



第1章介绍了一些基本事实并列举了一些主要问题,这些事实和问题涉及经济增长的长期源泉和跨国增长差异的原因。它们不仅是增长理论的核心,广义而言,也是宏观经济学和社会科学的核心。我们接下来的任务是建立一个简单的框架,这个框架可以帮助我们思考经济增长过程以及跨国收入差距的直接原因和机制。这个框架既可以用来研究经济增长的潜在根源,也可以用来进行简单的比较静态分析,以便了解什么样的社会特征有利于更高的人均收入水平和更快速的经济增长。
我们的出发点是所谓的索洛-斯旺模型。如此命名源于模型创立者——罗伯特(鲍勃)·索洛和特雷沃·斯旺,或者干脆叫索洛模型,因为两人中索洛名声更高。两位经济学家在同一年(1956年)分别发表了一篇开创性的文章介绍了索洛模型(Solow,1956;Swan,1956)。索洛后来对该模型做了很多扩展和应用,也因为这些贡献被授予诺贝尔经济学奖。索洛模型塑造的不仅仅是我们研究经济增长的方式,而且是整个宏观经济学的研究方式。因此,本章分析的一个伴生成果是对宏观经济学主力模型的详细说明。
索洛模型极其简洁。今天来看该模型,可能很难理解,与之前的经济增长模型相比,索洛模型是一个多大的理论突破。索洛模型出现之前,研究经济增长最常用的方法建立在哈罗德和多马模型的基础之上(Harrold,1939;Domar,1946)。哈罗德-多马模型强调经济增长的潜在功能失调,例如,经济增长如何可能与失业增加如影随形(见本章习题2.23)。索洛模型表明哈罗德-多马模型为什么不是一个有吸引力的研究起点。新古典总生产函数是索洛增长模型的核心,它显著区别于哈罗德-多马模型。这个函数不仅能够使索洛模型接壤微观经济学,也正如我们在后续章节中将要看到的那样,它还能够架起模型和数据之间的桥梁。
索洛模型与我们将在本书中学习的其他许多模型共同具有的一个重要特征是,简单抽象地表述复杂的经济。乍一看,索洛模型可能会显得过于简单或过于抽象。毕竟,要客观地处理增长过程或宏观经济平衡,我们必须考虑社会中具有不同偏好、能力、收入和充当不同角色的家庭和个体、各种各样的部门,以及各种力量之间错综复杂的相互影响。通过构建一个不考虑个体决策的单一产品经济,索洛模型规避了这些复杂性。因此,索洛模型既是研究的起点,也是通往更丰富模型的跳板。
本章将介绍基本的索洛模型。与之密切相关的新古典增长模型将在第8章予以介绍。
经济增长和经济发展是动态过程,因此有必要使用动态模型。尽管索洛模型异常简洁,但它仍然不失为一个动态一般均衡模型(尽管第5章强调的动态一般均衡模型的许多关键特征,如偏好和动态优化并没有出现在索洛模型)。
索洛模型既可以用离散时间表述,也可以用连续时间表述。我从离散时间版本开始,因为它在概念上更加简单,并且在宏观经济学里运用更加广泛。然而,许多经济增长模型用连续时间表述,接下来我将详尽阐释连续时间的索洛模型并证明通常它运算起来更方便。
考虑一个只有单一最终商品的封闭经济体。经济体以离散时间运行至无限期界,所以时间以下标 t =0,1,2,…表示,这里的时间段可以对应于每天、每周或每年。现在,我们不需要指定时间尺度。
经济体由大量的家庭组成。在整本书中,我交替无差异地使用家庭、个体和行为人这三个术语。因为未对家庭的优化问题明确建模,所以索洛模型对家庭的假设很少。家庭最优决策的缺乏是索洛模型与新古典经济增长模型的主要区别,后者是附带家庭最优决策的索洛模型。为使概念清晰,你可能假定所有家庭是相同的,所以该经济体显然也适用代表性家庭的存在,这意味着整个经济体的劳动需求和劳动供给决策就好像由一个单一的家庭行为来决定。代表性家庭的假设将在第5章详细讨论。
对于该经济体的家庭我们需要知道什么?答案是:并不多。我们还没有赋予家庭以偏好(效用函数)。相反,现在假定家庭将其可支配收入的一个外生固定的比例 s ∈(0,1)用于储蓄,而不考虑经济中发生的其他事情。这个假设与上一章提到的基本的凯恩斯模型和哈罗德-多马模型的假设是相同的。但这也与事实相悖,个体储蓄不会是他们收入的固定比例,如果家庭这样做,那就意味着即使政府宣布下一年大幅度加税,也对居民的储蓄决定没有丝毫影响,这似乎既不合理,也不符合经验事实。然而,储蓄率外生固定的假设是一个方便的起点,我们会在本书的其余部分花很多时间分析消费者有何行为,如何做出跨期选择。
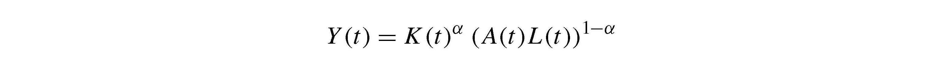
该经济的另一个关键行为人是企业。同消费者一样,现实中企业是高度异质性的。即使在一个狭义的经济部门中,也没有两家企业完全相同。但是,为简便起见,让我们再次从类似于代表性家庭的假设出发,只是现在运用于企业:假设该经济中所有企业都具有相同的最终产品生产函数,或者说,该经济中存在着具有代表性生产函数的代表性企业。我们将在第5章讨论代表性企业这一假设合理的前提条件。单一最终产品的总生产函数可以表示为
其中, Y ( t )是在 t 期的最终产品的生产总量, K ( t )是资本存量, L ( t )是总就业人数, A ( t )代表在 t 期的技术。就业可以用不同的方式测度。例如,我们可以把 L ( t )看作和工作时间或雇员人数相对应。资本存量 K ( t )对应于生产中使用的“机器”数量(或者更具体地,生产设备和建筑物),通常用机器的价值衡量。理解资本也有多种方式(同样地,设定资本如何形成的方法也有很多)。由于此处我们的目标是从一个简单可行的模型开始,我做了相当极端的假设:资本与该经济的最终产品完全相同。只是,与被消费掉的产品不同的是,资本被用来生产更多的产品。举个具体的例子,把最终产品想象成玉米。玉米既可以用来消费,也可以做种子,也就是当作要素投入以便未来生产更多的玉米。因此,资本对应于作为生产性种子的玉米数量。
另外,技术没有自然单位, A ( t )仅仅是生产函数(2.1)式的一个“移相器”。为了数学上的方便,我经常用数字代表 A ( t ),但是牢记这一点很有用:最终,它只是代表着更抽象的概念。正如第1章中提及的,我们可能经常要思考技术的广义概念,它包含了生产组织及市场组织对生产要素利用效率的影响。在目前的模型中, A ( t )代表所有这些效应。
索洛增长模型的一个主要假设是(也是我们将在第8章中学习的新古典增长模型的主要假设),技术是免费的:作为一种非排他性、非竞争性的公共品使用。回想一下,如果某种物品由某人消费或使用并不排除他人对该物品的消费或使用,则该物品就是非竞争性的。如果不可能防止他人使用或消费,则是非排他性的。技术无疑可以归入非竞争性和非排他性物品的行列。一旦社会拥有某种可以提高生产效率的有用知识,这种知识就可以被任何企业使用,而不会影响他人的使用。而且要防止其他企业使用这种知识是很难的(至少,一旦这种知识处于公共领域,而且不受专利保护)。例如,一旦社会知道如何生产车轮,每个人都可以使用这些知识生产车轮,同时并不会削弱别人做同样事情的能力(从而使生产车轮的知识具备非竞争性)。此外,除非某人在车轮生产上拥有的专利保护能得到良好的执行,否则,任何人都可以决定从事车轮生产(从而使生产车轮的专有技术具有非排他性)。技术具有非竞争性和非排他性这一假设的含义就是经济中的所有潜在企业都可以免费获取 A ( t ),因此,企业无须为使用这项技术支付费用。以技术免费使用的模型为起点,是理解技术进步的主要步骤,也是本书第四篇的重点。
顺便提请注意,一些经济学家在建立离散时间模型时,使用 x t 或者 K t ,在建立连续时间模型时,使用符号 x ( t )或 K ( t )。由于我反复使用连续时间和离散时间模型,所以我在全书中统一使用后一组符号。当没有混淆的危险时,我略去时间变量,但凡有丝毫混淆的危险,我就会谨慎地将时间参数考虑进来。
接下来我们对总量生产函数施加如下标准假设:
假设1:(连续性、可微性、正定性与边际产量递减、常数规模回报)
生产函数
是
K
和
L
的二阶可微函数,并满足
另外,生产函数 F 对于 K 和 L 规模报酬不变。
假设1的所有内容都非常重要。首先,表达式
表明生产函数中的自变量即生产要素取非负值(即
K
,
L
∈ℝ
+
)并映射到非负产出水平(
Y
∈ℝ
+
)。自然,资本水平和就业水平应该为正数。由于技术水平
A
没有自然单位,有可能为负值。但是,我们将其限定为正值也不失一般性。假设1的第二个重要方面是函数
F
对于其自变量是连续且可微的。有许多有趣的生产函数不具可微性,也有一些生产函数甚至不连续。但是,使用可微函数能够让我们使用微积分,而作为这种便利的代价便是损失了一点点一般性。假设1也设定边际产量为正(所以产出水平随要素投入递增),这个限制也排除了一些潜在的生产函数,并减少了复杂性(见习题2.8)。更重要的是,假设1要求劳动和资本的边际产量递减,即
F
KK
<0和
F
LL
<0,其结果是,如果其他要素投入不变,资本扩张带来的产出增加越来越少。同样的道理也适用于劳动力。这个性质有时也被称为劳动和资本的收益递减。资本收益递减的程度对基本增长模型的许多结果产生了重要影响。事实上,正是资本收益递减使索洛模型有别于之前的哈罗德-多马模型(见习题2.23)。
另外一个重要假设是规模收益不变。回忆生产函数 F 对于 K 和 L 规模报酬不变,如果 F 是线性齐次函数(1次齐次)。
定义2.1 令 K ∈ℕ,函数 g :ℝ K+ 2 →ℝ对于 x ∈ℝ , y ∈ℝ是 m 次齐次函数,如果,对于所有 λ ∈ℝ + 和 z ∈ℝ K
容易证明线性齐次性意味着生产函数是凹函数,虽然不一定严格为凹(见习题2.2)。因为如下定理,线性齐次(规模报酬不变)生产函数非常有用。
定理2.1(欧拉定理) 假设 g :ℝ K+ 2 →ℝ在 x ∈ℝ , y ∈ℝ上是可微的,对 x 和 y 的偏导数分别记为 g x 和 g y ,并且是 x 和 y 的 m 次齐次函数。则对于所有 x ∈ℝ, y ∈ℝ和 z ∈ℝ K ,有
证明 已知函数 g 可微且
公式(2.2)两边对 λ 求微分,得到
上式对任何 λ 都成立,令 λ =1,可以得到第一个结论。要得到第二个结论,将公式(2.2)两边分别对 x 求偏导数:
两边同时除以 λ 得证。
上一小节设定了家庭的行为与生产技术。下一步需设定禀赋,也就是经济开始时劳动和资本的数量以及禀赋所有者。现在我们需要厘清经济中的资源配置状况。资源(在既定的家庭和生产技术下)有多种配置方式,这取决于社会的制度结构。第5章至第8章探讨试图使家庭加权平均效用最大化的社会规划者可能如何配置资源,第八篇集中探讨对拥有政治影响力的人有利的资源配置。研究资源配置更为人们熟悉的框架是假定一系列市场制度,尤其是竞争市场制度。在竞争市场中,家庭和企业作为价格接受者追求自己的目标,价格使市场出清。竞争市场是个自然的基准,我从假定所有产品和要素市场都是竞争市场开始。当然,这并不是个全然无害的假定。例如,劳动市场和资本市场的不完全对经济增长有重要含义,产品市场的垄断力量在本书第四篇扮演重要角色。但是从竞争性框架着手研究可以更好地理解这些含义。
在考察竞争市场的交易之前,我们也要明确禀赋的所有者。由于竞争市场只有在资产及生产资料(至少部分的)私人所有的经济中才有意义,我们可以很自然地假设生产要素属于家庭。具体而言,我们假定家庭拥有所有劳动力,他们弹性地供应劳动力。例如,如果经济体的劳动禀赋等于人口数量
,且不管工资率高低——只要非负即可,所有这些劳动都被提供到市场上,则意味着劳动力供给是无弹性的。于是,劳动市场出清条件可以表示为:
对所有 t 成立,其中 L ( t )表示劳动需求(也是就业水平)。更一般地,我们可以写出这个等式的互补松弛形式。具体地,令 t 期劳动力的雇用成本或者工资为 w ( t ),劳动市场出清条件采取如下形式:
