人收入的影响应该类似于总人力资本倍增对总收入的影响。
上述分析说明,我们可以用教育收益率的估计值计算人力资本存量的跨国差异。当不存在人力资本外部性时,一个平均受教育年限超过12年的国家拥有的人力资本存量大约是受教育年限相对较少国家的exp(0.10 × 12)≈3.3至exp(0.06 × 12)≈2.05倍。因此当其他生产要素不变时,该国的富裕程度应该是平均受教育年限为零的国家的2~3倍。这一数值要大大小于曼昆、罗默和威尔在其分析预测的11倍。
以上讨论说明曼昆、罗默和威尔的回归分析对 β 的估计值相对于微观经济计量证据来说太高了,且有可能存在向上的偏误。引起这种过高估计的原因,极有可能是误差项 ε j 与(3.26)式右侧的关键回归元之间存在相关性。因此,基于(3.26)式的回归分析看来难以帮助我们准确了解跨国生产率差异的程度和收入差距的直接原因。
我们能否用其他方法来评估物质资本、人力资本和技术差异的重要性?一个办法就是对全要素生产率的跨国差异进行校准,而不是用回归框架估计它们。进而,这些全要素生产率估计值可以度量技术对跨国收入差距的贡献。这种校准方法由克雷诺和罗德里格斯(Klenow and Rodriguez,1997)以及霍尔和琼斯(Hall and Jones,1999)提出并加以应用。这里为了简便,我将介绍霍尔和琼斯的方法。这种校准方法的优势在于,曼昆、罗默和威尔的估计值中隐含的遗漏变量偏误问题将不再那么重要(因为可以用微观证据测算人力资本对经济增长的贡献)。这种方法的劣势是我们必须更为谨慎地对函数形式进行假设,而且必须明确假定不存在人力资本外部性。
假设每个国家 j 的总生产函数为柯布-道格拉斯形式
其中 H j 是国家 j 的人力资本存量,它表明了该国可获得的有效劳动数量, k j 是物质资本存量, A j 是劳动扩张型技术。由于我们的重点是跨国比较,因此忽略了时间变量。
假设国家 j 的每个工人都受过 S j 年教育。那么,使用前一节的明赛尔方程式(3.27),忽略其他协变量,并采用指数形式, H j 可以被估计为 H j = exp( ϕS j ) L j ,其中 L j 是国家 j 的就业人数, ϕ 是从(3.27)式估计出的教育回报率。可是,这种方法也许不能得出对一国人力资本存量的精确估计。首先,它没有考虑其他“人力资本”因素中存在的差异,比如培训和工作经验(我们将在第10章仔细讨论这些问题)。第二,各国也许不仅在它们的劳动力受教育年限方面有差异,而且在教育质量和继续教育人力资本方面都存在差距。第三,教育回报率也许存在着系统性跨国差异(例如,在拥有更多人力资本的国家该回报率可能比较低)。从某种程度上说,通过构建更好的人力资本存量估计,也许能够解决这些问题。
根据霍尔和琼斯的方法,让我们对最后一个因素做局部校正。假设教育回报率不存在跨国差异,但是不同年限教育的回报率存在着潜在的差别。例如,一年的小学教育可能比一年的本科教育更有价值(比如学习如何阅读可能比深刻地理解增长理论更有助于提高生产率)。我们特地把获取第 S 年教育带来的回报率设定为 ϕ ( S )。对于所有 S 有 ϕ ( S ) =ϕ 而言,(3.27)式是特例。根据这个假设,对人力资本存量的估计可以表示为
其中 L j ( S )表示国家 j 中受教育年限为 S 的总就业人数。
使用投资数据和永续盘存法可以从萨默斯-海斯顿的数据库中构建 k j ( t )序列。尤其是,回忆一下,在指数化折旧的情况下,物质资本存量的变化可以表示为
其中 I j ( t )是国家 j 在时间 t 的投资水平。永续盘存法是指使用折旧率 δ 和投资量 I j ( t )的信息估计 k j ( t )。让我们根据霍尔和琼斯的假设,令 δ =0.06。使用 I j ( t )的完整序列,可以用此方程计算任何时点的物质资本存量。然而,萨默斯—海斯顿的数据库缺少20世纪60年代以前的投资数据。通过假设每个国家的投资在样本期之前都按相同比率增长,这个方程同样可以用来计算各国的初始资本存量。根据这个假设,霍尔和琼斯计算了各国1985年的物质资本存量。我则计算了1980年和2000年的物质资本存量。最后,如同前文中的论述一样,我将 α 值设定为1/3。
