



 
   
    “所谓无调性三音组是指由三全音和小二度音程构成的三音组,这样的三音组在勋伯格、贝尔格和韦伯恩的作品中被大量运用。”
     罗伊格·弗朗科利指出:在他们的作品中诸如这种增四度和纯四度构成的四度叠置和弦,是其作品中的一大特色
    罗伊格·弗朗科利指出:在他们的作品中诸如这种增四度和纯四度构成的四度叠置和弦,是其作品中的一大特色
     。这一和弦用音级集合表示为3~5,音程含量为[100011]。笔者在分析桑桐创作的无调性音乐作品《夜景》和《在那遥远的地方》时,同样发现其中使用了大量的无调性三音组。尽管桑桐与新维也纳乐派作曲家都使用这类三音组,但就其组合形态而言,二者有不同的考虑。
    。这一和弦用音级集合表示为3~5,音程含量为[100011]。笔者在分析桑桐创作的无调性音乐作品《夜景》和《在那遥远的地方》时,同样发现其中使用了大量的无调性三音组。尽管桑桐与新维也纳乐派作曲家都使用这类三音组,但就其组合形态而言,二者有不同的考虑。
   
无调性三音组是相对于建立调性的主要音程或者音组而言的。在古典时期调性音乐作品中,通过对三全音的解决来确立调性;同时,在那个时期音乐中纵向叠置的小二度(大七度)或者是增一度(减八度)是不曾出现的。而无调性音乐正是以这类调性音乐为“标杆”,反其道而行之,将三全音(不解决)和小二度音程作为其核心音程,并由此构建三音组,从而构成无调性音乐的主要音高材料。三全音和小二度音程构成的三音组,根据音与音之间的关系,在组合形态上可以分为三类模式,共六种形式。
模式1有两种组合形态。第一种组合是音数6 +音数1,即三音组的下方为三全音,另外一个音是在三全音的上方叠置一个小二度、大七度或增一度关系的音,如C— # F—G,以半音阶各音为根音依次构建,可构成12种模式,称之为“模式1a”。第二种组合与其相反,即音数1 +音数6,是在三全音的下方增加一个小二度、大七度或增一度音,如B—C— # F,以半音阶各音为根音依次构建,可构成12种模式,称之为“模式1b”。两种组合形态可以理解为以三全音为中心,在其上方或下方分别增加一个小二度、大七度或增一度音(见图1-4-1)。
 
    图1-4-1模式1
为了方便记谱,在构建组合形态时,三全音(增四度或减五度)用音数6表示,小二度、增一度和大七度全部都用音数1表示。两类组合均以C音开始构建,共有12对三音组(见谱例1-4-1)。
谱例1-4-1:模式1的两种组合形态
 
    
   将模式1a进行第一次转位,如将谱例1-4-1第一小节三音组的三音 # F作为低音,构成 # F—G—C,便形成模式2的第一种组合形态,即音数1+音数5。可以概述为:在小二度、增一度或大七度的上方,增加一个纯四度或纯五度音,如C— # C— # F,以半音阶各音为根音依次构建,可构成12种模式,称之为“模式2a”。第二种组合与其相反,即音数5 +音数1,是在小二度、增一度或大七度的下方,增加一个纯四度或纯五度音,如G—C— # C,以半音阶各音为根音依次构建,可构成12种模式,称之为“模式2b”。两种组合形态可以理解为以小二度为中心,在其上方或下方分别增加一个纯四度音(见图1-4-2)。
 
    图1-4-2模式2
为了方便记谱,在构建组合形态时,小二度、增一度、大七度全部都用音数1表示,纯四度或者纯五度全部用音数5表示。两类组合均以C音开始构建,共有12对三音组(见谱例1-4-2)。
谱例1-4-2:模式2的两种组合形态
 
    
   将模式1a进行第二次转位,或者将模式2a进行第一次转位,便可构成模式3。如将谱例1-4-2第一小节三音组的三音 # C作为低音,构成 # C— # F—C,便形成模式2的第一种组合形态,即音数5 +音数6,以半音阶为根音依次构建,可构成12种模式,称之为“模式3a”。第二种组合与之相反,是在音数5的下方加入一个三全音,如G— # C— # F,即音数6 +音数5,以半音阶为根音依次构建,可构成12种模式,称之为“模式3b”。两种组合形态可以理解为以纯四度为中心,在其上方或下方分别增加一个三全音(见图1-4-3)。
 