这一互补松弛公式确保劳动力市场不会在工资为负的条件下出清,或者劳动力需足够低,以至于在零工资时,就业水平低于
。然而,在本书大多数的模型中该问题并不存在,因为假设1和竞争性劳动力市场确保了工资严格为正(见习题2.1)。考虑到这个结果,全文我都使用更简洁的条件(2.3)并且把
t
期的劳动供给和劳动需求都记为
L
(
t
)。
家庭还拥有经济中的资本存量并将其出租给企业。我们将 t 期资本的出租价格表示为 R ( t )。资本市场出清条件类似于(2.3)式,要求企业的资本需求等于家庭的资本供给:
其中
代表家庭的资本供给,而
K
(
t
)表示企业的资本需求。在本书研究的这类模型中,资本市场出清显然是可以保证的。具体而言,只要在
t
期生产使用的资本数量(来自企业的优化行为)与家庭的禀赋和储蓄行为一致就行了。
假定家庭持有的初始资本存量 K (0)≥0是已知的(作为环境描述的一部分)。现在,初始资本存量如何在家庭成员之间分配并不重要,因为未对家庭最优决策明确建模,并且仅仅假定该经济体将其收入的一个份额 s 用于储蓄。当我们考虑下列附带家庭优化行为的模型时,对经济环境进行描述的一个重要部分就是设定家庭的偏好和预算约束。
现在,我也可以引入 t 期最终商品的价格,如 P ( t )。但是这样做没必要,因为该经济需要选择一个计价商品,其价格被标准化为1。尤其是,如第5章将详细讨论的,瓦尔拉斯法则(Walras's Law)说明一种商品的价格应该被标准化为1。事实上,我在全书中都做了较强的假定,在所有时期把最终商品的价格标准化为1。通常,计价物的选择不能超过一种商品,否则就需要确定计价物之间的相对价格。但是,正如第5章将要解释的,我们可以借鉴阿罗(1964)的洞见来定价一种证券,这种证券(资产)能够将某一时刻(或者某种状态)1单位的消费转移到另一时刻或另一状态。在动态经济的前提下,这意味着我们需要跟踪不同时期的利率,将之记为 r ( t ),该利率决定了跨期价格,使我们将每期最终商品的价格标准化为1。自然,我们也需要记录工资率 w ( t ),它决定了任一时期 t 的劳动力相对于最终商品的价格。
这些讨论强调了一个关键事实:本书中所有模型应该被理解为一般均衡经济,其中不同商品对应于不同时期的同一种商品。回忆一下基本的一般均衡理论就会知道同样的东西在不同时期(或不同状态或不同地点)就被理解为不同的商品。因此,因为时间趋向无穷远,在本书几乎所有模型中都存在无穷数量的商品。这会导致许多特殊问题,这些问题将在第5章及后续各章中探讨。
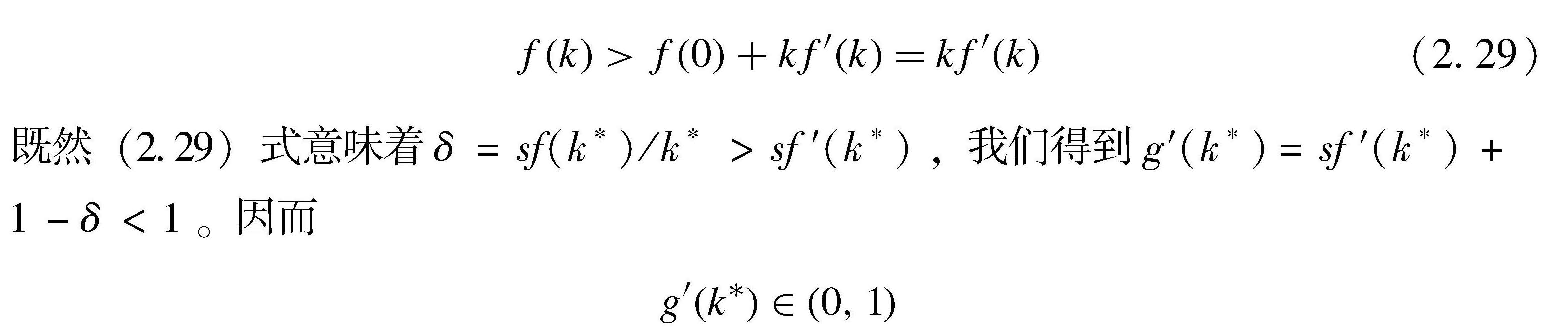
回到基本的索洛模型。下一个假设涉及资本折旧,意思是说,因为磨损,用于生产的机器在使用过程中损失了部分价值。以上文提到的玉米生产为例,有些作为种子的玉米不能够被消费或者在下一期继续当作种子使用。假定折旧采取指数形式,这在数学上非常易于处理。因此,资本以速率 δ ∈(0,1)折旧,对于1单位本期使用的资本,只有1- δ 部分留到下一期使用。尽管此处折旧代表机器的磨损,在更有现实意义的模型中,也可以表示新机器对旧机器的替代(见第14章)。
部分资本存量的损失影响家庭面临的利率(储蓄回报率)。给定指数折旧率 δ 和最终商品价格标准化为1的假设,家庭面对的利率为 r ( t ) =R ( t )- δ ,回忆一下 R ( t )代表 t 时期资本的租金价格。1单位的最终商品可以现在消费掉,也可以用作资本租给企业。后一种情形下,作为储蓄的租金价格,家庭在下一期收到 R ( t )单位的最终商品,但是损失了 δ 单位的资本持有,因为这个 δ 单位随时间折旧掉了。因此,家庭在时期 t -1放弃了1单位商品,而在时期 t 得到的商品数量为1 +r ( t ) =R ( t ) + 1- δ 单位,即有 r ( t ) =R ( t )- δ 。 r ( t )和 R ( t )之间的关系解释了资本的利率和租金价格符号间的相似性。家庭面临的利率在后文家庭的动态优化决策中起到关键作用。而在索洛模型中,利率并不直接影响资源的配置。
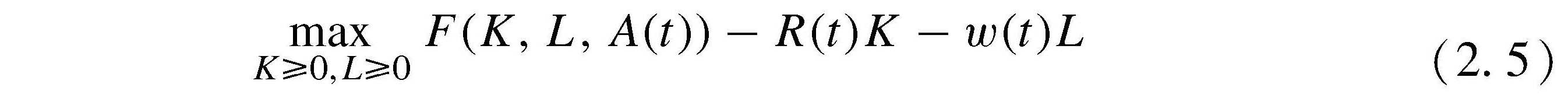
现在我们应该考察企业的优化问题和这个经济的竞争均衡。全文假定企业的目标是最大化利润。假定存在一个总量生产函数,考虑代表性企业就足够了。除非特别说明,我始终假定资本市场运行良好以至于企业能够在现货市场租用资本。对于给定的技术水平 A ( t )、要素价格 R ( t )和 w ( t ),代表性企业在 t 期的利润最大化问题可以表示为如下的静态优化问题:
当存在不可逆的投资或者调整成本,正如第7.8节讨论的,企业的优化问题变成动态的。但是如果没有这些特征,每个时期分别求最大化利润等价于求最大化利润的净现值。这一特征大幅简化了分析。
还有一些特征值得注意:
1.给定代表性企业,利润最大化问题以加总变量来设定并没有损失一般性。
2.生产函数 F 项未与任何数相乘,因为最后总商品的价格被标准化为1。因此(2.5)式的第一项是代表性企业的收益(或者该经济中所有企业的收益)。
3.这种表达优化问题的方式已经采用了竞争性要素市场的条件,因为把企业的劳动力和资本的租金价格 w ( t )和 R ( t )视为既定(以最终商品为计价物)。
4.因为生产函数 F 是凹函数,目标函数也是凹的(见习题2.2)。
一个重要问题是,因为生产函数表现为规模收益不变(假设1),最大化问题(2.5)式可能不存在有意义的解(见习题2.3)。要么不存在任何解( K , L )能够实现该(无限期界)规划的最优值,要么 K = L =0,要么存在能实现该规划最优值的( K , L )的多个解(此时该最优值恰好为零)。这个问题与如下事实相关:在规模收益不变的世界里,每个企业的规模是不确定的(只有总量是确定的)。因为(2.5)式并未采用市场出清的条件,也会导致同样的问题。竞争均衡要求所有企业(自然包括代表性企业)实现最大化利润和要素市场出清。具体而言,所有时期对劳动力和资本的需求必须等于这些要素的供给(除非要素价格为零,但这已经被假设1排除)。这个结论意味着代表性企业获得零利润,否则企业会希望雇用到任意大量的资本和劳动,以致超出有限的供给。该结论也表明,总的劳动需求 L 必须等于可用的劳动供给 L ( t )。类似地,资本总需求 K 也应该等于总供给 K ( t )。否则,如果 L<L ( t ),就会存在超额劳动供给,从而均衡工资等于零。但是这与企业最大化假设不一致,因为给定假设1,代表性企业就会愿意雇用足够多的、超过供给的劳动力。这个论点与生产函数是可微的事实(假设1)一起,意味着给定 t 期的资本 K ( t )和劳动力供给 L ( t ),要素价格必须满足如下常见的条件,即要素价格等于边际产出 [1] :
欧拉定理(定理2.1)则证实了在价格(2.6)式和(2.7)式下,企业(或代表性企业)获得零利润。
命题2.1 假定假设1成立,则在索洛模型的均衡结果中,企业赚取零利润,并且
证明 对于常数规模报酬( m= 1)的情形,该结果直接得自定理2.1。
既然均衡时企业利润为零,我们不需要明确设定企业所有权。我们只需要知道企业是利润最大化的实体。
除了这些关于生产函数的标准假设,在分析经济增长和宏观经济均衡时,通常需要设定以下边界条件——稻田条件。
假设2(稻田条件) F 满足稻田条件:
这些条件的作用——尤其在确保内部均衡的存在性方面——将会在后续章节中变得很清晰。稻田条件意味着第一单位的劳动力和资本生产率非常高,而当资本或者劳动力足够充裕时,其边际产量接近于零。条件 F (0, L , A ) = 0对于所有 L 和 A 都成立,这表示资本是重要投入。本书中这个条件可以放宽而不会对本书的结论产生任何重要影响。图2.1表明,在两种情形下,对于给定的 L 和 A ,生产函数 F ( K , L , A )是 K 的函数。图2.1A满足稻田条件,而图2.1B不满足。
图2.1 生产函数:图2.1A满足假设2的稻田条件,图2.1 B不满足
在本书的大部分内容中,我会反复提及假设1和假设2,这两个假设可以被看成新古典技术假设。基于这个原因,给它们的编号独立于本章的等式、定理和命题。
接下来我将介绍离散时间的索洛模型中经济增长的动态表现。
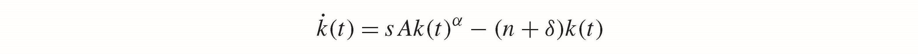
回顾前面, K 是以指数型速率 δ 折旧,于是资本存量的运动法则由如下方程决定:
其中 I ( t )代表 t 时期的投资。
从封闭经济的国民收入核算得知,最终商品的总数量必定要么被消费要么被投资,因此
其中, C ( t )是消费。 [2] 根据(2.1)式、(2.8)式和(2.9)式,经济中的任何可行配置必须满足:对于 t =0,1,…有
要决定的问题是可行配置里的均衡动态配置。此处,家庭储蓄占收入固定比例的规则大大简化了均衡结构(这是个行为规则,因为此规则不是从最大化定义良好的效用函数推导出来的)。该假设的一个含义是任何基于索洛模型的福利比较分析都应当慎重,因为我们根本不了解家庭的偏好。
由于该经济是封闭的(且没有政府支出),总投资等于总储蓄:
有关家庭将其收入的一个固定比例 s ∈(0,1)用于储蓄的假设可以表示为:
这反过来意味着消费占收入的比重为1- s ,因此
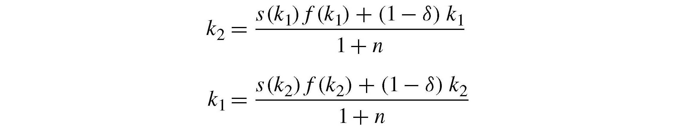
就资本市场出清而言,(2.10)式表明源自家庭行为的 t +1时期的资本供给可表示为 K ( t+ 1) = (1- δ ) K ( t ) +S ( t ) = (1- δ ) K ( t ) +sY ( t )。令供需相等并结合(2.1)式和(2.8)式,就会得到索洛增长模型的基本运动法则:
这是一个非线性差分方程。索洛增长模型的均衡由(2.12)式以及 L ( t )和 A ( t )的运动法则描述。
索洛模型混合了旧凯恩斯模型和现代动态宏观模型。对于消费或储蓄,家庭不做最优化决策。相反,它们的行为由(2.10)式与(2.11)式决定。然而,企业仍然会追求最大化利润,同时要素市场出清。因此,以现代动态宏观模型常用的方式定义均衡是有用的。
定义2.2
在基本的索洛模型中,对于给定的
序列,以及初始资本存量
K
(0),均衡路径是资本存量、产出水平、消费水平、工资率以及租金率
的一个序列。这个序列使
K
(
t
)满足(2.12)式,
Y
(
t
)由(2.1)式给出,
C
(
t
)由(2.11)式给出,
w
(
t
)和
R
(
t
)分别由(2.6)式和(2.7)式给出。
关于定义2.2最应该注意的一点是,均衡被定义为配置和价格的完整路径。经济均衡不是静态的,而是经济的完整行为路径。还要注意,定义2.2把市场出清条件(2.6)式和(2.7)式包括进均衡定义。这是宏观和增长模型的标准做法。另一种定义涉及用更加抽象的术语描述均衡,我们将在第8章新古典增长的框架中讨论(详见定义8.1)。
从以下假设(本章后文将会放宽这些假设)开始是有益的:
1.模型中没有人口增长,总人口被固定在某个常数 L> 0。此外,由于家庭无弹性地供给劳动力,有 L ( t ) =L 。
2.不存在技术进步,于是 A ( t ) =A 。
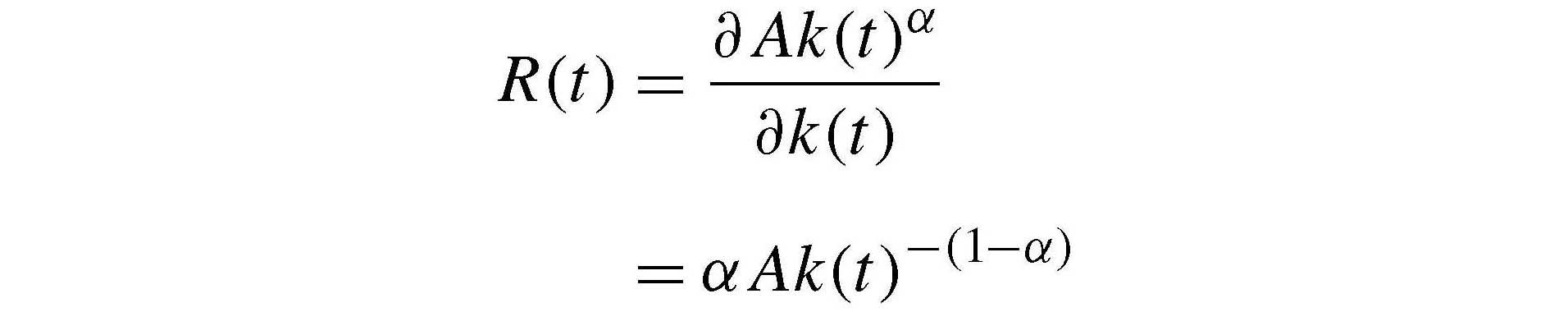
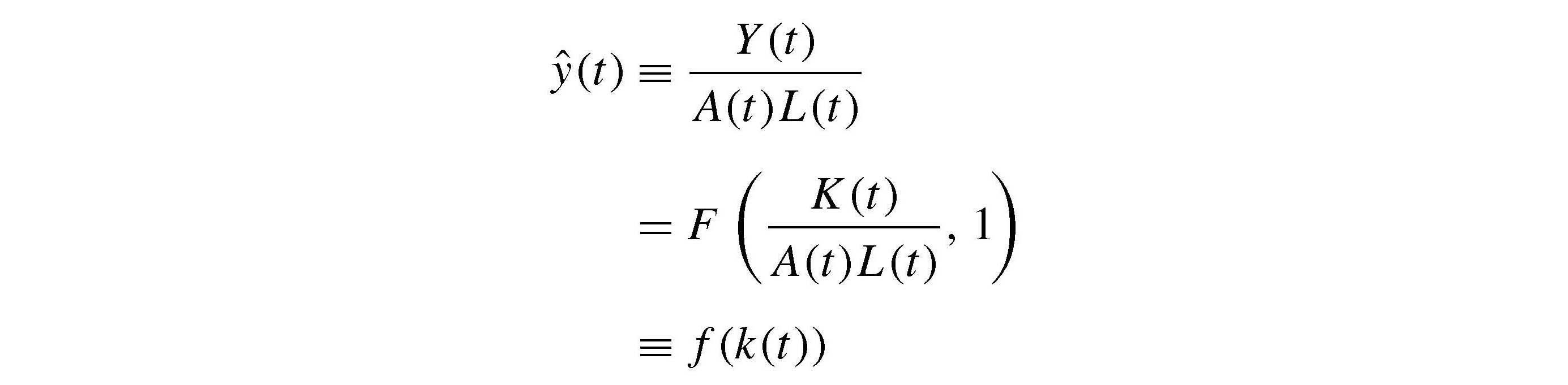
让我们把该经济体的资本劳动比定义为
这是分析的一个关键对象。现在应用规模收益不变的假设,人均产出(收入) y ( t )≡ Y ( t )/ L ,可被表示为:
换言之,如果规模收益为常数,人均产出仅仅是资本劳动比的函数。注意此处 f ( k )依赖于 A ,所以我本可以写为 f ( k , A )。我不这样写是为了简化符号,也因为直到第2.7节才出现技术进步。因此,到目前为止 A 是常数,并可以标准化为 A =1。 [3] 资本的边际产出和租金价格可由 F 对其第一个变量求导,即 f ′( k )得到。劳动的边际产出和工资率由定理2.1决定,所以
两种要素价格皆为正数是因为假设1,它保证了 F 对劳动和资本的一阶导数总为正数。
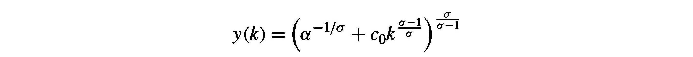
例2.1(柯布-道格拉斯生产函数) 我们考虑宏观经济学中最常见的生产函数的例子,即柯布-道格拉斯生产函数。此处,需要先强调的是,即使柯布-道格拉斯生产函数非常便利且广泛使用,它仍然非常特殊,并且排除了本书后面将会讨论的许多有意思的现象。柯布-道格拉斯生产函数可以写成如下形式:
易于证明该生产函数满足假设1和假设2,包括了假设1施加的规模收益不变的特征。两边同时除以 L ( t ),(2.14)式中的人均生产函数变成:
其中 y ( t )代表劳均产出。如(2.13)式定义的, k ( t )是资本劳动比。(2.15)式中要素价格的表达式也可以证明。根据人均生产函数表达式,尤其是(2.15)式,资本租金价格可以表示为:
或者,就原始生产函数(2.16)式而言,(2.7)式中资本的租金价格由下式给出:
这等价于上一个表达式,并因此证明了(2.15)式中的边际产量形式。类似地,从(2.15)式可以得到:
这个表达式证明了(2.6)式中工资率的替代表达式。
回到对一般生产函数的分析中,总量生产函数的人均表达式使我们能够用 L 去除(2.12)式的两边,以获得如下资本收入比演变的简单差分方程:
既然上式是从(2.12)式推导得来的,它也可以被称为索洛模型的均衡差分方程,描述了模型的关键变量——资本劳动比——的均衡反应。其他的均衡数量也可以从资本劳动比 k ( t )中得到。
基于此,现在让我们定义该模型的稳态均衡。
定义2.3 没有技术进步和人口增长的稳态均衡是一条均衡路径,其中所有时期有 k ( t ) =k * 。
稳态均衡时,资本劳动比固定为常数。因为没有人口增长,这意味着资本存量也将固定在常数水平上。数学上,一个稳态均衡对应于均衡差分方程(2.17)式的一个稳定点。本书的大多数模型允许存在一个稳态均衡,这也适用于这个简单模型。
对代表经济均衡行为的差分方程(2.17)式绘制图表,可以观察到稳态的存在,如图2.2所示。实线代表(2.17)式的右边,虚线为45度线。两条线(正)的交点决定了资本劳动比 k * 的稳态值,该稳态值满足如下条件:
注意图2.2中(2.17)式和45度线在 k =0处还有另外一个交点。第二个交点出现是因为根据假设2,资本是重要的要素投入,因此 f (0) = 0。从 k (0) = 0开始,没有储蓄,因此该经济体将停留在 k= 0(的水平)。然而,自始至终这个交点被忽略有几个原因。首先,只有当资本是关键生产要素且 f (0) = 0, k= 0才是稳态均衡。但是正如前文提到的,这个假设可以放宽而不会影响接下来的分析。当 f (0) > 0, k= 0就不再是稳态均衡,这在图2.3中清楚地表明了,该图描绘了 f (0) =ε , ε >0时的(2.17)式。其次,正如我们在后面将会看到的,这个交点,即使存在,也是不稳定的均衡点,因此,从 K (0) > 0(或者 k (0) > 0)出发,经济永远不会趋于该点。最后,也是最重要的原因,这个交点对于我们而言没有什么经济学意义。 [4]
图2.2 没有人口增长和技术进步的索洛模型中稳态资本劳动比的确定
图2.3 当 f (0) =ε> 0时,基本索洛模型中唯一的稳态均衡
另一种图形化的表达式认为,稳态是通过原点、斜率为 δ 的射线(代表函数 δk )与函数 sf ( k )的交点。图2.4展示了这个表达式,就两个目的而言也是有益的。第一,在一幅图里描绘了消费水平和投资水平。稳态均衡时,横轴与 δk 的垂直距离为稳态均衡的人均投资水平(等于 δk * ),而在 k * 处,函数 f ( k )与 δk 线的垂直距离是人均消费水平。显然,这两者之和为 f ( k * )。第二,图2.4还强调了索洛模型的稳态均衡本质上是让投资 sf ( k )等于需要更新的资本数量 δk 。当模型需要考虑人口增长和技术进步时,这个解释特别有用。
该分析导出了如下命题(按照惯例,忽视在 k =0处的交点,即使 f (0) = 0)。
图2.4 稳态均衡的投资和消费
命题2.2 考虑基本的索洛增长模型,同时假定假设1和假设2都成立。则必定存在一个唯一的稳态均衡,其中资本劳动比 k * ∈(0,∞)满足(2.18)式,人均产出表示为
且人均消费为
证明
之前的论述证明了任何满足(2.18)式的
k
*
都是稳态。为了证明存在性,请注意根据假设2(以及洛必达法则,见附录A定理A.21),有
。而且,根据假设1,
f
(
k
)
/ k
是连续函数,所以根据中值定理(定理A.3)必定存在
k
*
满足(2.18)式。为了证明唯一性,将
f
(
k
)
/ k
对
k
求导得到:
其中(2.21)式的最后一个等式利用了(2.15)式。由于 f ( k )/ k 在每一处都是(严格)递减的,只能存在唯一的 k * 满足(2.18)式。根据定义,可得(2.19)式和(2.20)式。
通过一系列举例,图2.5说明了要想证明命题2.2的存在性和唯一性,假设1和假设2为什么必不可少。在前两幅图里,违背了假设2会导致稳态均衡不存在,而第三幅图显示,违背假设1会导致稳态均衡的非唯一性。
图2.5 假设1、假设2不满足时,内部稳态不存在与不唯一的例子
到目前为止,该模型异常简洁:模型参数很少并对真实世界的很多特征做了抽象。理解国家之间某些参数的差异如何转化为增长率或产出水平的差异是我们关注的重点。下一个命题将建立两者的联系。但是,在此之前,让我们先以简洁的方式概括生产函数,假定
其中
A
>0, 所以
A
可理解为一个转移参数(shift parameter), 更大的数值则对应于更高的要素生产率。这种生产率类型被称为“希克斯中性”(见下文)。在这里,它仅仅是对国家之间生产率差异设置参数的权宜之计。既然
f
(k) 满足上文施加的正则条件,那么
也满足。
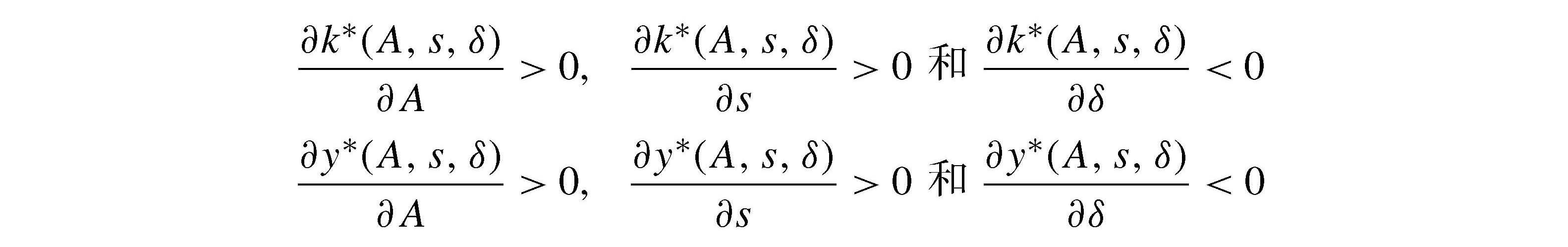
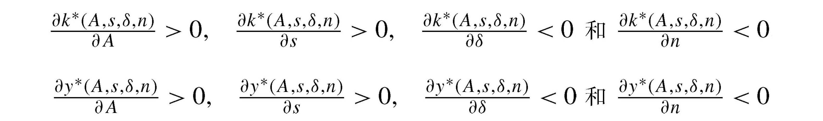
命题2.3
假定假设1和假设2成立且
。当参数是
A
、
s
和
δ
时,把稳态水平的资本劳动比记为
k
*
(
A
,
s
,
δ
),稳态产出记为
y
*
(
A
,
s
,
δ
)。则有:
证明 写成如下形式可以很快得到证明
该表达式对于 k * 、 A 、 s 和 δ 的开集成立。现在,应用隐函数定理(定理A.25,证明立即完成。例如
其中, w * =f ( k * )- k * f ′( k * ) > 0。其他结果的证明类似。证毕。
因此,储蓄率更高、技术更先进的国家将拥有更高的资本劳动比,也更加富裕。而(技术)折旧率更高的国家资本劳动比倾向于更低,也更加贫穷。命题2.3的所有结果非常符合直觉,使我们可以初步了解国家间资本劳动比和产出水平的潜在决定因素。
对于 A 和 δ 的比较静态分析也同样适用于 c * 。然而,显而易见的是, c * 不是储蓄率的单调函数(例如,考虑一下 s =1的极端情形)。事实上,存在一个被称为“黄金律”储蓄率的唯一储蓄率 s gold ,这个储蓄率最大化稳态消费。既然我们将储蓄率当作外生参数,而且至今也没有设定家庭的目标函数,我们不能判断黄金律储蓄率是否优于其他储蓄率。然而,刻画黄金律储蓄率对应的其他参数非常有趣。为此,我们先写出 c * 和 s 之间的稳态关系,并且暂不考虑其他参数:
其中,第二个等式利用了稳态时 sf ( k ) =δk 的事实。现在将第二行对 s 求导数(再次利用隐函数定理)得到:
我们把黄金律储蓄率
s
gold
定义为使
的储蓄率。对应的稳态黄金律资本存量定义为
。这些数值以及消费和储蓄率的关系描绘在图2.6中。下一个命题表明
s
gold
和
都是唯一确定的。
图2.6 最大化稳态消费的黄金律储蓄率
命题2.4
在基本的索洛模型中,稳态消费的最高水平在
s
gold
达到,相应的稳态资本
使
换言之,存在由(2.23)式决定的唯一一个储蓄率
s
gold
和对应的资本劳动比
,
能够最大化稳态消费水平。当经济的资本劳动比低于
,更高的储蓄率使稳态消费增加,而当经济体的资本劳动比高于
,更低的储蓄率使消费增加。后一种情形,低储蓄转化为高消费是因为资本劳动比过高,家庭投资过度而消费太少。这是在第9章将详细讨论的动态无效率现象的本质。现在,由于这里没有明确的效用函数,所以关于无效率的表述必须谨慎考虑。事实上,当消费储蓄决策内生化后,很多读者都能明了这种类型的动态无效率适用面很窄的原因。
命题2.2证明了(有正活动的)唯一稳态均衡的存在。回忆一下,均衡路径不仅仅是稳定状态,而且是资本存量、产出、消费和要素价格的完整路径。这一点非常重要,应当牢记,尤其是在经济学中术语“均衡”的使用有别于其他学科。在工程学和物理学中,均衡概念通常是指动态系统的一个静止点,也就是至今我称为稳态均衡的那个概念。当系统偏离稳态时,人们会说该系统处于“失衡”状态。然而,在经济学中,经济体的非稳态行为也受到市场出清以及家庭和企业优化行为的制约。大多数经济学家都会花费很多时间致力于非稳态情况的研究。因而我们对经济的完整均衡路径也很感兴趣,而不仅仅对其稳态感兴趣。
为了理解简单经济均衡路径是什么样的,我们需要研究从任意初始资本劳动比 k (0) > 0出发的均衡差分方程(2.17)式的转移动态(transitional dynamics)。从任意的资本劳动比开始的经济体是否会收敛于稳态,以及经济体是如何沿着转移路径(transition path)运动的,这两个问题的答案尤其激发了我们的兴趣。回想一下,在经济开始时,资本总量 K (0) > 0被当作状态变量,而目前劳动供给固定。因此,在时刻 t =0,经济体以任意资本劳动比 k (0) =K (0)/ L> 0作为其初始值,并且遵循差分方程(2.17)式给出的运动法则。因而,问题变成以任意资本劳动比为初始值,方程(2.17)式是否会把我们带到唯一的均衡点。
回答这个问题之前,回忆来自动态系统理论的一些定义和关键结果。附录B提供了更多细节以及一些更深入的结果。考虑如下自治差分方程的非线性系统,
我把x * 称为差分方程(2.24) 式的稳定点。 [5] 稳定性的相关含义将在下一个定义介绍。
接下来的定理给出了线性差分方程系统稳定性的主要结论。以下定理都是附录B中介绍的主要结论的特殊情形。
定理2.2(线性差分方程系统的稳定性) 考虑如下线性差分方程系统:
遗憾的是,我们对于非线性系统更难展开讨论,但是如下定理是一个标准的局部稳定结论。
定理2.3(非线性差分方程系统的局部稳定性) 考虑如下非线性自治系统:
其中 D G代表G的偏导数矩阵(雅可比矩阵)。假定A的所有特征根都严格位于单位圆的内部。则差分方程(2.26)的稳态x * 是局部(渐近)稳定的,这意味着:存在x * 的一个开邻域B(x * )⊂ℝ n ,可使从任意初始值x(0)∈B(x * )开始,都有x( t )➝x * 。
从定理2.3很容易得到如下有用的推论。