给定 H j 序列、 k j 序列和 α 的值,我们可以对每个国家 j 使用下式来构建某个时点的“预测”收入
此处的
A
US
是指美国的劳动扩张型技术水平,这样该方程能够完美地匹配美国的情况:
。时间指数始终被忽略。只要构建出ŷ
j
序列,就能将它与实际的产出数据进行比较。两个序列之间的差距代表技术贡献。也就是说,我们可以明确地将具有国别特征的技术项(相对于美国的技术来说)表示为
图3.2和图3.3分别显示了1980年和2000年这些计算的结果。有以下几个值得注意的特征:
图3.2 1980年和2000年预测的和实际的跨国劳均GDP对数
1.物质资本差异和人力资本差异依旧十分重要:预测收入和实际收入是高度相关的。因此该回归分析在强调物质资本和人力资本的重要性方面并不完全是误导性的。
2. 然而,相比该回归分析,这个计算表明存在着显著的技术(生产率)差异。预测收入和实际收入之间常常存在很大的差别,这表明跨国技术差异的重要性。从图3.2中可以很容易地观察到这种差别,其中几乎所有的观测值都在45°线的上方,这说明索洛模型过高地预测了那些比美国贫穷的国家的收入水平。
3. 从图3.3中可以得出同样的结论,该图描绘了技术差异的估计值 A j / A US 和人均GDP的对数值。结果显示这种差异通常比较大。
4. 同样有趣的是,图形显示索洛模型的实证拟合效果似乎随着时间推移而逐渐变差。在图3.2中,2000年的观测值要比1980年的观测值高出45°线更多。为什么简单的索洛增长模型在1980年比2000年的拟合度要好是一个十分有趣并在很大程度上还没有得到回答的问题。
图3.3 1980年和2000年用美国技术校准后的技术水平与劳均GDP对数
和基于一些严格假设(尤其是,关于跨国技术差异与其他因素正交的假设)所做的回归分析一样,校准方法也依赖于一些重要的假设。上面的阐述强调了其中的几个假设。除了关于要素市场是完全竞争的这种标准假设以外,校准方法还必须假定不存在人力资本的外部性,使用柯布—道格拉斯生产函数,并且对物质资本和人力资本存量的跨国差异进行一系列的近似计算。
下面我们将集中探讨有关函数形式的假设。我们能否放松生产函数为柯布-道格拉斯形式的假设呢?答案是有可能。这里的运算类似于增长核算,它并不需要就函数形式做很强的假设(与增长核算相类似,这种运算有时候被称为“发展核算”或是“收入水平核算”)。尤其是,回忆(3.5)式,该式表明应用平均要素份额,如何从一个一般的规模报酬不变的总生产函数(基于完全竞争的劳动力市场)中得到全要素生产率的估计值。现在假定所有国家的生产函数为 F ( K j , H j , A j ),而且各国在物质资本和人力资本以及技术方面存在差异,但是具有相同的生产函数 F 。还假设我们有 K j 、 H j 以及各国资本在国民收入中所占份额的数据。于是,(3.5)式自然可以运用于跨国分析而非跨期分析。具体地,让我们按各国的物质资本/人力资本之比 K j /H j 的降序对国家进行排序(通过习题3.1可以看出为什么将国家做如此排序而非随机排序才是正确的)。于是我们得到
其中
g
j,j+1
是
j
和
j
+1两国产出的比例差异(proportional difference),
g
K,j,j+1
是两国资本存量的比例差异,
g
H,j,j+1
是两国人力资本存量的比例差异。另外,
和
分别是两国资本和劳动力收入占国民收入份额的均值;(3.30)式中的
则是两国全要素生产率比例差异的估计值。
应用这种方法并选定一个国家(如美国)作为基准国,我们可以计算出跨国相对技术差距。然而,这种收入水平计算法面临两个问题:一是关于数据的问题,二是理论上的问题。首先,大多数国家都不存在资本和劳动力收入在国民收入中所占份额的数据。这种数据的匮乏使我们难以简单应用(3.30)式。因此,几乎所有用来估计技术(生产率)差异的校准方法或收入水平核算都采用上一节中的柯布—道格拉斯方法(也即假定 α K 等于常数1/3)。
