



今天,不同国家的人均收入和劳均产出之间存在着很大的差异。处于世界收入分配顶端的国家的富裕程度是底部国家的30多倍。例如,2000年美国人均GDP(或收入)超过34 000美元。相比之下,其他许多国家的人均收入要低得多:墨西哥大约为8 000美元,中国大约为4 000美元,印度刚刚超过2 500美元,尼日利亚只有大约1 000美元,而撒哈拉以南其他非洲国家,如乍得、埃塞俄比亚和马里,还要低得多。这些数字是以2000年美元币值计算的,而且已经根据购买力平价原理进行了调整,以消除各国物价差异的影响。
如果不进行购买力平价调整,国别收入差距还要更大。例如,如果不进行购买力平价调整,2000年印度和中国的人均产出比美国要进一步低1/4左右。
图1.1初步展现了这些差异情况。图中给出了1960年、1980年和2000年可获得相关数据的国家经购买力平价调整后的人均GDP的分布估计。从图中可以发现几个明显的特征。1960年的分布密度表明,二战后的15年内,大多数国家的人均收入不足1 500美元(以2000年美元币值计算);分布密度的众数值
是1 250美元。1980年和2000年的分布右移,表明在随后40年里人均收入的增长。到2000年,众数值超过3 000美元,而且一些国家的人均收入集中于20 000至30 000美元之间。2000年的分布密度估计值显示各国人均收入存在着显著的不平等。
图1.1中的分布格局部分是源于平均收入的增长。观察人均收入的对数值会更有助于我们理解。观察随时间变化而增长的变量(比如人均收入)的对数值往往更加合理,尤其是当这种增长大致成比例时(如图1.8所示)。其中的原因很简单,当 x ( t )按一定比例增长,log x ( t )线性增长,于是,当 x 1 ( t )和 x 2 ( t )按相同比例增长时,log x 1 ( t )-log x 2 ( t )是一个常量,而 x 1 ( t )- x 2 ( t )则是一个增量。
图1.1 1960年、1980年和2000年所选国家人均GDP(经购买力平价调整)的分布估计图
图1.2给出了一个相似的图形,但这个分布更加紧凑,因为从1960年到2000年,尽管贫富国家之间的绝对收入差距增长明显,但相对收入差距的增长则小很多。尽管如此,我们还是可以看出,人均GDP的对数分布密度在2000年要比1960年更为分散。尤其是,图1.1和图1.2都表明,相对富裕国家的分布密度显著提高了,但仍有许多国家依然非常贫困。后一个图形有时候被看作一种“分层现象”,这源于20世纪60年代部分中等收入国家已经逐渐加入了高收入国家的行列,而其他一些国家则停留在中等收入阶段,甚至相对贫穷化。
图1.1和图1.2显示,今天国与国之间的不平等程度比20世纪60年代时更为严重。一个同样有意义的概念可能是世界经济中的人际不平等。图1.1和图1.2并没有直接给出这些信息,因为这些图直接将每个国家作为一个整体而没有考虑其人口规模。考虑到这一点,图1.3给出了人口加权分布的情况。其中,中国、印度、美国和俄罗斯由于人口较多获得了较大的权重。这种情况与图1.1和图1.2展示的情况明显不同。实际上,2000年的分布图形看起来更为集中,其左尾比20世纪60年代的分布图要窄一些。这反映出如下事实:20世纪60年代的中国和印度位于世界最贫穷国家之列,然而,由于90年代相对较快的增长,到2000年两国得以进入中等贫困国家的行列。中国和印度的增长强有力地推动了全球居民人均收入的相对均等化。
图1.2 1960年、1980年和2000年所选国家人均GDP(经购买力平价调整)对数值的分布估计图
图1.3 1960年、1980年和2000年所选国家经人口权重调整后的人均GDP(经购买力平价调整)对数值的分布估计图
图1.1、图1.2和图1.3显示的都是人均GDP的分布状况。尽管这些指标能够反映人们的福利情况,但许多增长理论只是着眼于对各国生产能力的研究。当我们关注劳均产出这一指标时,理论更容易与数据相契合。此外,国家政策和制度也是导致跨国经济表现差异的关键原因。因此,对于理解导致国别收入和增长差距的根源(而非福利评估问题),不考虑人口权重的分布比考虑了人口权重的分布更有意义。相应地,图1.4显示了未考虑人口权重的劳均GDP(经购买力平价调整)的跨国分布情况。“工人”在此是指所有参与经济活动的人口(按照国际劳工组织的定义)。图1.4与图1.2十分相似,唯一的区别在于,在图1.4中,2000年世界各国在表示相对富裕的尾部(右侧)更为集中,而在表示相对贫穷的尾部(左侧)则和图1.2差不多。
图1.4 1960年、1980年和2000年所选国家劳均GDP(经购买力平价调整)对数值的分布估计图
总之,图1.1至图1.4给出了两个重要事实:第一,高度分散的分布图形说明不同国家间存在着较大的人均收入差异和劳均收入差异。第二,跨国不平等程度正在经历轻微但是值得关注的扩大(尽管未必是世界经济中人际间的不平等程度在扩大)。