推论2.1
1.令 x ( t ), a , b ∈ℝ。如果 a <1,则线性差分方程 x ( t+ 1) =ax ( t ) +b 的唯一稳态是全局(渐近)稳定的,则有 x ( t )→ x * =b /(1- a )。
2.令 g :ℝ→ℝ在稳态 x * 的邻域是可微的,定义为 g ( x * ) =x * ,同时假定| g ′( x * )| < 1。则非线性差分方程 x ( t+ 1) =g ( x ( t ))的稳态 x * 是局部(渐近)稳定的。此外,如果 g 是连续可微的且对所有 x ∈ℝ满足| g ′( x )| < 1,则 x * 是全局(渐近)稳定的。
证明 第一条推论可由定理2.2直接得到。第二部分 g 的局部稳定性可从定理2.3得到。由于
现在我们把推论2.1运用到索洛模型的均衡差分方程(2.17)式,来证明稳态均衡的局部稳定性,从推论2.1不能直接得到全局稳定性的结论(因为| g ′( x )| < 1不再对所有 x 均成立)。但可以运用一个略有不同的论证来证明这一性质。
命题2.5 假定假设1和假设2成立。则由差分方程(2.17)式刻画的索洛增长模型的稳态均衡是全局渐近稳定的。从任何 k (0) > 0出发, k ( t )单调收敛于 k * 。
证明 令 g ( k )≡ sf ( k ) + (1- δ ) k 。首先注意到 g ′( k )存在且一直严格为正,即 g ′( k ) > 0对所有 k 成立。接着,从(2.17)式可知
在 k * 具有唯一的稳态。从(2.18)式得知,稳态资本存量 k * 满足 δk * =sf ( k * ),或者
现在请回忆由假设1可知 f (·)是凹且可微的,且由假设2可知 f 满足 f (0) = 0。对于任何严格为凹的可微函数,我们有(回忆附录A的事实A.23):
则推论2.1证明了局部渐近稳定。
为了证明全局稳定,请注意对于任何 k ( t )∈(0, k * ),有
其中第一行来自(2.27)式减去(2.28)式,第二行再次使用了微积分基本定理(定理B.2),最后一行来自 g ′( k ) > 0对于所有 k 成立的观察。接下来,(2.17)式也意味着
这个稳定性结论可以在图2.7中看到。从任何小于稳态资本存量 k * 的初始资本存量 k (0) > 0出发,经济增长到 k * ,并且经历资本深化的过程——表示资本劳动比是提高的。伴随资本深化的是人均收入增加。相反,如果经济从 k ′(0) >k * 出发,通过资本消散和收缩的过程(也就是负增长),经济的资本存量会降至稳态水平。
图2.7 基本索洛模型中的转移动态
下一个命题是命题2.5的直接引理。
命题2.6
假定假设1和假设2成立,且
k
(0)
<k
*
。则
是一个递增序列,并且
是个递减序列。如果
k
(0)
>k
*
,则相反的结论成立。
证明 见习题2.9。
回想如果刚开始的时候,经济体中的资本相对于劳动非常稀缺,资本劳动比将会上升。因为资本收益递减,所以资本边际产量下降而工资率上升。反之,如果开始时资本存量过多,资本会开始耗散,在此过程中工资将下降而资本收益率上升。
目前的分析已经证明索洛模型具有良好的特性:唯一的稳态、全局(渐近)稳定性以及简洁而直观的比较静态分析。只不过迄今为止模型还未考虑增长问题。稳态只是这样一个点,在这个点上,没有资本劳动比的增加,没有资本深化,也没有人均产出的增长。结果,基本的索洛模型(不考虑技术进步)只能实现沿着转移路径到稳态的增长(开始于 k (0) <k * )。然而,这种增长是不可持续的:它随着时间的推移越来越慢并最终消失。第2.7节证明了索洛模型可以通过允许外生技术进步讨论经济增长问题。在此之前,观察一下离散时间与连续时间表达式的差异是有益的。
前面说过,时期 t =0,1,…可以指代天、周、月或者年。从某种意义上说,时间单位本身并不重要。时间跨度选择的随意性暗示着把时间单位压缩得尽可能小,也就是连续时间,对于考察动态可能更方便。尽管许多现代宏观经济学(除了经济增长理论)使用离散时间模型,然而,许多增长模型是建立在连续时间基础之上的。连续时间框架有许多优点,因为当使用连续时间模型时,离散时间模型的一些荒谬结论会消失(见习题2.21)。而且,在进行动态分析时,连续时间模型更灵活并且在更宽松的条件下,可以获得非常确定的解。正是这些考虑促使本书对离散时间和连续时间模型都进行详细研究。
我们从一个简单的差分方程开始:
这个方程表明,在时期 t 与 t +1之间, x 的绝对增长由 g ( x ( t ))给出。假设时间比离散时间指标 t =0,1,…划分得更细。极端地看,我们可以把时间视为可任意细分的,则有 t ∈ℝ + 。在这种情况下,(2.30)式为我们提供了变量 x 在两个离散时间点 t 与 t +1之间如何变化的信息。在这两个时期之间,我们不知道 x 如何演化。然而,如果 t 与 t +1相隔不是很远,如下的近似对于任意 Δt ∈[0,1]是合理的:
当 Δt =0,这个方程恰为恒等式。当 Δt =1,这个方程可写为(2.30)式。在0和1之间它是一个线性近似表达式。如果 t 与 t +1之间的距离较小,这个近似会相对更加准确,以致对于所有 x ∈[ x ( t ), x ( t +1)],均有 g ( x )≃ g ( x ( t ))(然而,你也应该确信如果函数 g 是高度非线性的,即其行为在 x ( t )和 x ( t+ 1)之间变化剧烈,这可能也是个非常糟糕的近似)。现在在等式两边同除以 Δt 并取极限得到
我在全书中都使用符号“·”表示对时间求导数,即
(
t
)≡
dx
(
t
)/
dt
。方程(2.31)式是微分方程,与
t
和
t
+1之间非常小时的差分方程(2.30)式代表同样的动态。
现在我们使用连续时间表达式重复所有的分析。供给方没有任何变化,所以我们继续使用(2.6)式和(2.7)式代表要素价格,只不过现在代表瞬时租金率。例如 w ( t )代表工人在 t 期获得的工资流。储蓄仍然由下式决定
而消费仍然由(2.11)式给出。
我们也在模型中引入人口增长并假定劳动力 L ( t )成比例增长,也就是
这样做的目的是在许多经典的经济增长分析中,人口增长扮演了关键的角色,所以有必要观察人口增长是如何影响均衡的。这里仍然假定没有技术进步。
回想一下
这意味着
其中我使用了来自(2.32)式的事实,
。从极限形式可以得到上一小节中的(2.31)式,资本存量的运动法则可表示为
利用资本劳动比的定义 k ( t )和生产函数的常数规模报酬性质,连续时间索洛模型的基本运动法则可写为
其中,遵循惯例,用 k ( t )去除两边,我把方程左边部分转化为资本劳动比的变化率。 [6]
定义2.5
在连续时间的基本索洛模型中,人口增长速度为
n
,没有技术进步且初始资本存量为
K
(0),均衡路径是资本存量、劳动力、产出水平、消费水平、工资和租金率六个变量的路径
,使
L
(
t
) 满足(2.32) 式,
k
(
t
)≡
K
(
t
)/
L
(
t
) 满足(2.33) 式,
Y
(
t
) 由(2.1) 式给出,
C
(
t
) 由(2.11) 式给出,
w
(
t
)和
R
(
t
) 分别由(2.6) 式和(2.7) 式给出。如前一样,稳态均衡意味着
k
(
t
) 维持在某个
k
*
的水平。
如前一样,稳态均衡意味着 k ( t )维持在某个 k * 的水平。
很容易证明均衡微分方程在 k * 处存在唯一的稳态,对(2.18)式稍加修改,将人口增长考虑进来即可得到:
换言之,从离散时间到连续时间假定,并未改变模型的任何基本特征。因此,稳态同样可以在类似于图2.1的图中刻画出来,只是现在考虑了人口增长。图2.8表示考虑了人口增长的稳态均衡,还强调了不管人口增长存在与否,稳态的逻辑是一样的。投资的数额 sf ( k )被用来补充资本劳动比,但是现在补充的原因有两个。资本存量以指数化方式折旧,折旧率为 δ 。另外,资本存量必须伴随人口的增长而增长,以维持资本劳动比的固定水平。因此,需要补充的资本存量为( n+δ ) k 。
图2.8 考虑人口增长的稳态均衡中的投资和消费
命题2.7 考虑连续时间下的基本索洛模型,并假定假设1和假设2成立。则必然存在一个唯一的稳态均衡,其中资本劳动比等于 k * ∈(0,∞)且满足(2.34)式,人均产出由 y * =f ( k * )决定,而人均消费由 c * = (1- s ) f ( k * )决定。
证明 见习题2.5。
另外,再次定义
,如下命题成立。
命题2.8
假定假设1和假设2成立,且
。当参数是
A
、
s
、
δ
和
n
时,稳态水平的资本劳动比记为
k
*
(
A
,
s
,
δ
,
n
),稳态产出记为
y
*
(
A
,
s
,
δ
,
n
)。则我们有
证明 见习题2.6。
相对于之前的比较静态命题(命题2.3),新的结论是更高的人口增长率 n 降低了资本劳动比和人均产出。其原因非常简单:更高的人口增长率意味着更多的劳动者使用现存数量的资本,而现存资本扩张缓慢,因此均衡的资本劳动比最终会降低。这个结果说明人口增长率更高的国家其人均(或每个工人的)收入会更低。
分析连续时间的转移动态和稳定性会带来和第2.3节相似的结论,分析本身却更加简洁。首先回忆一下微分方程系统稳定性的基本结论。更详细的内容也包含在附录B。
定理2.4(线性微分方程系统的稳定性) 考虑如下的线性微分方程系统:
初始值x(0),对于所有的 t ,x( t )∈ℝ n ,A是 n × n 矩阵,b是一个 n× 1的列向量。令 x * 为微分方程Ax * + b = 0决定的稳态。假定A的所有特征根都有负的实部。则微分方程(2.35)的稳态 x * 是全局渐近稳定的,其含义是:从任意 x (0)∈ℝ n 出发, x ( t )→ x * 。
定理2.5(非线性微分方程系统的局部稳定性) 考虑如下的非线性自治微分方程:
其初始值为x(0),这里G:ℝ n →ℝ n ,令x * 为系统的稳态,即G(x * ) = 0,并且假定G在x * 处是可微的。定义
并且假定A的所有特征根都有负的实部。则微分方程(2.36)的稳态x * ,是局部渐近稳定的,其含义是:存在x * 的一个开放邻域B(x * )⊂ℝ n ,可使从任意x(0)∈B(x * )开始,有x( t )→x * 。
再一次直接得到如下引理。
推论2.2
1.令
x
(
t
)∈ℝ。如果
a
<0,则线性微分方程
(
t
)
=ax
(
t
)的稳态是全局渐近稳定的(就
x
(
t
)→0而言)。
2.令
g
:ℝ→ℝ在由
g
(
x
*
)
=
0确定的稳定点
x
*
的邻域是可微的,并假定
g
′(
x
*
)
<
0。则非线性微分方程
(
t
)
=g
(
x
(
t
))的稳定点
x
*
是局部渐近稳定的。
3.令
g
:ℝ→ℝ连续可微。假定
g
(
x
*
)
=
0而且对所有
x
>
x
*
,
g
(
x
)
<
0;所有
x
<
x
*
,
g
(
x
)
>
0。则非线性微分方程
(
t
)
=g
(
x
(
t
))的稳态
x
*
是全局渐近稳定的,即从任意
x
(0)出发,有
x
(
t
)→
x
*
。
证明 见习题2.10。
需要注意,在离散时间的情况下,与推论2.2第3部分对应的等式不成立。这个观察的含义将在习题2.21加以说明。
考虑到这些结论,命题2.5将该结论简单推广到离散时间。
命题2.9 假定假设1和假设2成立。则人口增长率为常数以及没有技术进步的连续时间基本索洛增长模型的稳态均衡是全局渐近稳定的。也就是从任何 k (0) > 0出发, k ( t )唯一收敛到 k * 。