第二,即使我们能够获得资本和劳动力收入份额的数据,要素比例的跨国差异(比如 k j / H j 的差异)也相当大。类似(3.30)式这样的方程对于较小的变化是一个很好的近似。但是如习题3.1所示,当观测值之间的要素比例差距太大时,可能会出现显著的偏误。
总之,对跨国生产率进行校准的方法相比跨国回归分析是一个有用的替代,但是该方法必须依赖于对生产函数形式的一些严格假设,而且有可能导致对技术差异的有偏估计。这种估计偏差之所以出现,一方面是因为这些函数形式的假设也许并不是对数据的一个良好近似,另一方面则是因为我们错误地测算了物质资本和人力资本在质量和数量上的跨国差距。
在前一节,生产率(技术)差异是通过校准方法计算残差得出的,因此我们必须相信在该方法中对函数形式的假设。但是,如果我们乐于相信这些函数形式,我们也可以通过计量方法计算这些技术差异,而不需要用校准的方法。计量方法相对于校准方法的最大优势不仅在于可以获得我们感兴趣的目标的估计值,而且还能得到标准差,它可以显示这些估计值有多大的可信度。在这一节我将简要地介绍两种不同的估计生产率差异的方法。
第一种方法是假定存在一个(3.29)式一样的生产函数,使用跨国数据对它进行估计。具体地,取对数
给定序列 Y j 、 k j 和 H j ,约束条件是log k j 和log H j 的系数之和等于1,(3.31)式可以用普通最小二乘法估计,残差被视为技术差异的估计值。遗憾的是,这种方法并不是特别理想,因为log A j 与log k j 或者log H j 之间的潜在相关性意味着即使在规模报酬不变的情况下, α 的估计值也难免出现估计偏误。再者,一旦放松对规模报酬不变的假设,系数之和等于1的约束条件也就无法成立。因此,这个回归方法和第3.4节讨论的曼昆、罗默和威尔的方法陷入相同的困境。
因此,即使我们愿意假设我们知道总生产函数的具体形式,还是难以直接估计生产率差异。那么该怎样做才能获得一个比这种简单方法更好的办法呢?答案是我们需要更多地应用经济学理论。对(3.31)式进行估计并没有利用如下事实,即我们此时考虑的是经济系统的均衡。一个更复杂的方法需要利用均衡行为施加的更多约束条件(并引入一些额外的相关数据)。下面我将介绍这种方法,它是基于国际贸易理论的一种特定尝试。不熟悉国际贸易理论的读者可以跳过这一节。
在第19章,我们将研究增长和国际贸易模型。即使不详细探讨国际贸易理论,我们也能利用国际贸易流量数据和国际贸易理论的一些简单原理寻找一种估计跨国生产率差异的办法。
让我们先来看一篇特雷夫勒(Trefler,1993)的重要论文,文中对赫克歇尔-俄林(Heckscher-Ohlin)的标准国际贸易方法进行了扩展。标准的赫克歇尔-俄林方法假设各国的要素比例不同(例如,相比其他国家,有些国家的物质资本相对于其劳动力供给来说更加丰富)。对于一个封闭经济体,这种差异将导致相对要素成本的不同,同时导致以不同的要素密集度生产的产品在相对价格上有差异。国际贸易能够帮助各国从这种相对价格差异中获益。这种理论的最典型模式通常假设不存在运输成本和阻碍贸易的政策,以保证国际贸易可以低成本地在国家之间进行。
特雷夫勒从标准的赫克歇尔-俄林国际贸易模型开始讨论,但是他的模型中允许特定要素存在生产率差异,于是国家 j 的资本的生产率为 A j k ;一国的资本存量为 k j 等价于有效资本供给 A j k K j 。劳动力(人力资本)的情况与之类似,国家 j 的劳动生产率为 A h j 。此外,特雷夫勒假设所有国家都有相同的位似偏好(homothetic preferences),并且不同商品的要素密集度之间有足够大的差异,这样才能保证在国际贸易中各国从相对要素成本差异中获益(或者用国际贸易术语来说,各国都处于“多样化的锥体”之中)。后一个假设十分重要,如果各国都有相同的物质资本生产率和人力资本生产率,这将导致著名的要素价格均等化,即由于世界经济实现了高度一体化,各种要素价格在所有国家都相等。当各国生产率不同时,这个假设则会导致有条件的要素价格均等化,意思是只有考虑各国具有不同的有效生产率,要素价格才能实现均等化。