我们需要关注跨国收入差异吗?答案是肯定的。高收入水平意味着高生活水平。经济增长有时候会加剧污染或提升个人愿望,于是,同样的一揽子消费品也许不再能满足个人。但是最终,如果你将富裕的发达国家与欠发达国家做一比较,就会发现,两国人民的生活品质、生活标准和健康水平有着令人震惊的差距。
图1.5和图1.6显示了这些差距,并描述了2000年人均收入、人均消费与出生时的预期寿命之间的关系。消费数据同样来源于佩恩世界数据统计表,出生时的预期寿命数据来自世界银行发展指数。
这些图形表明,人均收入差距与消费差距、以预期寿命衡量的健康水平差距高度相关。回顾前面经购买力平价调整的相关数据,消费差距并没有(至少理论上没有)反映不同国家同一揽子消费品的成本差异。购买力平价调整有助于修正这些差距,并试图测度真实消费水平的变化。因此,最富裕的国家不仅产出是最贫穷国家的30多倍,消费也同样是30多倍。同样,世界各国健康水平的跨国差距也十分显著,在最富裕国家,出生时的预期寿命达到80岁,而在撒哈拉沙漠以南非洲国家,则只有40~50岁。这些差距反映了巨大的人类福利差距。
图1.5 2000年人均收入与人均消费之间的关系图
注:图中使用的缩写的含义以及书中类似的缩写,请参考http://unstats.un.org/unsd/methods/m49/m49alpha.htm。
弄清楚为何有些国家那么富裕而有些国家那么贫穷,是社会科学研究面临的最重要或者可能是最重要的挑战之一。之所以如此重要,一方面是因为收入差距对社会福利有着重大影响,另一方面是因为研究这些令人震惊的差距将有助于弄清楚经济机制是如何在不同国家发挥功能的,为何它们有时候又会失灵。
强调跨国收入差距,并不是说我们要将人均收入作为衡量公民福利的“充分统计量”, 也不是说不需要关注其他指标。如下文中将要详细讨论的,市场经济体制的效率特征(比如著名的第一福利定理和亚当·斯密“看不见的手”) 并不意味着社会个人或组织之间完全没有冲突。经济增长通常有利于社会福利的提升,但不可避免会产生赢家和输家。约瑟夫·熊彼特的著名概念“创造性破坏”精确描述了经济增长的这一面:生产关系、企业甚至有时候个人生活都会在经济增长的过程中遭到破坏,因为经济增长常常伴随着新技术替代旧技术、新企业取代旧企业的活动。这一过程会带来一种自然的社会张力,甚至在经济不断增长的社会中也无法避免。与经济增长(以及发展)相关的社会张力的另一个来源是增长和发展常常伴随着彻底的社会结构变革,这种变革可以摧毁现有的经济关系并创造出新的赢家和输家,西蒙·库兹涅茨强调了这一来源,本书第七篇将对此进行详细讨论。政治经济学的一个重要问题(本书最后一篇将会探讨)是,讨论何种制度安排和政策设计可以用来补偿那些在经济增长中遭受损失的个人和组织,或是通过其他方式避免这些个人和组织阻碍经济发展。
图1.6 2000年人均收入与2000年预期寿命之间的关系图
种族隔离制度下的南非是一个鲜活的例子,说明经济增长并不一定会提升社会中所有人甚至是大多数人的生活水平。可得数据(金矿开采行业的工资)显示,从20世纪初到种族隔离制度结束,南非的人均GDP增长很可观,但是南非黑人(构成南非人口的绝大部分)的实际工资却下降了。当然,这并不意味着南非的经济增长是无益的。南非依然是撒哈拉以南非洲国家中最富裕的国家之一。然而,观察到的这一问题提醒我们还要关注经济的其他方面,重视经济增长过程中固有的潜在冲突。同样,大量现有证据显示,在英国工业革命的早期阶段虽然开启了现代经济增长的进程,但大多数工人的生活水平是下降的或至少是停滞不前的。人均GDP与大量个人及社会经济财富之间的这种差异模式,不仅值得关注,而且也许能让我们了解为什么某些社会群体会支持那些不能促进经济增长的政策和制度。
一个国家是如何做到比另一个国家富裕30多倍的?答案是两者的(经济)增长率不同。假设有A和B两个国家,某个时刻两者的初始收入水平相同。令A国的人均(经济)增长率为0%,其人均收入保持不变,而B国人均(经济)增长率为2%。两百年后,B国将会比A国富裕52倍以上。这种算法表明,美国之所以比尼日利亚富裕得多,是因为它经历了长时期的稳定增长,而尼日利亚并非如此。我们可以通过这类简单的计算观察到很多客观事实。实际上,即便是历史长河中短暂的战后时期,国家之间的(经济)增长率也存在着巨大的差异。这类战后时期的差异可以通过图1.7说明,图中绘出了不同国家1960年、1980年和2000年的(经济)增长率分布密度。1960年的增长率是指1950年至1969年的(几何)平均增长率,1980年的增长率是指1970年至1989年的平均增长率,2000年的增长率是指1990年至2000年的平均增长率(图中所有内容都基于可获得数据绘制)。图1.7表明,在不同时段,(经济)增长率会发生显著变化;跨国分布从负增长到年均高达10%的增长率。该图同时表明,世界平均经济增长率在20世纪50年代和60年代要比接下来的几十年快得多。