    图1-4-3模式3
为了方便记谱,在构建组合形态时,纯四度或纯五度全部用音数5表示,三全音(增四度或减五度)用音数6表示。两类组合均以C音开始构建,共有12对三音组(谱例1-4-3)。
谱例1-4-3:模式3的两种组合形态
 
    
   
    西方音乐史上被公认的“第一首无调性音乐作品”是《钢琴曲三首》(Op.11)
     ,由勋伯格在1909年创作;同年,他还创作了《五首管弦乐》(Op.16)。而勋伯格1912年创作的独唱套曲《月迷彼埃罗》(Op.21),在其早期无调性作品中也颇具特色。实际上,勋伯格对于无调性三音组的使用,要远远早于其被公认的第一部无调性作品,在他1903—1904年创作的《歌曲六首》(Op.8)、1907—1908年创作的《歌曲两首》(Op.14)等作品中随处可见无调性三音组。由于篇幅所限,本书对勋伯格早期作品中的无调性三音组的分析将以三个时间段的代表性作品为例,其一,是1909年之前的《歌曲六首》(Op.8);其二,是1909年的《钢琴曲三首》(Op.11);其三,是1909年之后的最具代表性的作品《月迷彼埃罗》
    ,由勋伯格在1909年创作;同年,他还创作了《五首管弦乐》(Op.16)。而勋伯格1912年创作的独唱套曲《月迷彼埃罗》(Op.21),在其早期无调性作品中也颇具特色。实际上,勋伯格对于无调性三音组的使用,要远远早于其被公认的第一部无调性作品,在他1903—1904年创作的《歌曲六首》(Op.8)、1907—1908年创作的《歌曲两首》(Op.14)等作品中随处可见无调性三音组。由于篇幅所限,本书对勋伯格早期作品中的无调性三音组的分析将以三个时间段的代表性作品为例,其一,是1909年之前的《歌曲六首》(Op.8);其二,是1909年的《钢琴曲三首》(Op.11);其三,是1909年之后的最具代表性的作品《月迷彼埃罗》
     。
    。
   
在勋伯格早期音乐创作中,歌曲创作占有重要的比重,未编号的有1893年的两首歌曲、1894年的十余首歌曲,以及1895年、1897年创作的数首歌曲,随后在1898—1909年间创作的主要艺术歌曲有《歌曲两首》(Op.1)、《歌曲四首》(Op.2)、《歌曲六首》(Op.3)、《歌曲六首》(Op.8)、《歌曲四首》(Op.14)等。
其中《歌曲六首》(Op.8)由管弦乐伴奏,这在其整个歌曲创作中并不多见,无调性三音组的使用也比较频繁。第一首中主要使用的有模式1a,如第19~20小节旋律声部的 b G—C—B等,以及模式2b,如第50~52小节旋律声部的F—C—B。第二首中使用的有模式1b,如第7小节旋律声部的D— # C— # G等,以及模式2b,如第38~39小节旋律声部的A—D— # C。第三首是六首歌曲中使用最多的,使用模式1b的有第10~11小节旋律声部的C—B—F(见谱例1-4-4),使用模式1a的有C— b G—F;使用模式2a的有第12(谱例1-4-4)和35小节旋律声部的F—E—B、第19~20小节旋律声部的 # G—A—D等。第四首中使用的有模式2b,如第2小节旋律声部的F—C—B;模式2a,如第26小节旋律声部的F—E—B;模式1b,如第62~63小节旋律声部的C—B—F等。第五首使用的有模式3a,如第20~21小节旋律声部使用的B—E—F和F—C— # F;模式1b,如第53小节旋律声部的C—B—F等。第六首使用的有模式2a,如第5~6小节旋律声部的 # F—G—C;模式3a,如第10小节旋律声部的 # F—B— # E等。
谱例1-4-4:《歌曲六首》(Op.8)第3首第9~14小节
 