通过以上这些假设,标准国际贸易方程就将每个国家的净要素出口量和该国相对世界整体而言的要素丰裕程度联系起来了。我们需要解释一下“净要素出口”这个专业术语。它指的不是直接进行要素贸易(比如,移民、资本流动等)。相反,商品贸易是要素贸易的一个渠道,因为每个商品都蕴含各种要素。例如,一个国家出口蕴含资本要素的汽车,进口蕴含劳动力要素的谷物,这实际上就是出口资本,进口劳动力。具体而言,国家 j 的资本净出口 X j k 是通过计算该国的全部出口中蕴含的资本量减去该国全部进口中蕴含的资本量得来的。就我们的目的而言,如何计算要素含量并不重要(可以肯定地说这些都是实证问题,而困难存在于各种细节之中,而且这些计算远非看起来那般容易,需要进行一系列假设)。因此,不考虑贸易摩擦,并假定相同的位似偏好,我们可以得到下式
其中
γ
C
j
是国家
j
在世界消费中所占份额(该国的消费量除以总的世界消费量),
J
是全世界国家总数。上式只是简单重申了前一段的结论:如果一国的有效资本供给
A
j
k
K
j
超过世界有效资本供给
的一定比例,这里是
γ
j
C
,则该国会成为一个资本的净出口国。
消费占比是很容易计算的。于是,给定 X j k 和 X j H 的估计值,以上2× J 的方程组可以解出相同数量的未知数,即 J 个国家的 A i k 和 A i H 的值。这种计算方法可以求出特定要素生产率跨国差异的估计值,与之前的情况相比,该差异是由完全不同的变化来源引起的。实际上,这种方法使我们可以分离出每个国家的劳动扩张型(或者人力资本扩张型)生产率项和资本扩张型生产率项。
我们如何知道这些数字能否为跨国要素生产率差距提供较好的近似值?这个问题和我们在前一节遇到的判断校准生产率(技术)差异是否可靠是一样的。幸运的是,国际贸易理论为我们提供了另一套方程式用以检验这些数据是否可靠。如前所述,根据世界经济高度一体化的假设,存在着有条件的要素均等化。因此,对于任何两个国家 j 和 j ′,有
这里 R j 表示国家 j 的资本租金率, w j 表示国家 j 工资水平的观测值(它包含对人力资本的补偿)。举例而言,(3.33)式中的第二个方程表明,如果一个特定国家工人的有效单位(劳动)只相当于美国的一半,他们的收入也应该大约相当于美国工人收入的一半。
使用要素价格的相关数据,我们可以构建另一个 A j k 和 A j H 序列。结果显示,由(3.32)式和(3.33)式得到的 A j k 和 A j H 序列十分相似,因此看起来这种方法似乎可行。这种可行性使我们相信,特雷夫勒的研究得出的数值包含了重要信息。
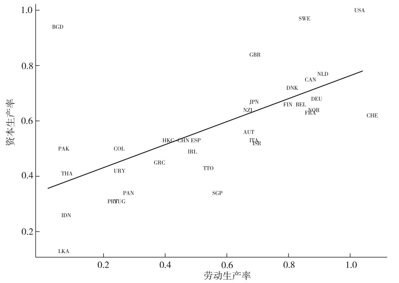
图3.4显示了特雷夫勒的原始估计值。图中的数字表明各国的劳动生产率之间存在着很大差异,资本生产率的差异虽然相对较小,但也很可观。例如,巴基斯坦的劳动生产率只有美国的1/25。相反,资本生产率的差异相对于劳动生产率的差异来说要小得多;巴基斯坦的资本生产率只有美国的一半。这些发现不仅本身非常有趣,而且与第15章中的定向技术变化模型具有高度一致性,这也许说明了技术变化从长期来看是劳动扩张型的。
将特雷夫勒研究方法中对生产率差异的估计结果与上一节得出的差异结果进行比较,也可以带给我们很多信息。图3.5和图3.6就做了这种比较。第一个图画出了用特雷夫勒方法估计的劳动生产率差异和前一节用柯布-道格拉斯生产函数得出的校准的总生产率差异。这两种方法得到的结果相似度很高,说明这两种方法都抓住了一些现实特征,而且事实上的确存在跨国生产率(技术)的显著差异。然而有趣的是,图3.6表明,校准后的生产率差异和资本生产率差异之间的关系要比和劳动生产率之间的关系弱得多。
图3.4 劳动生产率和资本生产率的跨国(或地区)差异比较
图3.5 特雷夫勒对劳动生产率的估计值与霍尔-琼斯校准后生产率差异比较