图1.7 1960年、1980年和2000年劳均GDP(经购买力平价调整)增长率的分布估计图
图1.8提供了另一种视角来观察这些问题,它显示了一些国家在1960年至2000年的对数人均GDP(此例中,之所以选择人均GDP而非劳均GDP是因为前者的数据更易获取,同时便于比较下面的历史数据)。在图的上方,美国和英国的人均GDP稳步增长,美国增长得稍快一点,于是两国的人均GDP对数值在2000年的差距要大于1960年。西班牙在1960年起步时比英国和美国落后许多,但是经过1960年至70年代中期的快速发展,它与英美两国的差距逐渐缩小。图中增长最快的三个国家分别是新加坡、韩国和博茨瓦纳。新加坡在1960年起步时比英国和西班牙落后很多,但是增长很快,到20世纪90年代中期后来居上。韩国的发展轨迹与之类似,起点比新加坡低且发展速度略慢,于是最后它比西班牙要稍微落后一点。还有一个增长很快的国家是被誉为“非洲奇迹”的博茨瓦纳,它一开始极度贫穷,但经济的快速增长(尤其是1970年后)使其在2000年跻身中等收入国家之列。
图1.8 美国、英国、西班牙、新加坡、巴西、危地马拉、韩国、博茨瓦纳、尼日利亚和印度1960年至2000年的人均收入变化
图中包括两个拉美国家——巴西和危地马拉,这两个国家为我们展现了经常被人们讨论的战后拉丁美洲经济萎靡不振的情况。巴西的起点比韩国和博茨瓦纳都要高,并且在1960年至1980年间有着相对较高的经济增长率。但是,它从1980年开始陷入停滞状态,于是最终韩国和博茨瓦纳超过了巴西。危地马拉的经历与巴西类似,但是更加悲惨。相比巴西,危地马拉从1960年至1980年几乎没有增长,从1980年至2000年也没有增长。
尼日利亚和印度起初与博茨瓦纳的人均收入水平接近,但是1980年之前几乎都没有什么增长。从1980年开始,印度开始经历较快的增长,但是这一增长还不足以使其人均收入赶上图中其他国家的水平。最后,和大多数撒哈拉以南非洲国家一样不幸的是,尼日利亚从1960年开始人均GDP经历了负增长,以致其在2000年比1960年还要贫穷。
我们接下来要试图理解和解释图1.8中的格局。为什么美国在1960年比大多数国家富裕,而且此后还能保持稳定增长?新加坡、韩国和博茨瓦纳是如何成功地连续40年保持较快增长?西班牙为何较快增长了约20年,然后增长放缓?巴西和危地马拉为什么在20世纪80年代都陷入停滞?是什么导致了尼日利亚灾难性的增长表现?
图1.7和图1.8所示的(各国经济)增长率差异本身就很有趣,同时,好像可以从理论上解释我们今天观察到的各国人均收入的巨大差异。但果真如此吗?答案是否定的。如图1.8所示,早在1960年,美国与印度、尼日利亚之间就已经存在着巨大的差距。
这一格局在图1.9中更容易被观察到,图中沿着45度线描绘了2000年劳均GDP对数值和1960年劳均GDP对数值(分别相对于美国的劳均GDP)。大多数观测值围绕着45度线分布,说明在1960年至2000年间,各国和地区的相对排序基本没有发生变化。因此,我们无法从二战后时期来寻求导致跨国收入巨大差别的起因。二战后时期各国和地区增长率之间存在着巨大差异,但就目前证据来看,世界收入分布格局已经变得更为稳定,并略微趋于更不平等。
图1.9 2000年劳均GDP对数值与1960年劳均GDP对数值,以及45度线
这种增长差距如果不是在战后时期出现的,那又是在何时出现的呢?答案是差距主要发生在19世纪和20世纪早期。图1.10至图1.12给出了由麦迪森收集的1820年以来(甚至更早)世界各国人均GDP的数据,以便我们观察各国增长差距的发展过程。这些数据不像萨默斯-海斯顿的佩恩世界数据统计表那样可靠,因为这些数据并非来源于标准的国民账户。而且,样本非常有限,同时并非所有国家的数据都追溯到1820年。此外,尽管对这些数据做了购买力平价调整,但还是没有佩恩世界数据统计表中的用价格比较来构建物价指数的方法那么完整。尽管如此,这也已经是能够获得的可以反映19世纪以来很多国家之间财富差距的最佳估计数据了。
图1.10展现了这种(收入)差距。图中描绘了五组国家的人均收入演化过程,它们分别来自非洲、亚洲、拉丁美洲、西欧和欧洲的西方旁支(澳大利亚、加拿大、新西兰、美国)。图中显示,19世纪欧洲后裔国和西欧国家发展相对较快,而亚洲国家和非洲国家陷入停滞,拉丁美洲国家也几乎没有增长。1820年各国收入差距还比较小,而到了1960年,这种差距已经变得很大。
我们还能从图1.10中观察到另一个重要的宏观经济事实:众所周知的“大萧条”使欧洲后裔国和西欧国家的人均GDP在1929年左右经历了一个明显的下降。欧洲的西方旁支,尤其是美国,直到二战爆发才完全从这场衰退中恢复。一个经济体产出的剧烈下降是如何发生的,它又是怎样从这一冲击中恢复的,这些都是宏观经济学要研究的主要问题。
图1.10 1820—2000年欧洲的西方旁支、西欧、拉丁美洲、亚洲和非洲人均GDP平均值的演变