证明 现在对稳定性的证明就更加简洁了,可以从推论2.2的第3部分直接得到。请注意,当 k < k * 时, sf ( k )-( n+δ ) k> 0;而当 k > k * 时, sf ( k )-( n+δ ) k< 0成立。证毕。
图2.9对稳定性做了分析。该图刻画了(2.33)式的右边。很显然,当
k
<
k
*
时,
>0;而当
k
>
k
*
时,
<0,结果资本劳动比单调收敛至稳态值
k
*
。
图2.9 基本索洛模型中的资本劳动比的动态变化
例2.2(动态柯布-道格拉斯生产函数) 我们回到例2.1引入的柯布-道格拉斯生产函数:
如前所述,柯布-道格拉斯生产函数的特殊之处主要在于其资本和劳动之间的替代弹性等于1。对于一个位似生产函数 F ( K , L ),替代弹性定义如下
其中 F K 和 F L 分别代表资本和劳动的边际生产率(当 F K / F L 仅仅是 K / L 的函数时, F 是位似函数)。对于柯布-道格拉斯生产函数而言, F K / F L =αL /((1- α ) K ),因而 σ =1。这个特征说明,当生产函数为柯布-道格拉斯生产函数并且要素市场是竞争性市场时,均衡要素份额是常数,与资本劳动比无关。尤其是,国民收入中的资本份额为
类似地,劳动收入份额为 α L ( t ) = 1- α 。因此,当替代弹性等于1时,随着资本数量增加,其边际产量等比例下降,结果资本份额(资本数量乘以其边际产量)始终固定不变。
回忆一下,对于柯布-道格拉斯技术,人均生产函数采取 f ( k ) =Ak α 的形式,所以稳态仍然由(2.34)式决定(人口以速率 n 增长):
或者
这是一个稳态资本劳动比的简单表达式。显然, k * 随 s 和 A 递增,随 n 和 δ 递减(自然,这些结论与命题2.8中的结论一致)。此外, k * 随 α 递增,因为更大的 α 意味着更小的资本收益递减,因而,需要一个更高的资本劳动比把资本的平均收益降低到与(2.34)式给出的稳态水平相一致。
这种情况下的转移动态也是显而易见的,具体表示为:
其初始条件为 k (0) > 0。为求解这个方程,令 x ( t ) ≡ k ( t ) 1-α ,所以资本劳动比的均衡变动法则可以用 x ( t )重新表述为
这个线性微分方程有一个通解:
(见附录B)。用资本劳动比表示这个解,得到如下结果:
这个解表明从任意 k (0)出发,均衡资本存量 k ( t )→ k * = ( sA /( n+δ )) 1/(1-α) ,而且,事实上,调整速度与(1- α )( n+δ )相关。更具体地, k (0)和稳态资本存量 k * 的距离以指数速度(1- α )( n+δ )收窄。该结果非常直观:更高的 α 意味着更小的资本收益递减,这降低了资本的边际常量和平均产量随资本扩张下滑的速度,从而也降低了向稳态调整的速度。类似地, δ 越小,折旧越少; n 越低,人口增速越低,这两者都降低了人均资本的调整速度,从而也降低了转移动态的速度。
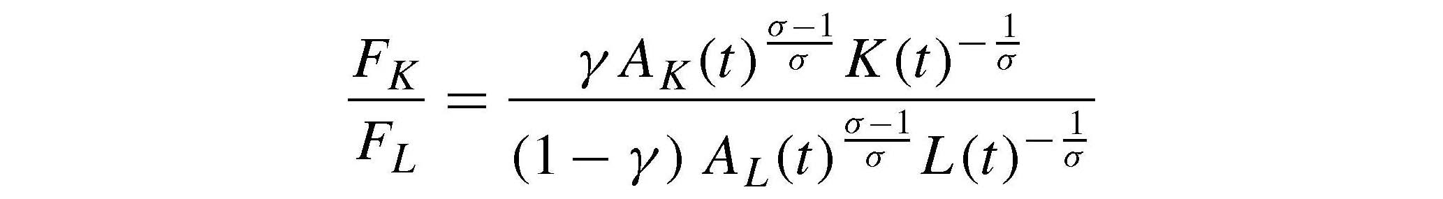
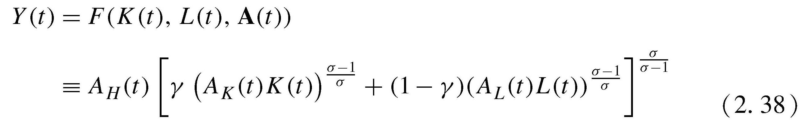
例2.3(替代弹性为常数的生产函数) 柯布-道格拉斯生产函数具有替代弹性为1的特征,是固定替代弹性生产函数的特殊情形,该生产函数最早由阿罗等人提出(Arrow et al,1961)。这个生产函数的替代弹性为常数 σ ,并不必然等于1。考虑一个向量值指数技术A( t ) = ( A H ( t ), A K ( t ), A L ( t ))。则固定替代弹性(CES)生产函数可以被表述为:
其中 A H ( t ) > 0, A K ( t ) > 0和 A L ( t ) > 0是将在第2.7节进一步讨论的三种不同的技术变化类型; γ ∈(0,1)是分配参数,决定了劳动和资本服务对于决定最终产品生产的重要性; σ ∈[0,∞]是替代弹性。要确认它是固定替代弹性,让我们运用(2.37)式。资本与劳动的边际产量之比 F K / F L ,由下式决定
因此,替代弹性的确由 σ 决定,也就是
固定替代弹性生产函数尤其有用,因为它比柯布-道格拉斯生产函数适用性更广也更加灵活,虽然柯布-道格拉斯生产函数也可以用。当 σ →1,固定替代弹性生产函数(2.38)式趋近于柯布-道格拉斯生产函数
当 σ →∞,固定替代弹性生产函数变成线性的,也即
最后,如果 σ →0,固定替代弹性生产函数趋近于里昂惕夫生产函数,要素之间没有替代:
里昂惕夫生产函数的特殊之处在于,如果 γA K ( t ) K ( t )≠(1- γ ) A L ( t ) L ( t ),资本或者劳动略微减少对产出及要素价格没有影响,从这个意义上讲资本或者劳动有一部分是闲置的。习题2.23描述了固定替代弹性生产函数的一些特征,而习题2.16沿着阿罗(1961)的开创性论文的思路给出了该生产函数的另一种推导。注意到 σ >1的固定替代弹性生产函数违反了假设1(见习题2.24),所以在资本和劳动的总生产函数中,我们将 σ ≤1看作基准情况。
如果没有技术进步,索洛模型能否产生持续增长?答案是可以,但是必须放松迄今为止我们施加的一些条件。柯布-道格拉斯生产函数(例2.2)已经证明,当 α 接近于1,资本劳动比率调整到其稳态水平可能非常缓慢。与(迅速)落定在稳态相比,朝着稳态缓慢调整有持续增长的意味。事实上,就柯布-道格拉斯生产函数而言,持续增长的最简单模型实质上取了 α =1。为了构造这样一个模型,让我们放松假设1和假设2(它们不允许 α =1),并且考虑所谓的 AK 模型,其中
A >0是一个常数。此处的结果适用于更一般的放宽了假设2的规模收益不变生产函数,例如:
不过我们可以比较简单地说明(2.39)式的主要观点,而把生产函数由(2.40)式决定的情形留到习题2.22分析。
我们继续假定,和以前一样,人口以固定速率 n 增长(见(2.32)式)。然后结合(2.32)式与生产函数(2.39)式,资本存量的基本运动法则变成
上式显示,当参数满足不等式 sA - δ - n >0时,资本劳动比以及人均产出将会有持续增长。接下来的命题概括了这个结论。
命题2.10 考虑索洛模型,其生产函数由(2.39)式给出,并假定 sA - δ - n >0,则均衡时,人均产出以速率 sA - δ - n 持续增长。特别是,从任意资本劳动比 k (0) > 0出发,经济的资本存量为
人均产出为
这个命题不仅证明了持续增长的可能性,也说明当总生产函数由(2.39)式给出时,即使没有转移动态也可获得持续增长。不管初始资本劳动比是多少,经济始终以速率 sA - δ - n 增长。图2.10以图形显示了这一动态均衡。
图2.10 线性AK生产技术下的持续增长(其中 sA - δ - n >0)
AK模型是否给出了一个解释经济持续增长的良好方法?尽管简洁性为其增色不少,然而该模型有许多特点不那么令人满意。首先,该模型不满足假设1和假设2,其结果也多少有些难以预料;此外,它要求生产函数最终是资本存量的线性函数。与第一点相关的第二点是,这个特征意味着随时间推移,国民收入中分配于资本的份额将逐渐增加到1(如果不是一开始就等于1的话)。下一节将会证明这个趋势看上去与实际数据不符。最后也是最重要的一点是,大量证据显示,技术进步是理解经济增长过程的主要(也许是最重要的)因素。没有技术进步的持续增长模型未能反映经济增长的这个重要方面。考虑到这些因素,我们下一步的任务是把技术进步引入基本索洛模型。
截至目前,我们分析的模型没有涉及技术进步。现在我引入 A ( t )的变化以反映该经济体的技术进步。无疑,与以前相比,当今人类社会知道如何并且更高效地生产更多的产品。人类社会的生产性知识在过去200年突飞猛进,与过去1 000年或者10 000年相比,进步更为明显。这提示我们,把经济增长引入已有框架的一条有效途径是容许技术进步采取 A ( t )的变化形式。
关键问题是如何将 A ( t )变化对总量生产函数的影响建模。标准的方法是对技术进步的形式(及其对总量生产函数的影响)制定规则,这就要求最后的分配结果与平衡增长相一致,正如所谓的“卡尔多”事实定义的那样(Kaldor,1963)。卡尔多注意到,尽管人均产出一直增加,但是资本产出比、利率以及收入在资本与劳动间的分配大致维持不变。例如,图2.11显示了美国国民收入中劳动和资本份额的演化。在本书中,平衡增长指的是这样一种配置:产出以固定速度增加,而资本产出比、利率以及要素份额保持不变(显然,这四个特征中的前三个隐含着第四个特征)。
图2.11 美国GDP中的资本和劳动占比
图2.11显示,尽管要素份额存在大幅波动,却无趋势可言。此外,一系列证据表明从较长的时间看,利率水平没有明显的趋势(也可参见Homer and Sylla,1991)。这些事实以及20世纪70年代之前资本产出比相对固定使许多经济学家偏爱具有平衡增长的模型,而非没有平衡增长的模型。国民收入中的资本份额以及资本产出比并非严格固定。例如,虽然对国民收入中的资本份额以及资本产出比的测算因人而异,但是,20世纪70年代以来,这两个指标或许都上升了。然而,固定的要素份额以及固定的资本产出比提供了与现实的良好近似,也为模型提供了非常实用的研究起点。
注意图2.11中,国民收入中的资本份额约为1/3,劳动份额约为2/3。这一点在以后将会用到。这个估计忽视了土地的份额,现代经济中,土地不是主要的生产要素(对于历史上以及当前的欠发达经济体而言,这样的假设并不正确)。习题2.11讨论了把土地纳入这个框架后,分析会有什么改变。我们还要注意到,这种收入要素分配模式和经济学家希望使用简单模型的要求,常常使他们选择 AK 1/3 L 2/3 形式的柯布—道格拉斯生产函数作为对现实的近似(尤其是这样建模能够保证要素份额的固定)。然而,下面的定理2.6证明了柯布-道格拉斯技术对平衡增长并非必要,而且正如例2.2显示的那样,柯布-道格拉斯生产函数既特殊又有局限性。
具有平衡增长的模型的另一个主要优点是,与没有平衡增长的模型相比,这种模型分析起来更加容易。因为平衡增长的存在,分析起来便利多了,描述经济运动法则的方程可以用差分方程或微分方程表示,而这些方程的转移变量有定义良好的稳态(因此,平衡增长意味着
=0, 只是现在k的定义不同)。这使我们能够运用静态模型的分析工具研究持续增长的经济。然而,现实中增长具有很多非平衡特征,记住这一点很重要。例如,在增长过程中,不同部门的份额存在系统性变化,农业部门持续衰退,生产制造业先繁荣后衰落。最后,我们希望建立模型把这些平衡特征与结构转换类型结合起来。在本书第七篇中,我们将回过头来讨论这些问题。
平衡增长对我们的模型施加了什么类型的限制?事实证明这个问题的答案“非常多”。生产函数
F
(
K
(
t
),
L
(
t
),
A
(
t
))太过一般化,难以获得平衡增长,只有一些特殊类型的生产函数与平衡增长一致。为了看清楚这一点,考虑一个加总生产函数
并且定义不同类型的中性技术进步。第一个可能性如下:
对应于某个规模收益不变的生产函数
F
。这个生产函数形式意味着技术项
A
(
t
)仅仅是另外一个(准)生产函数的一个倍增常数(multiplicative constant)。这种生产函数以英国著名经济学家希克斯命名,称为希克斯中性生产函数。图2.12通过绘制函数
的等产量线,说明了这种类型的技术进步。函数
与给定技术
A
(
t