尽管特雷夫勒的方法比较有效,在此还是有必要强调一下该方法依赖的一些严格的假设条件。包括四个关键假设:
1.不存在国际贸易成本;
2.各国除了存在要素扩张型的技术差异以外,具有相同的生产函数;
3.各国具有相同的位似偏好;
4.世界经济高度一体化,从而导致有条件的要素价格均等化。
四个假设都在这样或那样的情形中不符合经验数据。显然,国际贸易成本包括运费、关税费用和其他贸易限制成本。现实中的生产率差异也比特雷夫勒假设的单一要素扩张型模型要复杂得多。另外,有确凿证据表明,消费行为中存在着本土偏好现象,这不符合模型中相同位似偏好的假设。最后,大部分贸易经济学家都认为,条件要素价格均等并不能很好地描述跨国要素价格差异。考虑到这些问题,我们需要更谨慎地看待特雷夫勒的研究结果。虽然如此,这种方法依然十分重要,一方面它显示了从不同渠道获取的数据和其他理论是如何用于估计跨国技术差异的,另一方面可以用来对第3.5节讨论的校准结果和估计结果进行交叉验证。
图3.6 特雷夫勒对资本生产率的估计值与霍尔-琼斯校准后的生产率差异比较
在本章中我们学到了哪些内容?本章的主要意义并不是发展新的理论。相反,本章主要研究我们能否使用索洛模型更好地解释跨国差异,并使用数据探讨索洛增长模型的优缺点。
简单的讨论行将结束,然而结论依然有些模糊。从积极的一面看,虽然模型比较简单,但索洛模型依然能够提供充足内容让我们用各种不同的模型分析数据,包括全要素生产率核算、回归分析和校准分析。另外,每种方法都使我们对长期经济增长和跨国收入差异的原因有了一些了解。
然而,从消极的一面看,没有哪种研究方法具有完全的说服力。每一种方法都依赖于一系列严格的辅助假设。因此,我们无法得出确定的结论。对索洛增长核算框架的最简单应用表明,技术是长期经济增长的主要来源。然而,有些人提出异议,认为如果调整物质资本和人力资本的质量,就会大大减少甚至消除增长残差。同样的争论也出现在对跨国收入差距的解释中。一些人认为将之主要归因于物质资本和人力资本的跨国差异就可以了,没有必要再去考虑技术差距,而另一些人则用合理的模型证明,绝大多数的跨国收入差异都源于技术因素。
既然不能达成一致意见,我们只能说目前的文献基本上都认为不能仅仅根据物质资本差异和人力资本差异,来理解跨国人均收入差距。换言之,跨国技术差异确实存在,而且这些技术差异是引起跨国收入和增长差异的核心因素。
因此,从这种数据研究中我们可以得到一个潜在的重要结论:技术进步不仅是基本索洛模型中导致经济增长的重要因素,而且是引起跨国收入差异的主要因素。因此,作为经济增长研究的一部分,我们有必要仔细考察技术进步过程以及家庭和企业的技术应用决策。这一论断促使我们在本书后面的内容中更深入地分析技术进步和技术应用问题。有必要再次强调,全要素生产率的差异并不一定源自狭义上的技术因素。如果两个国家都能掌握相同的技术,但是应用这种技术的方式不同、效率不同,或者当两国存在着不同程度的市场失灵或组织失灵,这些差异都会在全要素生产率差异中得到体现。由市场失灵或组织失灵引起的全要素生产率差异非常重要,这一观察主要来自严重的危机时期。当各国收入因为内战、政治不稳定、金融危机或其他原因剧烈下降时,几乎总是伴随着全要素生产率的下降(与此同时,资本存量几乎没有变化,劳动投入的变化也相对小很多)。自然,这种全要素生产率的下降并不是由技术倒退引起的,而是源于市场的破坏或破坏效率的其他因素。因此,应该从更广泛的角度理解技术差异,并且我们应该特别关注跨国生产率的差异问题。由此可见,要理解跨国全要素生产率差异,我们必须一方面研究它们使用的技术有何差异,另一方面也要研究它们是如何组织市场和企业的,以及它们如何激励经济中的各种行为主体。这种观点影响了本书剩余部分的内容安排,尤其为研究第四篇的内生技术变化以及第六篇和第七篇的技术和生产率的跨国差异做好了铺垫。