大量证据表明,各国人均收入的差距在1820年之前更小。麦迪森还对这几组国家在公元1000年甚至更早的平均收入做过估计。图1.10可以利用这些数据向早期延伸,图1.11展现了这些结果。尽管这些数字是基于零散证据和合理推测,但这种一般模式与定性的历史证据以及下述事实是吻合的,即任何国家的人均收入折算成2000年美元币值都未曾低于500美元过多,因为当实际收入大大低于这一标准时个体是无法生存的。图1.11表明,越是往早期追溯,国家之间的差距就越小。这进一步证实了各国之间的差异主要产生于最近200年左右。从图中明显可以看到另外一个值得关注的特点,即世界经济增长的显著性。很多证据表明,18世纪以前经济增长很有限,15世纪以前显然也是如此。当然,某些国度,包括古代希腊、罗马、中国和威尼斯,虽然增长了,但是这种增长要么是未能延续很长时间(结束于崩溃或者是危机),要么增长十分缓慢。19世纪以前西欧国家和美国都没有取得稳定的增长。
麦迪森的数据还显示,西欧的人均GDP从更早期的公元1000年开始就曾经历过一个缓慢但是稳定的增长过程。并非所有的经济史学家都赞同这个说法,很多人认为西欧在1500年前甚至1800年前人均GDP几乎没有增长。不过这一争议对于本书的研究目标并不重要,重要的是,图1.11展示了一种由“起飞”进入持续增长的模式——借用沃尔特·罗斯托的术语——显示了西欧和欧洲的西方旁支的经济增长在大约200年前发生了急剧变化。经济史学家争辩着经济活动的非连续变化现象是否可以恰当地表述为“起飞”或者“工业革命”这类术语。这类争辩对于本书的分析目的也无关紧要,不论变化是否连续,它们都已成为事实并使许多经济体的运行机制发生了变化。这种转型的一个结果是,原本陷入停滞或者增长缓慢的欧洲国家进入了持续增长的通道。当前富裕国家的起源以及各国财富差距的起源都能够追溯到19世纪的(经济)“起飞”模式。在西欧国家和欧洲的西方旁支迅速发展的时期,世界上其他多数国家却没有经历一个起飞(或者是很长时间之后才开始经济起飞)。因此,要理解现代经济增长和当前跨国收入差距问题,最终要探究导致经济起飞的原因,它为何发生于约200年前以及起飞为何只发生在某些地区,而未发生在另一些地区。
图1.11 1000—2000年欧洲的西方旁支、西欧、拉丁美洲、亚洲和非洲人均GDP平均值的演变
图1.12给出了美国、英国、西班牙、巴西、中国、印度和加纳的人均收入发展过程。该图证实了图1.10所示,平均来看,美国、英国、西班牙自始至终要比印度和加纳增长快很多,也比巴西和中国快得多(除了两国经济快速冲刺时期以外)。
总之,基于可获取的信息,我们可以得出以下结论:导致当前跨国人均收入差距的原因应该追溯到19世纪和20世纪早期(甚至可以追溯到18世纪晚期)。这种跨国收入差距的产生与世界上很多国家开始“起飞”并获得持续的经济增长是同时出现的。因此,理解现代经济增长的起源不仅本身有趣而且重要,同时也是了解今天跨国人均收入差距原因的关键。
图1.12 1820—2000年美国、英国、西班牙、巴西、中国、印度和加纳的人均收入演变
迄今为止,我已经讨论了跨国人均收入的巨大差异,二战后时期各国经济表现的轻微分流和从19世纪初期就开始的大分流。我们的分析集中于人均(或劳均)收入的无条件分布情况。尤其是我们在观察两国收入差距增大或减小的时候,并没有考虑这些国家的具体特征(如制度、政策、技术或投资情况)。巴罗和萨拉-伊-马丁(Barro and Sala-i-Martin,1991,1992,2004)认为,观察收入的有条件分布能使我们获得更多的信息。我们关心的问题是,两个观测特征相似的国家之间的收入差距是否会逐渐变窄或变宽。这样就呈现一种有条件收敛的情景:战后,特征相似的国家的跨国收入差距逐渐变小(尽管这一变化十分缓慢)。这一点对我们理解世界收入分布的统计特征十分重要,同时也是我们用以构建理论的重要研究素材。
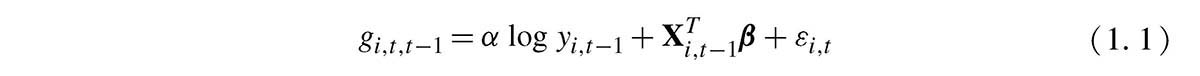
我们该如何来研究这种有条件分布呢?考虑一个典型的巴罗增长回归模型:
式中
g
i,t,t-1
是
i
国
t
-1期到
t
期的年均增长率,
y
i,t-1
是
t
-1期的劳均产出(或人均收入,
X
是该回归方程中表示其他变量的向量,它的系数是向量
β
(
X
T
表示该向量的转置),
ε
i,t
是一个误差项,涵盖了所有其他被忽略的因素。方程引入变量
X
是因为该向量是稳态收入和(或)增长的潜在决定要素。首先我们要注意的是,这里没有协变量,(1.1)式和图1.9表示的内在关系很相似。另外,由于
,(1.1)式又可以写为:
图1.9显示2000年和1960年劳均GDP对数值之间的关系(轨迹)基本上是落在45度线附近,应用到这个方程, α 应该约等于0。这种情况在图1.13得以证实,图中描述了(各国)1960年至2000年(几何)平均增长率与其1960年的劳均GDP对数值二者之间的关系。该图证实了整个世界不存在“无条件”收敛的情况,也就是说,战后并未出现相对贫穷国家变得相对富裕的趋势。