)下的劳动和资本组合相对应,而生产水平是常数。在图2.12A中,希克斯中性技术进步对应于不同位置的等产量线(其形状没有任何改变)。
另一种可能性是资本增进型或者说索洛中性技术进步,该种技术进步采取如下形式
也被称为“资本扩张型进步”,因为更高的 A ( t )等价于拥有更多资本的经济。与这类技术进步对应的等产量线向内移动就好像资本轴在萎缩(因为更高的 A 对应于更高水平的有效资本)。这种类型的技术进步如图2.12B所示,其中 A ( t )翻了一倍。
图2.12 (A)希克斯中性,(B)索洛中性,以及(C)哈罗德中性转移的等产量线
最后,我们还有劳动增加型或者由哈罗德(在哈罗德-多马模型中已经见过)命名的哈罗德中性技术进步(图2.12C):
这个函数形式意味着技术进步对产量的提升就好像经济体拥有更多的劳动,图2.12C大致描绘了等产量线的这种移动形式,其A( t )同样翻了一倍。
当然,实际中的技术变化可能是这三者的混合,所以我们有技术的向量值指数A( t ) = ( A H( t ), A K( t ), A L( t ))以及如下形式的生产函数
该式表现了例2.3介绍的固定替代弹性生产函数。即使如此,(2.41)式依然是对技术进步形式的限制,因为总的来说技术 A ( t )的变化会调节整个生产函数。
尽管所有这些类型的技术进步初看上去都很合理,接下来我们将看到,只有当所有技术进步是劳动扩张型或哈罗德中性时,长期平衡增长才有可能实现。这个结果很令人惊讶也很麻烦,因为没有特别让人信服的原因证明技术进步应该采取这种形式。在第15章中,我们会回过头来讨论长期技术变化为什么是哈罗德中性的。
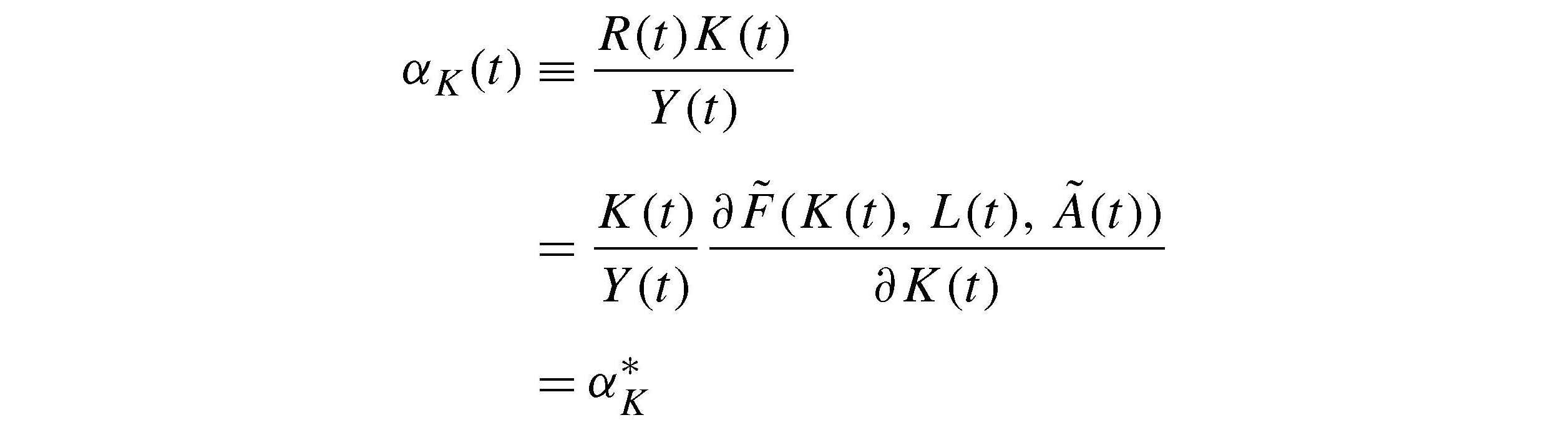
以上讨论表明,平衡增长的关键因素是要素份额以及资本产出比 K ( t )/ Y ( t )是固定的。国民收入中资本和劳动份额分别为
由假设1和定理2.1,有 α K ( t ) +α L ( t ) = 1。
定理2.6的一个版本最早由杰出的增长理论家宇泽弘文(Uzawa,1961)证明。而此处的论述以及证明是基于施利希特(Schlicht,2006)最近的论证。该定理证明,产出、资本以及消费的固定增长结合规模收益不变,表明总生产函数必定具有哈罗德中性技术进步(纯粹的劳动扩张型)。为了简单且不失一般性,我关注连续时间模型。
定理2.6(宇泽定理Ⅰ) 考虑一个增长模型,其总生产函数为
两边同除以exp( g K ( t - T )),对所有 t ≥ T ,可得到
将前面等式对时间微分,对所有 t ≥ T ,可得到
( 第二部分 ) 对所有 t ≥ T , T 期的总生产函数可以表示为
由于(2.42)式对所有
t
≥
T
成立,而且
是
K
和
L
的一次齐次函数,所以,必定存在一个一次齐次函数
使
重新改写得到
其中
这就完成了定理第二部分的证明。
这个定理的显著特征是,其表述与证明没有考虑任何均衡行为。它只是充分利用了如下事实:生产函数对资本和劳动呈规模收益不变,其配置
有一个特征,即在
T
期之后,产出、资本和消费以相同的固定速率增长。然而,请注意这个定理成立的前提假设是,在某个(有限的)
T
期之后,产出、资本和消费都有一个固定增长率。一个更可靠的结果要求当
t
→∞,同样的结论成立。习题2.14包含了定理2.6在这个方向上的一般化,也说明了为什么需要在这种情况下施加一些额外条件。
在对定理2.6给出一个经济学的直观解释之前,我们先陈述这个定理的一个简单引理,这个引理对于后文的讨论以及直观解释都非常有用。
推论2.3 在定理2.6的假设下,对于所有 t ≥ T ,技术进步可以表示为哈罗德中性(单纯的劳动增加型)。
根据定理2.6以及这个引理,我们可以说“技术进步必须是渐进哈罗德中性的”,这显得有滥用术语之嫌。
现在让我们对宇泽定理给出一个直观解释。这个定理假定存在资本积累,也即 g K >0。第一部分意味着只有产出和资本以同样速度增长,资本积累才有可能。要么经济增长率等于人口增长率 n ,此时没有技术变化(命题也适用于 g Y =0),要么经济体呈现人均收入以及资本劳动比的增加( g K =g Y > 0)。后一种情形产生了资本和劳动间的不对称,资本积累比劳动积累得更快。于是固定增长率要求技术变化以消除这种不对称,亦即技术应该采取劳动增加型。
然而,这一直观解释并没有说明技术应该采取劳动扩张型(哈罗德中性)的原因。该定理及其引理只是简单地表明,如果技术不采取这种形式,产出、资本和消费增长率固定(从而平衡增长)的(渐进)配置是不可能实现的。某种意义上说,这个结果令人沮丧,因为它暗示平衡增长(事实上比平衡增长更弱)只有在非常严格的条件下才可能实现。第15章证明了当技术是内生的时候,这一直观解释意味着,技术应该是内生的劳动扩张型而非资本扩张型。
同时请注意,定理2.6及其引理并没有说技术进步在所有时间都必须是劳动扩张型的。相反,在 T 期之后(沿着平衡增长路径),技术进步应该是劳动扩张型的。这是特定类型的内生技术模型将会产生的模式(再次参考第15章的讨论)。更重要的是,与教科书以及文献通常宣称的相反,定理2.6并没有断言当 t →∞,资本扩张型(索洛中性)技术进步是不可能的。它只是说,在 T 期之后,如果经济存在平衡增长,资本扩张型技术进步不可能发生。习题2.17提供了一个简单的例子,其中存在渐近资本扩张型技术进步,渐进平衡增长是有可能的(当 t →∞,定理2.6中的条件得到满足)。
同样应当强调的是,定理2.6并不要求 Y ( t ) =F ( K ( t ), A ( t ) L ( t )),只是说总产出有一个这种形式的表达式。例如,如果总生产函数是柯布—道格拉斯型的,也就是
则 A K ( t )和 A L ( t )都可能以固定速度增长且维持平衡增长。然而,在这个柯布-道格拉斯生产函数的例子中,我们可以定义 A ( t ) =A K ( t ) α /(1-α) A L ( t ),生产函数可以被表示为
结果技术进步被表述为纯粹的劳动增加型,这也是定理2.6要求的。从直觉上看,当劳动和资本的替代弹性不等于1时,技术进步的劳动扩张型与资本扩张型(以及希克斯中性)之间的差异非常重要。在柯布-道格拉斯情形下,正如我们前文所见,替代弹性等于1。因而哈罗德中性、索洛中性以及希克斯中性的技术进步只是相互之间的简单转换。
定理2.6并没有具体说明要素价格如何变化。正如本小节开头指出的,卡尔多事实也要求要素份额是固定的。既然资本和产出以固定的速度增长,资本的租金价格也必然是固定的。定理2.6(结合竞争性要素市场)隐含着要素份额为常数的性质吗?不幸的是,答案是不一定。这与2.6中的一个隐含限制有关。定理2.6说明最初的生产函数
(
K
(
t
),
L
(
t
),
(
t
))沿着增长率固定的渐进路径有一个形如
F
(
K
(
t
),
A
(
t
)
L
(
t
))的表达式。但是这并不能保证
和
F
对
K
和
L
的导数相等。习题2.19提供了一个生产函数
满足定理2.6所有条件的例子(因而承认当
t
→∞时,存在形如
F
(
K
(
t
),
A
(
t
)
L
(
t
))的表达式),但是其导数与
F
的导数不一致。事实上,这道习题表明,对于竞争市场,当
t
→∞时,这个生产函数
F
引致了要素价格的任意变化。然而,下一个定理证明了沿着平衡增长路径,其中要素份额是保持不变的,
和
F
的导数是一致的,反之亦然。
运用定理2.6的证明中同样的观点,我们可以写成
利用
K
、
L
是
K
和
L
的零次齐次函数的事实(参考定理2.1),前两个方程可以被重新改写成
把这个结果与(2.44)式相比较,对于所有 t ≥ T ,我们得到结论,
为了证明定理的第二部分,只需要注意,如果要素市场是竞争的,对于 t ≥ T ,我们可得到,
其中第二行利用了竞争市场中资本的租金价格的定义,第三行利用了(2.43)式以及 F 是一次齐次函数的事实。
定理2.7表明,任何增长率固定的产出、资本和消费的配置必定是一个平衡增长路径(其中,要素在国民收入中的份额也是固定的)。该定理也说明平衡增长只能通过具有哈罗德中性技术变化特征的总生产函数来实现。
对定理2.6进一步的直观认识来自定理2.7。假定生产函数采取特殊形式 F ( A K ( t ) K ( t ), A L ( t ) L ( t ))。定理2.7表明,当 t →∞时,要素份额必须是常数。因此,给定不变的规模报酬,只有当总资本投入 A K ( t ) K ( t )和总劳动投入 A L ( t ) L ( t )以相同速度增长时, T 期之后的平衡增长才有可能。否则,要么资本份额,要么劳动份额将不是常数。但是,如果总资本和总劳动投入以同样的速度增长,则产出 Y ( t )一定也以该速度增长(还是因为规模收益不变)。稳态时,资本产出比是常数的事实意味着 K ( t )必须和产出,进而和 A L ( t ) L ( t )以同样的速度增长。因此,只有在 T 期之后 A K ( t )是常数,平衡增长才可能实现。
现在,我将分析连续时间中的有技术进步的索洛增长模型。离散时间的分析与连续时间的分析类似,在此我略去细节以免重复。定理2.6意味着,当经济经历平衡增长,生产函数一定采取如下表达式
其中技术进步采取纯粹的劳动增加型。于是,大多数宏观分析和增长分析都假定这种形式贯穿始终(对所有 t ),并且技术进步速度为 g >0,也就是
我们也从这个假设开始。同时假定人口和(2.32)式一样,以速度 n 增长。再次利用储蓄率固定的假设,资本积累遵循如下微分方程
分析这个经济体的最简单方法是用一个规范化的变量来代表其他项。既然劳动的“有效”或者效率单位由 A ( t ) L ( t )给出,并且 F 对这两个变量呈规模收益不变。现在我把 k ( t )定义为有效的资本劳动比(资本除以劳动的有效单位)使
尽管用同一个符号 k ( t )表示较早的资本劳动比和现在的有效资本劳动比有可能会引起混淆,但是,不考虑技术进步的索洛模型的资本劳动比与考虑劳动扩张型技术进步的有效资本劳动比发挥着相同的作用,因此这种符号表述是合理的。
把这个表达式对时间求微分得到
每单位有效劳动的产出量可以表示为
人均收入为 y ( t )≡ Y ( t )/ L ( t ),所以
应当清楚,如果 ŷ ( t )是常数,人均收入ŷ( t )将随时间增长,因为 A ( t )在增长。这个结果强调,在该模型以及考虑技术进步的更一般模型中,我们不应该寻找人均收入不变的稳态,而是应该寻找一条平衡增长路径,在平衡增长路径上,人均收入以固定速度增长,而转换变量(transformed variables),如 ŷ ( t )或者(2.49)式的 k ( t )保持不变。既然这些转换变量保持不变,平衡增长路径可以被理解为转换模型的稳态。根据这一观察,在考虑技术进步的模型中,我交替使用“稳态”和平衡增长路径。我们将看到与第2.7.1节的定义一致,该平衡增长路径配置也具备资本劳动比、利率以及国民收入中要素份额固定的特征。
下一步,将(2.47)式中的
(
t
)代入(2.49)式得到
利用(2.48)式得到
这个表达式与(2.33)式中不考虑技术进步的模型中的资本劳动比运动方程非常相似。唯一的差别是 g 的出现,它反映了 k 不再是资本劳动比,而是有效资本劳动比的事实。因此,为了让 k 在平衡增长路径上保持稳定,资本劳动比需要以速率 g 上升。
该模型中的均衡与以前的定义相似。反过来,稳态或者平衡增长路径被定义为有效资本劳动比 k ( t )是常数的一个均衡。因此以下命题成立(证明略)。
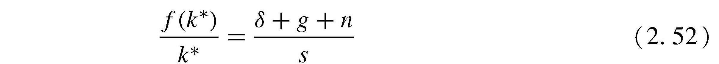