另外一点是,我们在本章中学到的内容似乎很有限。索洛模型要求我们将重点放在物质资本、人力资本和技术上,这些是引起跨国经济增长差异的直接原因。这些直接原因中的哪几个更重要以及它们如何影响经济表现,了解这两者都非常重要,不仅有助于我们更好地理解经济增长机制,也有助于我们知道应该关注哪种类型的模型。但是,从某种层面看(有些夸张),说一个国家之所以贫穷是因为缺乏足够的物质资本、人力资本以及技术,就相当于说一个人之所以贫穷是因为他或她没有钱。因此,说一些国家由于某些原因拥有更丰富的物质资本、人力资本和技术,就相当于说一个人由于某些因素比别人拥有更多的钱。在第1章,我把这些导致经济繁荣差距的因素称为根本原因,将它们与直接原因进行比较。要正确地理解经济增长和跨国收入差异,既需要分析直接原因,也需要分析经济增长的根本原因。前者是研究经济增长机制以及建立包含这些见解的合适的正式模型必需的。后者对于理解如下问题十分重要:为什么一些社会选择较低水平的物质资本、人力资本和技术,进而导致相对贫困。这个问题我将在第4章讨论。
增长核算框架是由索洛(1957)首次提出并加以运用的。乔根森、戈洛普和弗洛米尼(Jorgensen、Gollop and Fraumeni,1987)全面发展了该框架,强调完全竞争市场对该研究是充要条件。他们还强调了测算的困难,同时强调了对物质资本和人力资本质量的低估会导致高估技术对经济增长的贡献。乔根森(2005)对此进行了更新的研究。
对索洛模型的回归分析有较长的历史。比较新的研究包括鲍莫尔(1986)、巴罗(1991)以及巴罗和萨拉-伊-马丁(1992)。巴罗(1991)对增长回归的推广无人能及,使该方法在近20年来十分普及。德尔罗夫等人(Durlauf,1996;Durlauf、Johnsen and Temple,2005;Quah,1993)对增长回归做了各种批评,尤其是针对收敛问题。伍德里奇(Wooldridge,2002)的著作出色地分析了遗漏变量的偏误问题,并给出了几种解决办法(参见其著作的第4章、第5章和第8—11章)。读者在进行自己的实证分析之前,应该了解更多有关增长回归分析的经济学局限及其面临的计量经济学问题。
包含人力资本因素的扩展的索洛模型是对曼昆、罗默和威尔(1992)模型的一般化。如文中所述,把人力资本当成生产中的一个单独要素有些特殊,且不太符合微观事实。我们将在第10章讨论将人力资本纳入基本模型的其他方法。
曼昆、罗默和威尔(1992)还首次估计了索洛模型以及扩展的索洛模型。克雷诺和罗德里格斯(Klenow and Rodriguez,1997)详细批判了曼昆、罗默和威尔的研究。霍尔和琼斯(1999)以及克雷诺和罗德里格斯(1997)最早对跨国生产率差异进行了校准估计。卡塞利(Caselli,2005)对这些文献进行了精彩的综述,并详细讨论了应该如何修正物质资本和人力资本质量的跨国差异。他得出的结论是,这些修正不会改变克雷诺和罗德里格斯以及霍尔和琼斯有关跨国技术差异十分重要的基本结论。
第3.6.2小节引用了特雷夫勒(1993)的研究成果。特雷夫勒并没有强调该方法对生产率的估计,而是着重介绍了该方法可以用来验证赫克歇尔—俄林模型。虽然如此,这些生产率的估计结果仍是增长经济学家的重要研究资料。特雷夫勒的方法因为各种原因而受到批评,但对于我们的研究重点而言,这是次要的。感兴趣的读者可以参考加贝克斯(Gabaix,2000)以及戴维斯和维恩斯坦(Davis and Weinstein,2001)的相关论述。
3.1 假设产出由新古典生产函数 Y ( t ) =F ( K ( t ), L ( t ), A ( t ))给出,满足假设1和假设2,并有 t 期和 t + T 期的产出、资本和劳动力的观测值。假定我们用如下方程来估计全要素生产率在这两期之间的增长
其中
g
(
t
,
t+T
)代表
t
期至
t
+
T
期的产出增长,对其他的增长项都做类似的定义,
α
K
(
t
)和
α
L
(
t
)表示初期的要素份额。令
x
(
t
,
t+T
)为两期的实际全要素生产率增长。证明存在函数
F
使
(
t
,
t+T
)/
x
(
t
,
t+T
)可为任意大小。再证明用终期的要素份额估计全要素生产率时,得到的结果相同:
请问,初期和终期的要素比例(资本劳动比)差异在这些结果中的重要性如何?