图1.13 世界各国和地区1960—2000年劳均GDP的年均增长率与1960年劳均GDP对数值
尽管全世界并没有出现收敛,但是,如果我们观察经合组织(OECD)
成员国,会发现情况有所不同。图1.14显示,(各成员国)1960年的劳均GDP与其1960年至2000年的年均增长率之间存在着显著的负相关关系。以OECD成员国为样本和以全世界国家为样本的差别在于OECD成员国具有同质性,相对于全世界范围内的各国来说,OECD成员国之间拥有更为相似的制度、政策和初始条件。于是,当我们控制了某些有可能影响经济增长的国家特征之后,也许会发现有条件收敛的情形。
这这就是(1.1) 式中向量 X 要表达的内容。具体而言,如果将受教育程度和预期寿命之类的变量纳入这一向量,巴罗和萨拉-伊-马丁使用横截面回归方法,估计α 大约为-0.02, 得出了具有相同人力资本禀赋国家的收入差距在战后时期平均每年收缩了2%的结论。当我们使用面板数据和包含全套国家固定效应的向量 X 来估计这个方程的时候,估计量α 会变得更小,即更快的收敛速度。
总的来说,没有证据表明战后的世界收入分布(无条件)收敛了(实际上,证据表明跨国收入差异反而变得更大了)。不过,倒是有证据表明有条件收敛是存在的,即收入差距在那些具有相似观测特征的国家之间是逐渐缩小的。后一种情况一方面有助于帮助我们辨识出哪些国家之间出现了收入差距的扩大,另一方面也有助于我们决定选择哪些类型的模型分析经济增长的过程和跨国经济表现的差异。例如,我们看到有很多增长模型,包括基本的索洛增长模型和新古典增长模型,都认为当经济体的人均收入从低于稳态(目标)水平朝着该水平迈进时一定存在着转型动力。有条件收敛符合这种转型动力。
图1.14 1960—2000年OECD核心国家劳均GDP的年均增长率与1960年劳均GDP对数值
前一节强调了某些国家特征可能与经济增长相关这一问题的重要性。那么什么类型的国家会增长更快呢?理论上,这一问题应该从因果关系的层面予以回答。换一种方式来说,我们想知道国家的哪些具体特征(包括它们的政策和制度)会对增长产生影响。“因果效应”指的是下述反事实思想实验的答案:在其他情况相同的前提下,如果某一个特定的国家特征发生了外生变化(例如,不是均衡动态的组成部分,或者随着其他可观测或不可观测变量的变化而变化), 它对经济均衡增长会产生什么影响?回答这种因果问题是一个相当大的挑战,主要是因为我们难以分离出那些并非由均衡动态或者遗漏因素导致的内生变量的变化。
因此,我们可以先从更简单的问题开始,即什么因素与战后经济增长相关。从接下来两章提及的理论看,有两个显而易见的因素值得考虑:实物投资和人力资本(教育)投资。
图1.15表明,1960年至2000年平均投资占GDP比重与经济增长之间存在正相关。图1.16表明平均受教育年限与经济增长之间存在正相关。这些图形说明,那些在实物和人力资本方面投资较多的国家往往也增长更快。值得注意的是,这些图形并不意味着实物投资或人力资本投资是经济增长的原因(尽管从基本的经济学原理看,我们认为这些因素能够促进经济增长)。到目前为止,这些都只是简单的相关关系,并且这种相关关系很可能至少部分是由遗漏因素导致的,这些因素一方面能够影响投资和教育,另一方面能够影响经济增长。
我们在第3章进一步探讨了物质资本和人力资本在经济增长中的作用。从第3章的分析中得出的一个主要观点是,仅仅考虑物质资本和人力资本不能很好地解释经济增长。为了了解经济持续增长的机制和导致跨国收入差距较大的原因,我们还需要研究各国为什么在物质资本和人力资本的利用效率上存在差别。经济学家通常会用“技术”这个词描述除物质资本和人力资本之外能够影响经济增长和经济表现的因素。因此我们要铭记于心的一点是,跨国技术差异不仅包括生产技术和生产过程使用的机器设备质量的差异,还包括生产效率的差别(详见第21章关于生产效率差异源于市场组织结构和市场失灵问题的阐述)。仔细研究(广义的)技术对理解世界经济增长过程和跨国差异是十分必要的。关于技术在经济增长中扮演的角色会在第3章和后面各章中考察。
图1.15 1960—2000年各国和地区人均GDP的平均增长率与各国投资占GDP比重的平均增长率之间的关系
图1.16 1960—2000年各国和地区人均GDP平均增长率与平均受教育年限之间的关系
与经济增长相关的因素,诸如物质资本、人力资本和技术,是下面要研究的第一个问题。但是,这些因素只能算是经济增长和成功的直接原因(假使我们说服自己以上的相关关系中存在一定的因果关系)。仅用技术、物质资本和人力资本解释经济增长过程和跨国收入差异并不全面,因为可能还存在着引起技术、物质资本和人力资本跨国差异的原因。如果这些因素对于导致跨国收入差异和促成一国经济“起飞”并迈入现代经济增长通道是如此重要,那么为什么有些国家却未能成功地提升其技术、增加实物投资并积累人力资本呢?