命题2.11 考虑连续时间的基本索洛增长模型。技术进步为哈罗德中性,速率为 g ,人口增长速率为 n 。假定假设1和假设2成立,定义有效资本劳动比如(2.48)式所示,则存在一条唯一的平衡增长路径,其中有效资本劳动比等于 k * ∈(0,∞),由如下等式决定
其中人均产出和消费以速率 g 增长。
等式(2.52)决定了平衡增长路径的(稳态)有效资本劳动比,强调了当前总储蓄 sf ( k )因为三个不同的原因被用来重置资本存量。第一个原因还是速率为 δ 的折旧。第二个是速率为 n 的人口增长(降低了人均资本)。第三个是哈罗德中性技术进步。当资本劳动比保持固定时,哈罗德中性技术进步以速率 g 降低了有效资本劳动比。于是重置有效资本劳动比要求总投资等于( δ+g+n ) k ,这是对(2.52)式的直观解释。
比较静态分析的结果也与以往情况类似,并具有与劳动增加型初始技术水平 A (0)(给定(2.46)式的假设,所有时点的技术水平 A ( t )完全由 A (0)决定)相关的额外的比较静态。
命题2.12 假定假设1和假设2成立, A (0)代表初始技术水平,把有效资本劳动比的平衡增长路径水平记为 k * ( A (0), s , δ , n , g ),人均产出水平记为 y * ( A (0), s , δ , n , g , t )(因为随时间增长,后者是时间的函数)。则
并且对于任意时间 t ,有
证明 见习题2.25。
最后,有技术进步的经济的转移动态(transitional dynamics)与没有技术进步的经济体的转移动态是相似的。
命题2.13 假定假设1和假设2成立,则具有哈罗德中性技术进步和人口增长的连续时间索洛增长模型有一个渐近稳定的平衡增长路径,即从任意 k (0) > 0出发,有效资本劳动比收敛到平衡增长路径的值 k * ( k ( t )→ k * )。
证明 见习题2.26。
因此,伴随着哈罗德中性技术变化,均衡路径的动态以及比较静态分析与没有技术进步的模型非常相似,主要差别在于现在的模型能够产生人均产出增长,因此可以更成功地匹配数据。然而,该模型的缺点是增长完全是外生驱动的。经济增长率完全等同于技术存量的外生增长率。模型既没有说明技术存量来自何处,也没有说明其增长速度。
本节进行一些简单的比较动态学练习。比较动态学关注经济受到冲击或参数变化之后的整个调整路径,因此其结果不同于命题2.3、命题2.8或命题2.12的比较静态结论。基本的索洛模型因为简单,所以尤其适合这种分析。这些练习也是有益的,因为基本的索洛模型及其新古典“近亲”经常用于政策变化、中期冲击和商业周期动态学的分析,故而理解基本模型如何对各种冲击做出反应,在许多应用方面都会有帮助。
回顾表达式(2.51)给出的连续时间索洛模型中有效资本劳动比的运动法则,即
(
t
)/
k
(
t
)
=sf
(
k
(
t
))/
k
(
t
)-(
δ+g+n
)。方程右边如图2.13所示,与横轴的交点表明存在唯一的平衡增长路径,其有效资本劳动比为
k
*
。图2.13足以用来做比较动态分析。譬如,假设储蓄率出乎意料地从
s
一次性永久提升到
s
′,这将导致曲线右移(如虚线所示),并与横轴相交于点
k
*
*
,横轴下方的虚线箭头表示有效资本劳动比如何逐步调整到新平衡增长路径下的相应值,即
k
*
*
。储蓄率提高的瞬间,资本存量和资本劳动比因为是状态变量而保持不变。接着,
k
沿着虚线箭头单调收敛于
k
*
*
。如果
δ
或
n
出乎意料地一次性永久下降,则可以得到其比较动态分析。
同样的图形分析也可用于研究意料之外的临时参数变化的效应。举例来说,假设在 t = t ′时, s 发生意料之外的变化,但这个变化是可复原的,在未来某个已知时期 t ″> t ′,储蓄率将回复到其初始值。在此情形下,自 t ′开始,经济一直沿虚线箭头运行到 t ″。紧接着,微分方程的初始稳态发挥作用,经济开始按照横轴上方的实线箭头运行。因此,在 t ″之后,经济将逐渐回到原来的平衡增长均衡值 k * ,我们将会看到,类似的比较动态也可在新古典增长模型中加以运用,但是经济对某些参数变化的反应将更为复杂。
图2.13储蓄率从 s 提升到 s ′之后的动态学。实线箭头表示初始稳态的动态情形,虚线箭头表示新稳态的动态情形。
我们从索洛模型中学到了什么?就某一层次而言,获益匪浅。现在,我们有了一个简单易处理的框架可以用来研究资本积累和技术进步。在后续章节将会看到,这个框架在帮助我们考虑数据方面大有用处。
然而,从另一层次来看,我们学到的甚少。第1章提出了这样的问题:为什么有些国家富裕,有些国家贫穷?为什么有些国家经济发展,有些国家陷入停滞?为什么世界经济在过去几个世纪中开始了稳定增长的进程?索洛模型揭示,如果没有技术进步,只要我们不是处于假设2排除的AK世界里,经济就不会可持续增长。在此情形下,我们可以讨论产出的国别差异,但无法讨论各国经济和世界经济的增长。
只有引入外生技术进步,索洛模型才能得出人均产出的增长。但此时,一切都由技术进步驱动,而技术进步本身却是外生的,犹如一个黑匣子,外生于模型74和经济激励的影响。如果技术进步是问题的核心所在,那么我们必须研究并理解什么因素引致了技术进步,什么因素能促使企业和社会发明更好的技术,以及什么因素诱导企业和社会采用这些先进技术。
即使就资本积累而言,索洛模型也不能完全令人满意。资本积累的速率取决于储蓄率、折旧率和人口增长率,而所有这些变量都被视为外生的。
就此而言,索洛模型最大的用处在于作为一个框架,展现了一般的争议点和问题。索洛模型强调,要理解经济增长,我们必须首先理解物质资本的积累(以及人力资本的积累,这一点将在第3章中论及)和技术进步,而后者可能是最为重要的。在索洛模型中,这些因素都是黑匣子。因此,本书其余部分将用很大篇幅进行深入探讨,试图揭示黑匣子里面有些什么。第8章将首先引入消费者最优化问题,以期对资本积累有更加系统的研究,接着转向内生的人力资本积累和技术进步的模型。这类模型为我们提出并解答与经济增长根本原因有关的问题提供了一个框架。
总之,索洛模型尽管形式简单,但是能帮助我们思考现实世界,尤其是在思考经济增长的最根本原因之中形成有益观点。这将是第3章的主题。
本章分析的模型最早由索洛(1956)和斯旺(1956)提出。索洛(1970)利用历史参考资料,对模型做了漂亮而又容易理解的处理;巴罗和萨拉-伊-马丁(Barro and Sala-i-Martin,2004)教科书的第1章则介绍了近年来对适合研究生水平的基本索洛模型的最新探讨;而琼斯(Jones,1998)在第2章提供了适合本科生水平的出色讨论。
本章频繁引用了消费者和一般均衡的基础理论,这些内容是充分理解经济增长理论的必备知识。动态一般均衡理论的一些重要结论将在本书第5章涉及。马斯-科莱尔等人(Mas-Colell、Whinston and Green,1995)的微观经济学研究生教科书涵盖了绝大多数必备知识,并对此做了极好的阐述,包括生产者理论以及对一般均衡理论基本概念易于理解的阐释,也包括对阿罗证券的讨论和阿罗—德布鲁商品的定义。
齐次函数的性质和欧拉定理可参见西蒙和布鲁姆(Simon and Blume,1994)的第20章。读者应该熟悉隐函数定理以及凹、凸函数的性质,这些知识在全书中都会用到。附录A回顾了相关内容。
附录B概述了有关微分方程、差分方程的解法和稳定性的讨论。定理2.2、定理2.3、定理2.4和定理2.5来源于附录B中的结果。此外,有关差分方程、微分方程的各种结论可参考博伊斯和迪普利马(Boyce and DiPrima,1977)、龙伯格(Luenberger,1979)或者西蒙和布鲁姆(1994)。本书正文假设读者已经具备附录B中关于简单微分方程求解和微分、差分方程稳定性质的知识。尤其是龙伯格(1979)对差分方程和微分方程做了一致化的处理,对读者尤有帮助。加勒(Galor,2005)介绍了差分方程以及经济学家常用的离散时间动态系统。
“黄金律储蓄率”由埃德蒙德·菲尔普斯(Edmund Phelps,1966)引入。这个称谓参照了圣经里的黄金律“己所不欲,勿施于人”,并应用于代际情形之中,即假定在每个不同日期生活和消费的人群形成不同的代际。尽管“黄金律储蓄率”具有历史学意义并有助于动态效率的探讨,但它不是由明确定义的偏好推断而来的,因此不具备内在的最优化性质。第8章将更详细地讨论最优储蓄率。
卡尔多(Kaldor,1963)最早关注了平衡增长事实。图2.11使用了皮凯蒂和赛斯(Piketty and Saez,2003)中的数据。霍默和西拉(Homer and Sylla,1991)探讨了不同社会成百上千年来的利率史,表明利率不存在显著的上升或下降趋势。然而,不是经济增长过程的每一方面都是平衡的,增长的非平衡性质将在本书第七篇加以详细讨论,该篇也包含了增长过程中关于总产出的部门构成变化的文献。
定理2.6更简单的版本首先由宇泽弘文(1961)证明。文献中可见各种各样的证明,然而很多并非完全严谨。本书中的证明改编自施利希特(Schlicht,2006),这在琼斯和斯克里格尔(Jones and Scrimgeour,2006)中也有论及,其他学者(Wan,1971)也给出了类似的证明。巴罗和萨拉-伊-马丁(2004)的第1章还给出了一个证明。但是,他们的论证是不完全的。这些论证假定技术变化必须是哈罗德中性和索洛中性的组合,而这一点有相当大的限制性,并不构成证明的要件。因此,本书中的证明更具有一般性和完全性。文献中对定理2.6的含义也有种种误解。许多教科书声称这个定理排除了渐进的资本扩张型技术进步(除非生产函数是柯布-道格拉斯函数)。习题2.17证明这个论断是不正确的,在非柯布-道格拉斯型生产函数和渐近的资本扩张型技术进步之下,平衡增长依然有可能存在。在有限时间 T 之后实现平衡增长,或是在习题2.14中提及的附加条件之下,定理2.6得以成立。另外,正如我在正文中强调的,定理2.6只不过是表现了资本和劳动力演化的一条特定路径。因此,如习题2.19证明,这种表现并非总是适用于均衡分析或者资本和劳动的定价。定理2.7旨在解决这一困难。我尚未见到文献中有其他类似于定理2.7的结论。
如文中注释,固定替代弹性生产函数最早见于阿罗等人(1961)。这种生产函数在许多应用宏观经济学模型和经济增长模型中发挥着重要作用。假设2中引入的稻田条件来自稻田献一(Inada,1963)。
最后,有兴趣的读者可参阅论文(Hakenes and Irmen,2006),以了解为什么稻田条件即使在 f (0) = 0时,在连续时间下 k =0处,也能引致一条额外的均衡路径(而不是无经济活动的均衡)。这里,我们有充分理由断定,稳态是否存在的问题实质上是个施加限制条件的顺序问题。如文中注释,在任何情况下, k =0时候的稳态不具有经济含义,因而在全书中予以忽略。
2.1 证明:在假设1和竞争性劳动力市场之下,工资率必定严格为正;进而由(2.4)式推导出(2.3)式。
2.2 证明:在假设1之下, F ( A , K , L )是 K 和 L 的凹函数,但不是严格凹函数。
2.3 证明:当 F 呈现规模收益不变时,在竞争性要素市场中,(2.5)式中的最优化问题或者无解(企业获得无穷利润),或者有唯一解 K=L= 0,或者有连续统解(即,任何满足 K / L=κ 的 K 和 L 都是解,这里 κ> 0)。
2.4 考察下面的连续时间索洛模型,人均生产函数为
(a)与之对应的生产函数 F ( K , L ),违背了假设1和假设2中的哪些内容?
