



需求变动是导致产业结构演变的直接因素,产业的扩大或缩小一般都是由最终需求驱动的。分析产业结构的变动首先要分析最终需求结构的变动,最终需求结构的分析可以从最终需求产品结构和分配结构两个方面着手。
分析最终需求的产品结构就是分析最终需求的产品构成,最终需求的产品结构亦称列结构,其系数定义如下:
式中, d C , d I , d E , d M 分别表示最终消费、资本形成、出口、进口产品结构系数向量; F C , F I , F E , F M 分别表示最终消费、资本形成、出口、进口产品向量; F Ci , F Ii , F Ei , F Mi 分别表示第 i 部门的最终消费、资本形成、出口、进口产品数量。最终需求的产品结构系数表示的是某种最终使用产品占最终使用总量的比例。
【例4.1】 假设某地2022年投入产出最终使用表(见表4-1),计算最终使用产品结构系数(见表4-2)。为了比较分析计算出该地区2017年最终使用产品结构系数(见表4-3),此处省略2017年投入产出最终使用表,下同。
表4-1 某地区2022年投入产出最终使用表 单位:百万元
表4-2 某地区2022年最终使用产品结构系数表
表4-3 某地区2017年最终使用产品结构系数表
分析最终需求的分配结构就是分析最终需求的项目构成,最终需求的分配结构亦称行结构,其系数定义如下:
式中, S Ci , S Ii , S Ei 分别表示第 i 部门的最终消费、资本形成、输出分配结构系数; F Ci , F Ii , F Ei 分别表示第 i 部门的最终消费、资本形成、输出项目数量。最终需求的分配结构系数表示的是某部门某项最终使用产品占该部门最终使用总量的比例。
【例4.2】 根据某地2022年投入产出最终使用表(见表4-1)计算最终使用分配结构系数(见表4-4)。为了比较分析计算出该地区2017年最终使用分配结构系数(见表4-5)。
表4-4 某地区2022年最终使用分配结构系数表
表4-5 某地区2017年最终使用分配结构系数表
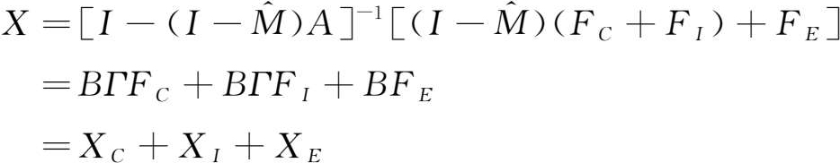
最终需求是影响生产的主要因素,最终需求决定了总产出。利用列昂惕夫逆矩阵可对各产业的生产诱发额和生产诱发系数进行分析。
生产诱发额是指对于各项最终需求量,由产业间的波及效果所激发的全部生产额。生产诱发额定义如下:
式中,
B
=[
I
-(
I
-
)
A
]-
1
,
Γ
=
I
-
,
X
C
=
BΓF
C
,
X
I
=
BΓF
I
,
X
E
=
BF
E
,
X
C
,
X
I
,
X
E
分别表示最终消费
F
C
、资本形成
F
I
、出口
F
E
诱发出的生产额向量。
生产诱发系数是诱发生产额与相应的最终需求额合计之比,其含义是某项最终使用若增加一个单位,则相应的产出总量将要增加多少个单位。生产诱发系数定义如下:
式中, x C , x I , x E 分别表示最终消费、资本形成、出口的生产诱发系数向量; i T =(1,1,…,1)为 n 维向量, T 表示向量转置, i 为分量均为1的 n 维列向量。
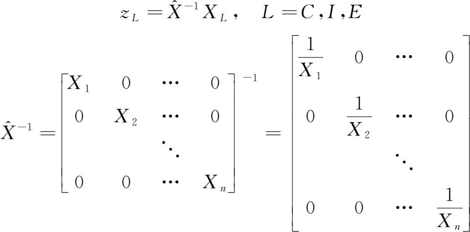
利用生产诱发额可对某一产业最终需求的各项目进行最终需求依存度的分析。所谓某产业最终需求各项目的依存度,是指该项目的生产诱发额与该产业所有最终需求项目生产诱发额的合计之比。通过最终需求项目的依存度分析,会发现一些与消费似乎没有关系的产业,通过波及效应,最终竟也有相当的比重是依赖于消费的。当然,通过分析,还可以了解到哪些产业是“消费依赖型”的,哪些产业是“投资依赖型”的,哪些产业是“出口依赖型”的。生产依存度定义如下:
式中, z C , z I , z E 分别表示最终消费、资本形成、出口的生产依存度系数向量。
【例4.3】 根据某地2022年投入产出最终使用表(见表4-1)计算最终使用生产诱发额、生产诱发系数、生产依存度(见表4-6至表4-8)。
表4-6 某地2022年最终使用生产诱发额表 单位:百万元
表4-7 某地2022年最终使用生产诱发系数表
表4-8 某地2022年最终使用生产依存度
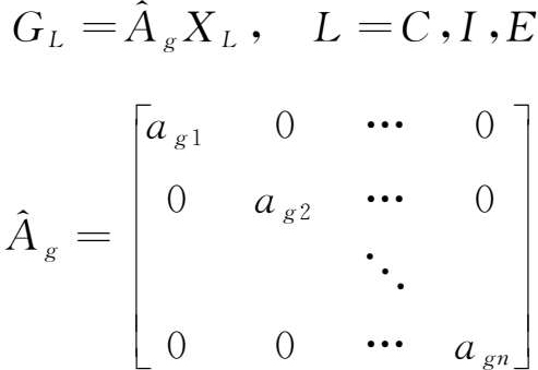
最终需求结构影响总产出,总产出结构又会影响增加值。利用增加值系数可对各产业的增加值诱发额和增加值诱发系数进行分析。
式中,G C ,G I ,G E 分别表示最终消费F C 、资本形成F I 、出口F E 通过X C ,X I ,X E 诱发出的增加值向量。
增加值诱发系数是诱发增加值与相应的最终需求额合计之比,其含义是某项最终使用若增加一个单位,则相应的增加值将要增加多少个单位。增加值诱发系数定义如下:
式中, g C , g I , g E 分别表示最终消费、资本形成、出口的增加值诱发系数向量。
【例4.4】 根据某地区2022年投入产出最终使用表(见表4-1)计算最终使用增加值诱发额、增加值诱发系数(见表4-9、表4-10)。
表4-9 某地2022年最终使用增加值诱发额表 单位:百万元
表4-10 某地2022年最终使用增加值诱发系数表