让我们回到图1.8进一步解释这一点。该图显示,韩国和新加坡在过去的50年增长很快,而尼日利亚并非如此。我们可以用经济增长的直接原因来解释韩国和新加坡的成功表现。像很多人做的一样,我们可以得出结论,快速的资本积累是导致这些增长奇迹的主要原因,而人力资本和技术是次要原因。我们会简单地将尼日利亚的失败归罪于它没能积累资本并且提升其技术水平。毫无疑问,这些观点对于理解战后经济成功和失败的机制是很有用的。但是从某个层面来讲,这些观点不能解答关键问题:韩国和新加坡到底是怎样实现增长的,而尼日利亚为什么没有很好地把握增长机遇?如果物质资本这么重要,为什么尼日利亚不进行更多的物质资本投资?如果教育这么重要,为什么尼日利亚的教育水平这么低?为什么现有的人力资本没能得到更有效的利用?这些问题的答案关乎经济增长的根本原因,即导致不同社会做出不同技术选择和资本积累选择的潜在影响因素。
从某种程度上说,根本原因是那些使我们能够将经济增长问题与其他社会科学关注的问题联系起来,并对政策、制度、文化和外部环境因素提出疑问的因素。下面,我们冒着可能把复杂现象过度简化的风险,试着考虑下列可能存在的根本原因:第一,运气(或多重均衡),这使那些有着相同机会、偏好和市场结构的社会走上了不同的增长道路;第二,地理差异,它们能够影响个体生存环境、农业生产效率、自然资源的可得性以及对个人行为或个人态度的某种约束;第三,制度差异,这些差异能够影响法律和规则,而个人和企业又在这些法律和规则之下运行,并形成资本积累、投资和贸易行为方面的激励;第四,文化差异,它们能够决定个人的价值观、偏好和信仰。第4章区分了直接原因和根本原因,还更详尽地讨论了哪种类型的根本原因能够更好地解释经济增长过程和跨国收入差异。
现在我们可暂时来比较一下韩国、新加坡与尼日利亚,并提出以下问题(即使我们尚不能完整地回答这些问题):我们能说韩国和新加坡快速增长是因为它们幸运,而尼日利亚不幸运吗?我们能把韩国和新加坡的快速增长与其地理因素联系起来吗?我们可否将快速增长归功于制度和政策因素?文化能够成为主要因素之一吗?大部分有关这些国家二战后经济和政治情况的详细解释都强调了韩国和新加坡实施的增长促进政策是十分重要的,包括这些国家给企业提供了相对较好的产权保护以及投资激励。相比之下,二战后的尼日利亚饱受内战、军事政变、地方腐败的煎熬,总体来看,其环境无法为企业的投资和技术升级提供激励。因此,很有必要探寻与这些事实相关的经济增长的根本原因。进一步说,将运气视为二战后经济表现的主要原因是不大可靠的,韩国、新加坡和尼日利亚早在二战后初始阶段就存在着显著的经济差距。同样,把这些国家之间的差异说成是由地理因素导致的也不合常理。毕竟,地理环境未发生改变,而韩国、新加坡却在二战后经历了迅猛增长。另外,即便说新加坡得益于其岛国的地理特征,我们也同样可以说尼日利亚丰富的石油资源为其提供了最好的经济增长环境。
跨国文化差异对很多问题都有重要影响,人们也常常将许多亚洲国家的快速增长与某种特定的“亚洲价值观”相联系。然而,文化方面的解释并不足以作为根本原因,因为韩国和新加坡的文化在二战结束后并没有发生太多变化,但是它们战后的快速增长则非常突出。另外,尽管韩国增长很快,与之具有相同文化和亚洲价值观的朝鲜在过去50年里则饱受贫困的煎熬。
这些不可否认的简单(并且片面)论述说明,要更好地理解经济增长的根本原因,我们必须考察能影响物质资本和人力资本积累及技术升级的制度和政策因素。韩国与新加坡的制度和政策有利于经济增长,而尼日利亚则不是。理解经济增长的根本原因主要就是理解这些制度和政策对经济激励的影响,理解为什么它们促进了韩国和新加坡的增长,却没能促进尼日利亚的增长。根本原因和以上讨论中强调的制度因素之间的紧密联系引出了本书的第八篇——经济增长的政治经济学研究,即研究制度如何影响经济增长以及制度本身的国别差异。
这里必须指出一个重要的问题,有关地理、制度和文化的讨论有时并无增长模型甚至经验数据作为明确的参考。毕竟,这是很多非经济学领域的社会学者研究的范畴。然而,如果根本原因可以作用于那些对物质资本、人力资本和技术有重要影响的参数和政策,它们就可以对经济增长产生巨大影响。因此,为了评估那些被认为推动了经济增长的根本原因是否真的起到了其应有的作用,理解经济增长的机制就显得至关重要。增长的经验数据对于鉴别导致跨国收入差异的根本原因也具有同样重要的作用。只有通过构建简化的经济增长模型,并且用数据进行验证,才能使我们更好地理解引起经济增长的直接原因和根本原因。
我们可以从前文的讨论中提炼出三个主要问题:
1.为什么不同国家的人均收入和劳动生产率存在着较大差别?
2.为什么一些国家实现了快速增长,而另一些国家则增长缓慢?
3.是什么使经济长时间保持增长,为什么持续的经济增长开始于大约200年前?
为了寻求以上问题的答案,我们需要一套构思精密的模型来刻画经济增长的机制和跨国收入差距,以及导致各国沿不同路径发展的根本原因。换句话说,我们需要将理论模型与经验研究结合起来。
传统的增长模型——尤其是基本的索洛模型和新古典模型——提供了良好的开端,它们强调投资和人力资本,这与图1.15和图1.16所示一致。然而,我们也注意到跨国技术差异(或是源于各国获取技术发展的机遇不同,或是源于生产效率的不同)同样重要。传统模型把技术和市场结构看作给定的,或最多是外生变化的(很像是一个黑匣子)。但如果技术如此重要,我们应该了解为什么会产生技术进步以及技术是如何进步的,同时还要了解为什么存在技术的国别差异。这一点促使我们更细致地研究内生技术进步和技术应用。确切地说,我们将尽力了解技术差距是如何产生、持续,并影响人均收入差距的。技术变化模型对我们思考200年来世界经济持续增长的源泉,以及起飞于200年前并持续至今的这一增长过程背后的原因都有重要作用。