(b)证明该生产函数使模型存在三个稳态均衡。
(c)证明其中的两个稳态均衡为局部稳定,第三个稳态均衡为局部不稳定。是否存在全局稳定的稳态均衡?
2.5 证明命题2.7。
2.6 证明命题2.8。
2.7 在基本索洛模型中引入政府支出。考虑没有技术变化的基本模型,(2.9)式变为:
其中, G ( t )表示 t 期的政府支出。假定政府支出 G ( t ) =σY ( t )。
(a)讨论收入和消费之间的关系如何变化。假设 C ( t ) =sY ( t ),这一假设是否合理?
(b)假定政府支出部分来自私人消费, C ( t ) = ( s -λ σ ) Y ( t ),λ∈[0,1]。提高政府支出水平(表现为更高的 σ )对索洛模型的均衡会产生什么影响?
(c)假定用 G ( t )中的 ϕ 比例投资于资本存货,则 t 期的社会总投资为:
证明:如果 ϕ 足够大,人均资本的稳态水平将随政府支出的提高( σ 提高)而增加,这个结论是否合理?另外,如何在这个模型中引入公共投资?
2.8 假定 F ( K , L , A )是 K 和 L 的凹函数(但并不一定是严格的凹函数),且满足假设2。证明命题2.2和命题2.5。命题2.6需如何修正?
2.9 证明命题2.6。
2.10 证明推论2.2。
2.11 考虑修改过的连续时间索洛增长模型,总生产函数为:
Z 表示无供给弹性的土地。假定 α+β< 1,资本折旧率为 δ ,外生储蓄率为 s 。
(a)首先假定不存在人口增长,求解稳态产出水平下的人均资本,并证明该稳态是唯一的、全局稳定的。
(b)现在假定人口增长率为
n
,即
时,人均资本和产出水平会发生什么变化?土地收益和工资率会发生什么变化?
(c)在此经济体中,人口增长率 n 和储蓄率 s 是否会随时间变化?如果是,如何变化?
2.12 考虑连续时间索洛模型,不存在技术进步,人口增长率为常数 n 。假定生产函数满足假设1和假设2,资本为资本家所有,劳动力则由一群不同质的工人提供。遵循卡尔多(1957)的建议,假定资本家将收入的 s k 比例用来储蓄,而工人则消费掉全部收入。
(a)定义此经济体的稳态均衡,描述其特征并研究其稳定性。
(b)稳态下的人均资本
k
*
和第2.2.3节定义的“黄金律”下资本存货水平
之间有何关系?
2.13与习题2.12相反,假定劳动收入有固定的储蓄率∈(0,1),而资本收入没有任何储蓄,总生产函数满足假设1和假设2。证明在此情形下可能存在多重稳态均衡。
* 2.14 本习题将对定理2.6做一般化拓展。这里,
不成立。但是,对任何 t ≥ T , T <∞,以下式子成立:
(a)请构建反例证明,如果没有附加条件,定理2.6第一部分将不再成立[提示:考虑 g c <g k =g y ]。需要施加什么条件,才能确保这些限制性的增长率彼此相等?
(b)现在假定定理2.6第一部分成立(特别是 g Y = g K 的情况),证明:该定理等价的证明步骤意味着对任何 T 和 t ≥ T ,
2.15 回顾(2.37)式中替代弹性 σ 的定义,假设竞争性劳动力市场中,工资率为 w 。证明:如果总生产函数 F ( K , L , A )对 K 和 L 呈规模收益不变,则
* 2.16 本习题将遵循阿罗等人(1961)的原创性论文中的方法,推导出固定替代弹性生产函数(2.38)式。他们注意到,根据经验,人均收入和工资率之间的关系几乎可以表示为以下函数形式:
这里, y= f ( k )是人均产出, w 是工资率。回顾竞争性市场中的工资率 w=f ( k ) -kf ′ ( k )。因此,上述方程可以写成:
其中, y= y ( k )≡ f ( k ) , y′ 表示 f ′ ( k )。这是一个非线性的一阶微分方程。
(a)使用分离变量法(见附录B),证明该方程的解满足:
其中, c 0 是积分常数。
(b)说明:对 α 和 c 0 施加什么条件,可以导出与(2.38)式形式完全一样的固定替代弹性生产函数。
2.17 考虑不变储蓄率为 s 、资本折旧率为 δ 的索洛模型。假定总人口为常数,总生产函数为规模收益不变,形式为
(a)假定 F 为柯布-道格拉斯类型,请确定平衡增长路径的增长率,以及经济体向稳态调整的过程。
(b)假定 F 既不是柯布-道格拉斯类型,甚至也不是渐近柯布-道格拉斯类型。请证明并解释原因:不存在 T <∞,对于任何 t ≥ T ,经济处于平衡增长路径。
* 2.18 考虑习题2.17中的情形,假定 F 为(2.38)式中的固定替代弹性形式,资本与劳动力之间的替代弹性 σ <1, g K > g L ,储蓄率 s 为常数。证明:当 t →∞时,经济收敛于平衡增长路径,劳动在国民收入中的份额等于1,资本、产出和消费的增长率均为 g L 。根据这个结果,请讨论文献中“资本扩张型技术进步与平衡增长相互矛盾”的论断。为什么文献中的这个论断是不正确的?请将你的答案与习题2.14相联系。
* 2.19 在定理2.6的情形中,考虑生产函数
其中,
(
t
):ℝ
+
→ (0,1)是时间的任意函数,用来代表技术。
(a)证明:当
K
(
t
)
=
exp(
nt
)和
L
(
t
)
=
exp(
nt
)(
n
≥0)时,定理2.6的条件得到满足,
可以表示成
F
(
K
(
t
),
A
(
t
)
L
(
t
))的形式。请确定能表示成这种形式的函数族。
(b)证明
和
F
的导数并不相等。
(c)假定要素市场是竞争性的。证明:虽然资本、产出和消费以固定速率增长,但资本在国民收入中的份额可以是任意值。[提示:譬如,可以考虑
(
t
)
=
(2
+
sin(
t
))/4的情形。]
2.20 考虑非竞争性劳动力市场的索洛模型。特别是假定不存在人口增长和技术进步,产出由 F ( K , L )给出,储蓄率为 s ,资本折旧率为 δ 。
(a)首先,假定存在最低工资率
,工人报酬不允许低于该水平。如果劳动力需求小于
L
,则劳动力就业量等于企业对劳动力的需求量
L
d
(失业劳动力对产出没有贡献,报酬为0)。假定
>
f
(
k
*
)-
k
*
f
′(
k
*
),
k
*
是基本索洛模型中的稳态人均资本,由
f
(
k
*
)/
k
*
=δ
/
s
决定。请描述自某个数量的实物资本
k
(0)
>
0开始,经济动态均衡路径的特征。
(b)接下来,考察另一种形式的劳动力市场不完全,工人从雇主手里得到λ>0比例的产出作为工资。请描述本情形的动态均衡路径的特征。[提示:储蓄率仍然为 s 。]
2.21 考虑离散时间索洛模型,人口不变增长率为 n ,没有技术进步,完全折旧(即 δ =1)。假定储蓄率是人均资本的函数 s ( k ):
(a)假定 f ( k ) =Ak 以及 s ( k ) =s 0 k -1 -1。请证明:如果 A + δ - n =2,则对任何 k (0)∈(0, As 0 /(1 +n )),经济立即陷入某个渐近周期并持续在 k (0)和 As 0 /(1 +n )- k (0)之间波动。(假定对 k= k (0)和 k=As 0 /(1 +n )- k (0),均有 s ( k )∈(0,1)。)
(b)现在考虑更一般的连续生产函数 f ( k )和储蓄函数 s ( k ),使存在 k 1 , k 2 ∈ℝ + , k 1 ≠ k 2 ,且
请证明:如果这样的( k 1 , k 2 )存在,则可能存在稳定的稳态均衡。
(c)请证明:对任何连续的生产函数 f ( k )和连续函数 s ( k )(可能是非古典情形),上述周期在连续时间索洛模型中是不可能存在的。[提示:考察图2.9的等价情形。]
(d)对2.4节提及的连续时间模型的近似离散模型而言,(a)-(c)的结论有何含义?
(e)根据(d)的答案,你对(a)和(b)中的周期有什么结论?
(f)请证明:如果 f ( k )是 k 的非减函数, s ( k ) =k ,则(a)和(b)中的周期不可能在离散时间模型中出现。
2.22 考虑第2.6节中提及的改进后的索洛/AK模型,储蓄率 s 固定,资本折旧率为 δ ,没有人口增长,总生产函数形式为:
请描述该模型的渐近均衡特征。
2.23 考虑基本的索洛模型,储蓄率 s 固定不变,人口增长率为常数 n ,没有技术进步,假定总生产函数为(2.38)式中的固定替代弹性形式。(a)假定 σ >1,证明此情形下的均衡与习题2.22中实现长期可持续增长的均衡相类似,并解释该结论。
(b)现在假定 σ →0,生产函数变为里昂惕夫形式:
此时模型与哈罗德(1939)和多马(1946)构建的哈罗德-多马模型完全一致。证明:在此情形下,不存在劳动力完全就业、资本完全利用的稳态均衡。生产要素价格如何变化?请解释为什么此情形是一个病态经济,并请至少给出两个理由说明为什么存在闲置资本或闲置劳动力的均衡不大可能成为现实?
2.24 证明(2.38)式中的固定替代弹性生产函数违背了假设2,除非 σ =1。
2.25 证明命题2.12。
2.26 证明命题2.13。
2.27 完成本习题,我们将对技术概念有新的认识,这有助于第3章的学习。考虑连续时间索洛模型,假定 A ( t ) =A ,因此不存在通常类型的技术进步。然而,假定投资和资本积累之间的关系更改为:
这里,
是外生给定的时间变化路径(函数)。直观上看,如果
q
(
t
)较高,则同样的投资支出将转化为更多的资本存量,因此
q
(
t
)可以看成机器设备对产出的相对价格的倒数。
q
(
t
)高,则机器设备相对便宜。戈登(Gordon,1990)的记录表明,自二战以来,耐用性机器设备相对于产出的价格一直呈下降趋势。这个趋势貌似合理,特别是我们近年来经历了计算机软硬件相对价格的不断下降。因此,我们可以设定
(
t
)
>
0。本习题要求你完成具备这个特征的模型,该模型以格林伍德、赫尔维茨和克鲁塞尔(Greenwood、Hercowitz and Krusell,1997)为基础。
(a)假定
(
t
)/
q
(
t
)
=γ
K
>
0。请证明:对一般生产函数
F
(
K
,
L
),不存在平衡增长路径。
(b)现在假定生产函数是柯布-道格拉斯类型, F ( K , L ) =K α L 1-α 。请描述唯一的平衡增长路径的特征。
(c)证明这个稳态均衡不满足卡尔多关于“ K / Y 保持固定不变”的典型事实。这个矛盾是否构成大问题?[提示:实践中 K 是如何测算的?本模型中又是如何测算的?]
[1] 推导(2.6)式和(2.7)式的另一种方法是考虑代表性企业的成本最小化问题,采取的办法是,对应于某个给定的产出水平 Y ,在约束条件为 F ( K , L , A ) =Y 下,将 rK + wL 分别对 K 和 L 最小化。对于任意给定的 Y 水平,该问题有唯一解。于是,施加市场出清的条件,即 r=F ( K , L , A ),其中 K 和 L 对应于资本和劳动供给,可以得到(2.6)式和(2.7)式。
[2] 此外,可以在(2.9)式右端引入政府支出 G ( t )。索洛模型中,政府支出不起主要作用,因此,其引入放到习题2.7。
[3] 下文中,如果技术变化为劳动扩张型,技术项 A 也可以被拿出来,人均生产函数可以表达为 y=Af ( k ),与把 k 定义为有效资本劳动比略有不同(参见第2.7节(2.50)式)。
[4] Hakenes和Irman(2006)证明了即使 f (0) = 0,稻田条件也表明在连续时间的索洛模型中, k =0可能不是唯一的均衡,经济体可能朝着远离 k =0方向运行。
[5] 其他几个不同术语也用来刻画x * , 例如,“均衡点”或者“临界点”。因为这几个术语在经济学中有不同的含义,自始至终,我称x * 为稳定点。
[6]
我始终用符号
表示变量
x
(
t
)的连续时间路径。文献中常用的另一个符号是(
x
(
t
);
t
≥0)我更加偏爱前者既因为它相对更加紧凑,也因为它与变量的离散时间符号
更加相似。当提及
,我交替使用路径、序列或者
t
期的函数。