   从以上分析中可以看出,六首歌曲中对无调性三音组的使用,全部出现在旋律声部。上述所列举的17个无调性三音组中,模式2a使用最多,其次是模式1b,这反映出作曲家在这首作品的三音组使用上,优先选择小二度音程作为无调性三音组的核心音程。
1909年对于勋伯格来说,不仅创作了第一首无调性钢琴作品(《钢琴曲三首》Op.11),也开创了无调性管弦乐作品(《五首管弦乐曲》Op.16)之先河,在西方音乐史上具有重要的开拓性意义。
第一首,首先使用的纵向叠置的模式1b,第2小节的 b G—F—B;随后是第12小节出现的模式3b, b E—A—D;第28小节的模式1a,B—F—E;以及这一小节的模式3a,C—F—B和第39小节的F— b B—E;最后以第64小节的 b E—A—D纵向叠置而成的模式3b结束全曲。
第二首中,纵向叠置的无调性三音组有模式3b,如第7小节的F—B—E、第10小节的 b E—A—D和第25小节的 b B—E—A等;模式3a,如第25小节的C—F—B。横向进行的三音组有:模式1b,如第41小节的F—E— b B;模式2a,如第22~23小节的 # G—A—D;模式3a,如第25小节的 b A— b D—D、第40小节的 b E— b B—E;模式3b,如第43小节的D— # G— # C和 b E—A—D等。
第三首中,纵向叠置的无调性三音组有模式3b,如第1小节的A— # D— # G,第21小节的F—B—E,第27小节的 b G—C—F、F—B—E、 # F—C—G、B—F—C、E—bB—bE和bE—A—D(见谱例1-4-5)等;横向进行的无调性三音组有模式3b,如第11小节的bG—C—F、第12小节的A— b E— b A、第25小节的D— # G— # C等;模式2b,如第15~16小节的G—D— # C、第25小节的C—G— # F等;模式1b,如第28小节的E— # D—A等。
谱例1-4-5:《钢琴曲三首》(Op.11)第3首第27~28小节
 
   从以上分析中可以看出,《钢琴曲三首》中对无调性三音组的使用,不仅出现在旋律声部,更多出现在纵向叠置的结构上。上述所列举的三音组中,模式3b使用最为频繁,尤其是在纵向上的使用更加突出,这反映出勋伯格在这首作品的三音组使用上,优先选择三全音作为无调性三音组的核心音程。
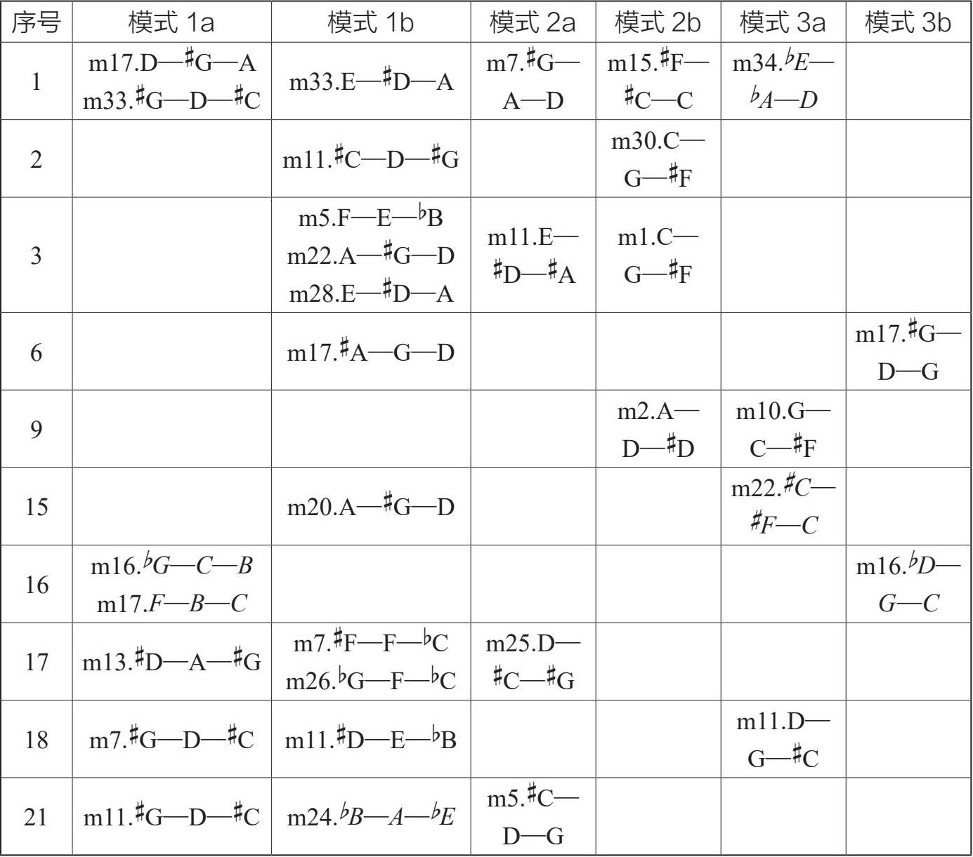
《月迷彼埃罗》是勋伯格于1912年创作的独唱套曲,共21首。在这部套曲中,相对前两首作品而言,无论是横向旋律进行,还是纵向和声结构,无调性三音组的运用都较为频繁。为了方便表述,本文将以21首乐曲中最具代表性的几首为例,将其中的无调性三音组列举出来,见表1-4-1。
     表1-4-1
      《月迷彼埃罗》中的无调性三音组模式
     《月迷彼埃罗》中的无调性三音组模式
    