本章提到的有关经济增长和跨国收入差距的某些其他情况可以告诉我们构建哪些类型的模型才能很好地解释经济增长和跨国收入差异。比如说,我们发现只有很好地理解为什么在过去200多年里有些国家增长很快而其他国家并非如此,才能解释跨国收入差距。因此,我们需要构建能够解释何以一些国家能够获得持续增长而其他国家则不能的模型。
然而,我们也看到二战后的世界收入分配是相对稳定的(至多从1960年至2000年出现了轻微的发散)。这一情况提醒经济学家应该关注那些导致大幅度、持续跨国人均收入差距的模型,而不一定要关注那些导致大幅度、长期经济增长率差距(至少不是近几十年)的模型。这一论断基于以下理由:伴随着长期增长率的显著差异(像内生增长模型一样,投资率不同的国家,其增长率也会有长期差异),我们可以预测到显著的收入差异。我们在前文中看到,虽然世界收入分配的顶端和底部的差距有所扩大,但二战后的跨国收入分配还是相对稳定的。
为了将二战后的情况与过去几个世纪导致各国收入差距的原因联系起来,我们应该寻找一类模型,它们既能解释长期的显著增长差距,又能解释世界收入分配最终趋于稳定的现象,尽管存在着跨国差异较大的问题。从当前全球经济的性质看,跨国收入差异十分具有挑战性,因为全球经济允许技术、大量资金以及商品的自由跨国界流动。于是,我们有必要了解贫穷的国家是如何落后的,是什么阻止了这些国家应用和模仿富裕国家的技术和组织结构(以及从富裕国家引入资本)。
就像上一节讨论的那样,所有这些问题可以(或是应该)从两个不同但相关的层面来回答,且采用相应的两个步骤。第一步是用理论模型和数据说明经济增长的机制。这一步揭示了经济增长的直接原因,解释了物质资本、人力资本、技术差异是如何引起人均收入差异的,反过来,这些又和其他变量,如偏好、技术、市场结构、对国际贸易的开放程度以及经济政策相关。
第二步是探究直接原因背后的根本原因,以及考察为何有些社会的组织模式和其他社会不同。为什么不同的社会有不同的市场结构?为何有些社会采用了激励经济增长的政策而其他国家对技术变化设置障碍?这些问题是经济增长研究的中心议题,只能通过建立系统的政治经济发展模型并获得经济增长历史过程中的数据来揭示这些根本原因。
我们的下一个任务是建立一系列模型解释经济增长机制。我将详细阐述一系列动态一般均衡模型的数学结构,这些模型有助于思考经济增长和相关的宏观经济现象,同时,我重点阐述了这些模型对理解跨国经济表现差异的原因有何启示。只有通过了解这些机制,我们才能建立一个有用的框架,用于思考经济增长和收入不平等的原因。
这一章提到的经验材料基本上是标准化的,其中部分材料可以从许多书中找到,只是其解释和侧重点不同。琼斯(Jones,1998,第1章)和威尔(Weil,2005,第1章)的本科经济增长教科书是很好的入门教材,只是侧重点稍有区别。巴罗和萨拉-伊-马丁(Barro and Sala-i-Martin,2004)也对经济增长的典型事实进行了简单的讨论,但他们的重点是放在二战后经济增长和有条件收敛问题上,而非跨国收入的巨大差距和本章强调的长期视角。赫尔普曼(Helpman,2005)、阿吉翁(Aghion,2008)和豪伊特(Howitt,2008)在其著作中很好地论述了经济增长的关键问题,并且可读性很强,其论述的视角与本文相似。本书中讨论的许多主题在阿吉翁和豪伊特的著作中都得到了很好的阐述。
本章使用的许多数据来自萨默斯-海斯顿(Summers-Heston,佩恩表)的数据库(最新版本,Summers、Heston and Aten,2006)。这些表格由萨默斯和海斯顿通过细致研究而构建的国际可比物价指数和人均收入、消费的估计值组成。购买力平价调整也依赖于这些数据才能完成。萨默斯和海斯顿(1991)透彻地论述了购买力平价调整的方法论及其在佩恩表中的应用。购买力平价调整使人均收入的跨国比较成为可能。没有购买力平价调整,跨国人均收入差距一般采用当期汇率或某种基础汇率来计算。但是,这种以汇率为基础的测度方法存在很多问题。最重要的一个问题是,它不考虑各国相对价格甚至总体价格水平的显著差异。购买力平价调整使我们更加贴近真实收入和真实消费差异的事实。佩恩数据表中的GDP、消费和投资数据全部使用1996年美元价格表示。工人(参见经济活动的人口)、消费和投资的相关信息也都来源于这个数据库。预期寿命数据来源于世界银行的世界发展指标光盘(CD-ROM),是指男性、女性出生时的平均预期寿命。这个数据库还包含一系列其他有用的信息。受教育情况数据来源于巴罗和李(Barro and Lee,2001)的数据库,其中包括可以进行国际比较的受教育年限的信息。跨国数据自始至终都使用了世界银行的标识方法来表示各个不同的国家。这个标识名单可以在网址http://unstats.un.org/unsd/methods/m49/m49alpha.htm上查找。
在所有的图形和回归分析中,增长率都是按照几何平均值计算的。具体而言,从 t 期到 t + T 期的人均产出 y 的几何平均增长率为:
在研究人均收入的情况下,几何平均增长率比算术平均增长率更为合适,因为增长率指的是按比例增长。我们很容易从该公式得出,假定对于所有 t 期,都有 y t+1 =(1+ g ) y t ,则可推出 g t+T = g 。