3.2 像第2章的习题2.20的第二部分一样,考虑一个劳动市场不完全竞争的经济体,其中工人获得的收入占产出的比例为λ > 0。证明在该经济体中应用基本的增长核算方程将导致对全要素生产率的有偏估计。
3.3 对于例3.1中的柯布-道格拉斯生产函数 Y ( t ) =A ( t ) K ( t ) α L ( t ) 1-α ,推导出类似于(3.10)式的结果,并证明收敛速率,即(log y ( t )-log y * ( t ))前面的系数是log y ( t )的函数。
3.4 再次考虑例3.1中的生产函数。假设国家1和国家2有完全相同的技术,完全相同的参数 α 、 n 、 δ 和 g ,因此有相同的 y * ( t )。假设两国在 t =0时的初始状态为 y 1 (0) = 2 y 2 (0)。使用例3.1中的参数值,计算两国之间的收入差异降至10%需要多长时间。
3.5 考虑一个索洛经济体的集合,每个经济体都有不同的 δ 、 s 和 n 值。证明可以从(3.10)式的一个类似表达式中推导出一个等价于有条件收敛回归方程(3.13)的表达式。
3.6 证明命题3.2。
3.7 在扩展的索洛模型(见命题3.1和命题3.2)中,计算 s k 、 s h 和 n 的增长对 h * 和 k * 的影响。
3.8 设想有一个世界经济,它包含很多个由扩展的索洛增长模型表示的国家,这些国家有形如(3.16)式的生产函数。试推导该例中的基本增长核算方程的表达式,并解释如何使用该方程式和可得数据估计全要素生产率增长。
3.9 考虑没有人口增长和技术进步的基本索洛模型,其生产函数表示为
F
(
K
,
H
),其中
H
表示有效单位劳动(人力资本),且
,式中
表示所有人口的集合,
h
i
是指个体
i
的人力资本。假设
H
是固定不变的,不存在人力资本外部性,且要素市场是完全竞争的。
(a)计算该经济体的稳态均衡。
(b)证明:如果 h 升高10%伴随着个体收入增加 a %,那么国家的人力资本存量 H 增加10%将导致该国的稳态产出增加10%。将该结果与预料之外的 H 增加10%产生的影响进行比较(比如,考虑 H 增长了10%而资本存量没有改变)。
3.10 考虑国家 j 有一个规模报酬不变的生产函数, Y j =F ( k j , A j H j ),其中 k j 表示物质资本, H j 表示有效单位劳动, A j 表示劳动扩张型技术。证明:对于国家 j 和 j ′,若 k j / Y j = k j ′/ Y j ′,则两国的资本租金率 R j 和 R j ′也相等。
3.11 假设有国家 j= 1,…, J 的横截面数据,对于每个国家的每个时点,可以观测到劳动 L j 、资本 k j 、总产出 Y j 以及国民收入中的资本份额 α j k 。假定所有国家都有以下形式的生产技术函数:
其中 A 表示技术。假设 F 对 K 和 L 的规模报酬不变,且所有市场都是完全竞争的。
(a)解释如何仅用这些假设估计由 A 引起的(生产率)相对跨国技术差异。明确写出用于估计 A 对跨国收入差异影响的方程式。
(b)假定从(a)中得出了 A 能够显著影响跨国生产率差异的结论。那么,该如何解释?该结论是否意味着各国可能拥有不同的生产可能性集合?
(c)现在假设真正的生产函数是 F ( K , H , A ),其中 H 表示有效单位劳动。估计技术(生产率)对跨国产出差异的影响还需要什么数据?
(d)证明:若按照第3.5节计算 H ,但是教育质量存在显著差异, A 不存在差异,则这种方法将导致对 A 的估计产生显著差异。