 
   从表1-4-1中可以看出,《月迷彼埃罗》中均使用了横向和纵向上的无调性三音组。其中,模式1a和1b使用最为频繁,其次是模式2a和2b,最后是模式3a,这反映出勋伯格在这首作品的三音组使用上,仍然优先选择三全音作为无调性三音组的核心音程。
    中国第一首无调性音乐作品当属桑桐1947年创作完成的室内乐作品《夜景》,而这与勋伯格的《钢琴曲三首》(Op.11)创作时间(1909年)相比,晚了近38年。笔者认为,桑桐在分析、研究勋伯格无调性作品时,应该领悟了无调性三音组的使用(桑桐给郑英烈的信中已经说明了这一点),但两位作曲家考虑到“音级集合3~5”的可能性几乎没有
     。毋庸置疑,在构建无调性音乐音高组合形态上,两位作曲家既有区别又有联系。正因如此,本书在考察、分析《夜景》和《在那遥远的地方》的无调性手法时,同样基于对作品中无调性三音组的分析。
    。毋庸置疑,在构建无调性音乐音高组合形态上,两位作曲家既有区别又有联系。正因如此,本书在考察、分析《夜景》和《在那遥远的地方》的无调性手法时,同样基于对作品中无调性三音组的分析。
   
《夜景》于1948年首演于上海,公开发表于1981年《音乐创作》第2期。作品由引子和三个部分(第一段8~28小节、第二段29~40小节、第三段46~67小节)构成。
无调性三音组同样贯穿于全曲之中,首先在旋律声部广泛运用模式1b,如开始处的C—B—F,随后第3小节旋律声部出现D— # C— b A,下方的琶音声部则为 b A—G— b D和 b B—A—E等,这种横向上的音数1+音数6形态,对调性的破坏力极强,使得乐曲刚刚开始就处于无调状态。模式1b在随后的音乐发展中继续被反复使用,如第一段第8小节的C—B—F、第26~27的小节 b B—A— b E;第二段第31小节的D— b E—A、33小节的A— b B—E和第39~40小节的 b A—G— b D、C—B—F等;第三段第42~43小节的C— b D—G、44~45小节的 # D—E— b B和52小节的F— # F—C、 # F— # E—B等;第55小节则改变成模式2a,音高级为G— b A— b D,第64~66小节再次转回到模式1b,音高级为 b B—A— b E。
以纵向结构形态呈示的无调性三音组相对于旋律声部,来得稍迟一些,直到第10小节的低音声部才以C—G— b D呈现,构成模式3a;第11小节为E— b A— b E,构成模式3b;随后则采用了大量的模式3a,如第21小节 b A— b E—A、第31小节G—D— b A、第33小节D—G— # C、第43小节D—G— # C、第44小节 b E— b A—D、第45小节G—C— # F和第49小节 # C— # F—C等;第66小节 b A—E—A为模式3b,第67小节 b B—F—B转回到模式3a(见谱例1-4-6)。
谱例1-4-6:《夜景》中的模式3a
 
   桑桐第二首无调性作品创作于1947年夏,为钢琴独奏曲《在那遥远的地方》,公开发表于1984年《音乐创作》第1期。这首作品表达了作曲家对一位远方友人的怀念。作品以同名青海民歌为素材,全曲共五个段落,具有变奏的性质。每段都有不同情绪的变化,分别是:深情的思念、真情的思念、热情的思念、真情的思念、深沉的思念、激动的思念。
由于主旋律采用民歌旋律,故在横向进行上无法使用无调性三音组的三种模式,只有在和声纵向结构上频繁运用,进而达到无调性的写作目的。乐曲的开始处,便采用了模式3a,即纵向结构的三音组B—E— b B,随后在第8小节使用B—E— b B,第14小节使用 # F—B—F,第28小节使用 b B— b E—A,第39小节使用B—E— b B等(见谱例1-4-7)。在横向上也有模式3a的使用,如第42小节的E—A— b E、第44小节的C—G— # C与A—D— # G、第45小节的D—A—bE等。
谱例1-4-7:《在那遥远的地方》中的模式3a
 