历史数据来源于麦迪森的各类研究成果,尤其是2001年和2003年的研究。尽管这些数据不像佩恩表那样可靠,但其展示的总体情况和来源于各种渠道的证据大致相符。不过,也存在一些争议。比如,图1.11中麦迪森的估计值表明西欧国家的人均收入从公元1000年起开始了缓慢但比较稳定的增长。这种增长模式引起一些历史学家和经济史学家的争议。彭慕兰(Pomeranz,2000)在其可读性较强的论述中,强烈批评了这一论断,他认为西欧国家和中国长三角地区的人均收入直到公元1800年才基本相当。这个观点在艾伦(Allen,2004)近期的研究中也得到了支持,该研究表明西欧国家和中国的农业生产率水平在公元1800年时基本相当。阿西莫格鲁、约翰逊和罗宾逊(2002,2005b)以城市化率作为人均收入的代理变量进行研究,得出的结果介于麦迪森和彭慕兰之间。阿西莫格鲁、约翰逊和罗宾逊(2002)的研究还表明,各国直到16世纪初都只有很小的收入差距,快速的经济增长过程始于19世纪(或18世纪晚期)。布罗德伯利和古普塔(Broadberry and Gupta,2006)在近期的研究中不认同彭慕兰的观点,并且更为支持西欧和中国之间的收入差距始于18世纪末的论断。
第1.4节用到的“起飞”这个词来自沃尔特·罗斯托的著作《经济增长的阶段》( The Stage ofEconomic Growth ,1960),它的含义比“工业革命”这个词更广泛,经济史学家用后者表示英国在18世纪末期开始的历史进程(例如Ashton,1969)。莫克尔(Mokyr,1993)对工业增长的开端是源于连续还是非连续变化的争议进行了精彩的论述。与我在此处的观点一致,莫克尔认为,上述问题与现代经济增长过程是否的确始于这一时期的问题相比是次要的。
从巴罗(Barro,1991)开始,有大量文献研究经济增长的相关要素。巴罗和萨拉-伊-马丁(2004),以及巴罗本人(1997)对这些文献进行了综述。然而,其中很多文献把相关关系解释为因果关系,即使这种解释并没有根据(见第3章和第4章的讨论)。
图1.15和图1.16显示了1960年至2000年平均投资和平均受教育年限与该时期经济增长之间的关系。该时期投资增长和经济增长之间的关系是比较紧密的,但是受教育年限增加与经济增长之间的联系就要弱很多。受教育年限增加和产出增加之间缺乏联系可能源于一系列的原因。第一,对受教育年限的估算存在着较多的测算误差(参见Kruger and Lindahl,2001)。第二,像后面一些模型阐述的那样,人力资本的主要作用是促进新技术的应用,因此,我们认为教育水平和经济增长之间的关系要比受教育年限变化与经济增长之间的关系更强(参见第10章)。最后,教育水平与经济增长的关系可能有虚假的成分,因为可能会存在被忽略的与教育水平相关的其他因素也影响着两者之间的关系,如果这是事实,这些被忽略的因素也许在我们观察教育变化时被去除了。虽然我们无法就这些解释得出确切的结论,但图1.16中显示的平均受教育程度与经济增长之间的强相关性本身也依然十分有趣。
萨拉-伊-马丁(2005)发现,当我们用各国人口数量作为权重时,世界经济的人均收入差异会缩小。迪顿(Deaton,2005)批评了萨拉-伊-马丁的研究。麦迪森(1991)则首次提出,各国人均收入在公元1800年左右或之前一定更加平等,因为个人要想生存,必定存在一个真实收入的下限要求。该观点后来由普利切特(Pritchett,1997)进一步推广。麦迪森关于人均GDP的估计以及阿西莫格鲁、约翰逊和罗宾逊(2002)基于城市化的估计都证实了上述结论。
本章对人均收入密度的估计和夸赫(Quah,1993,1997)以及琼斯(Jones,1997)使用的类似。这些估计使用了非参数高斯核。核估计的具体细节并未改变密度的总体形状。夸赫还首次提出了世界收入分布的分层以及向双峰分布转变的可能,这一点可以从图1.3中观察到。他还将这种“双峰”现象命名为“孪生峰”(参见Durlauf and Quah,1999)。巴罗本人(1991)以及他和萨拉-伊-马丁(1992,2004)强调了有条件收敛的存在及其重要性,并驳斥了夸赫和其他人强调的收入分层模式的正确性。据巴罗和萨拉-伊-马丁(1992)估计,有条件收敛的速度为每年大约2%。卡塞利、艾斯奎瓦和勒夫特(Caselli、Esquivel and Lefort,1996)的研究表明,使用面板数据进行回归会引起有条件收敛的速度显著上升。
麦里斯(Marris,1982)和鲍莫尔(Baumol,1986)是最早研究跨国收敛的经济学家。然而,当时的数据质量比萨默斯-海斯顿的数据质量要低,而且只能获取部分样本国家的数据。巴罗本人(1991)以及他和萨拉-伊-马丁(1992)在研究中使用了萨默斯-海斯顿数据库,这极其有益于重新燃起对跨国增长回归的兴趣。
关于GDP增长率和南非黑人实际工资的数据来源于威尔森(Wilson,1972)的研究。这里的工资是指金矿的实际工资。费恩斯坦(Feinstein,2005)就南非经济史进行了精彩论述。莫克尔(1993)讨论了英国工业革命对实际工资和工人生活水平的影响。另一个关于经济快速增长伴随着实际工资下降的例子是20世纪早期的墨西哥经济(见Gomez-Glavarriato,1998)。还有证据表明,这一时期墨西哥人口的平均身高可能出现了下降,这常常与生活水平的下降有关(Lopéz-Alonso and Porras Condey,2004)。
有关技术和资本积累在东亚国家,尤其是韩国和新加坡的增长经历中所起的作用也有过争论。例如扬格(Young,1991,1995)认为,物质资本和劳动力投入的增长几乎完全能够解释两国经济的快速增长。而克雷诺和罗德里格兹(Klenow and Rodriguez,1997)以及谢长泰(Hsieh,2002)则持相反观点。
后面各章还会进一步讨论直接原因和根本原因的区别。诺思和托马斯(North and Thomas,1973)在其经典著作中含蓄地谈到了这一区别,戴蒙德(Diamond,1997)则在不同的背景下讨论了这种区别。阿西莫格鲁、约翰逊和罗宾逊(2005a)详细讨论了两种原因在长期经济发展和经济增长环境下的区别。第4章将更详细地讨论这些问题。