   其他两种模式的使用有:模式2a,如第50小节的 b G—F—C;模式2b,如第32小节的 b E— b B—A;模式3b,第33小节的F—B—E、第39小节的C— b G— # C、第49小节的 # D—A—E和第53小节的 # C—G—C、 b E—A—E、C— # F— # C等。
从以上分析中可以看出,模式3a在这两首作品中得到广泛运用,尤其是在纵向结构上。此外,《夜景》和《在那遥远的地方》中纵向结构的很多音高组合,下方声部以音数5作为核心音程的也频繁出现,这些共同体现了作曲家优先选择纯四度作为两部作品中无调性三音组的核心音程。
    综上所述,本书通过分析与研究,认为无调性三音组可以分为三种组合模式。模式1为音数6 +音数1,模式2为音数1 +音数5,模式3为音数5 +音数6。根据音程的叠置顺序,每种模式又可以分为a和b两种。勋伯格早期无调性作品中大量运用了这三类模式,但更倾向于模式1a、模式1b、模式2a与模式3b等。对这些模式的选择,笔者认为作曲家的出发点是为了实现音高语言上的无调性或者是通过音高语言与其他手法一起共同达到无调性的目的。而桑桐的《夜景》和《在那遥远的地方》中则运用了许多模式3a,并且多使用长时值、纵向的柱式和弦织体,这样的形式在勋伯格的作品中则比较少见。笔者认为勋伯格的三音组更多地倾向于以音数6或者音数1为核心音程,在其上方叠置另外一个音程进而构成三音组;而桑桐则相反,在关键的结构部位与长时值音符则采用音数5作为核心音程,在其上方叠置一个音程构成三音组,这一方面反映出桑桐在分析、总结勋伯格无调性手法时,既受到了这种三音组的启发,又根据三音组自身的组合形态,做出了选择性运用;另一方面,也反映出在对无调性三音组模式的选择上,桑桐对欣德米特根音理论的吸收
     ,即低音声部的音程对三音组的音响特征具有重要的影响,因而将音数5作为三音组的基础音程;同时,这种选择也充分反映出桑桐对无调性三音组使用技术的选择是基于民族化音乐风格的考量。
    ,即低音声部的音程对三音组的音响特征具有重要的影响,因而将音数5作为三音组的基础音程;同时,这种选择也充分反映出桑桐对无调性三音组使用技术的选择是基于民族化音乐风格的考量。
   
    需要进一步指出的是,“采用不同的分析技术或者视角分析同一首作品会带来多样化的分析结果,而多样化的分析结果也将赋予作品以新的解释
     。”如果从音级集合的视角去看无调性三音组,则无论是哪位作曲家使用了这一组合,均可以理解为集合3~5;而如果从“维也纳三音和弦”的视角去分析,诸如上述无调性作品中均可以概括为使用了这类和弦。但本书以无调性三音组组合形态为视角,将其不同的组合形态进行比较,发现勋伯格与桑桐在对无调性三音组使用上,对组合形态均有自己的考虑。对于音乐分析而言,究竟是聚焦于作品的抽象概括,还是关注作品的音高组合形态?本书认为要针对作品具体问题具体分析,一切从作品的创作实际出发,方能较为全面地把握作品的真正内涵,才能洞察作曲家的创作智慧,进而为音乐表演、音乐认知、音乐教育,以及我国音乐文化的丰富发展提供较为全面的资料。
    。”如果从音级集合的视角去看无调性三音组,则无论是哪位作曲家使用了这一组合,均可以理解为集合3~5;而如果从“维也纳三音和弦”的视角去分析,诸如上述无调性作品中均可以概括为使用了这类和弦。但本书以无调性三音组组合形态为视角,将其不同的组合形态进行比较,发现勋伯格与桑桐在对无调性三音组使用上,对组合形态均有自己的考虑。对于音乐分析而言,究竟是聚焦于作品的抽象概括,还是关注作品的音高组合形态?本书认为要针对作品具体问题具体分析,一切从作品的创作实际出发,方能较为全面地把握作品的真正内涵,才能洞察作曲家的创作智慧,进而为音乐表演、音乐认知、音乐教育,以及我国音乐文化的丰富发展提供较为全面的资料。