



一般而言,基础底面的埋置深度小于基础短边宽度的尺寸,或从施工角度考虑,埋置深度不超过 5 m时,可以采用比较简单的施工方法施工。如对于最常用的明挖法,在设计计算时可以忽略基础侧面土体对基础的影响。这种基础结构形式也较简单,统称为浅基础。而采用桩基、沉井和地下连续墙等特殊施工方法修建的基础称为深基础,其埋置深度较大。设计计算时,需考虑基础侧面土体对基础的影响,基础结构形式和施工方法也较复杂。
天然地基上浅基础由于埋深浅,结构形式简单,施工方法简便,造价也较低,在满足地基承载力和变形要求的前提下,应优先选用。因此,天然地基上浅基础也成为建筑物最常用的基础类型。本项目介绍天然地基上浅基础的设计计算原理,这些原理也基本适用于人工地基浅基础。
天然地基上的浅基础施工简单,造价低,一般地基条件较好时应首选天然地基上的浅基础。对于某一较差的地基条件,可以在原基础上扩大基础底面尺寸或做成深基础,也可以直接对地基进行处理,形成人工地基。所以,地基和基础的方案是密切配合、相辅相成的,设计上常称为地基基础设计,而不是单纯地称为基础设计或地基设计。
基础设计主要包括对地基作出评价,结合建筑物和其他具体条件初步拟订基础的材料、埋置深度、类型及尺寸,然后通过验算,证实各项设计要求是否能得到满足,最后确定方案。
如前所述,浅基础分为刚性基础和柔性基础。刚性基础结构比较简单,只需圬工材料,不需要钢材,桥梁工程中用得较多。柔性基础要用钢筋混凝土,桥梁中用得较少。这两类基础在底面尺寸相同时,对地基的要求和验算内容均相同,但是它们的结构强度设计计算方法不同,应分别按《公路圬工桥涵设计规范》(JTG D61—2005)和《公路钢筋混凝土及预应力混凝土桥涵设计规范》(JTG 3362—2018)的规定进行。这里只介绍刚性浅基础的设计计算方法。
刚性浅基础设计计算的一般步骤为:
①初步选定基础的埋置深度;
②选定基础的材料(采用石砌还是混凝土浇筑),初步拟订基础的形状和尺寸;
③验算地基强度(持力层和软弱下卧层);
④验算基底的合力偏心距;
⑤验算基础抗滑动和抗倾覆稳定性;
⑥必要时,验算基础的沉降。
验算中如发现某项设计不满足要求,或虽然满足,但尺寸或埋深显得过大而不经济,则需适当修改尺寸或埋置深度,重复各项验算,直到各项要求全部满足,使基础尺寸较为合理为止。
确定基础埋置深度是地基基础设计中首先要解决的重要问题,它决定将基础支承在哪一个土层上。由于不同土层的承载力存在很大差别,因此,基础的埋置深度将直接影响结构物的牢固、稳定和正常使用问题。此外,埋置深度的大小还影响采用的基础类型及相应的施工方法,也关系到工程的造价。
确定基础埋置深度时,应考虑以下原则:
①将基础设置在变形较小,而强度又比较大的持力层上,以保证地基强度满足要求,而且不致产生过大的沉降或沉降差;
②使基础有足够的埋置深度,以保证基础的稳定性,确保基础的安全。
基础埋置深度的确定,必须综合考虑地基的地质、地形、河流的冲刷深度、当地的冻结深度、上部结构形式,以及保证基础稳定所需的最小埋深和施工技术条件、造价等因素。对于某一具体工程来说,往往是几种因素起决定作用,所以,设计时必须从实际出发,以各种原始资料为依据,统一考虑结构物对地基基础的各项技术要求,抓住主要因素进行分析研究,确定合理的埋置深度。
地质条件是确定桥涵基础埋深的重要因素之一。覆盖土层较薄(包括风化岩层)的岩石地基,一般应清除覆盖土和风化层后,将基础直接修建在新鲜岩面上。如岩石的风化层很厚,难以全部清除时,基础放在风化层中的深度应根据其风化程度、冲刷深度及相应的地基承载力容许值确定。如岩层表面倾斜时,不得将基础的一部分置于岩层上,而另一部分则置于土层上,以防止基础因不均匀沉降而发生倾斜甚至断裂。在陡峭山坡上修建桥台时,还应注意岩体的稳定性。
当基础埋置在非岩石地基上,如受压层范围内为均质土,基础埋置深度除满足冲刷、冻胀、基础最小埋深等要求外,可根据荷载大小,由地基土的承载能力和沉降特性确定。当地质条件较复杂,如地层为多层土组成或对大中型桥梁及其他建筑物基础持力层的选定,应通过较详细计算或方案比较后确定。
图 2.5 河流冲刷示意图
在有水流的河床上修建基础时,要考虑洪水对基础下地基土的冲刷作用(图 2.5),洪水水流越急,流量越大,洪水的冲刷越大,整个河床面被洪水冲刷后要下降,称为一般冲刷,被冲下去的深度称为一般冲刷深度。同时桥墩的阻水作用使洪水在桥墩四周冲出一个深坑,称为局部冲刷。
在有冲刷的河流中,为防止桥梁墩、台基础四周和基底下土层被水流掏空冲走以致倒塌,基础必须埋置在设计洪水的最大冲刷线以下一定深度,以保证基础的稳定性。
《公路桥涵地基与基础设计规范》(JTG 3363—2019)规定如下:
①对于涵洞基础,基底应埋置在局部冲刷线以下不小于 1 m。如河床上有铺砌层时,基底宜设置在铺砌层顶面以下不小于 1 m。
②非岩石河床桥梁墩台基底埋深安全值可按表 2.2 确定。
表 2.2 基底埋深安全值
注:①总冲刷深度为自河床面算起的河床自然演变冲刷、一般冲刷与局部冲刷深度之和。
②表列数值为墩台基底埋入总冲刷深度以下的最小值;若对设计流量、水位和原始断面资料无把握或不能获得河床演变准确资料时,其值宜适当加大。
③若桥位上下游有已建桥梁,应调查已建桥梁的特大洪水冲刷情况,新建桥梁墩台基础埋置深度不宜小于已建桥梁的冲刷深度且酌加必要的安全值。
④如河床上有铺砌层时,基础底面宜设置在铺砌层顶面以下不小于 1 m处。
③对于位于河槽的桥台,其最大冲刷深度小于桥墩总冲刷深度时,桥台基底的埋深应与桥墩基底相同。桥台位于河滩时,对河槽摆动不稳定河流,桥台基底高程应与桥墩基底高程相同;在稳定河流上,桥台基底高程可按照桥台冲刷结果确定。
修筑在覆盖土层较薄的岩石地基上,河床冲刷又较严重的大桥桥墩基础,应置于新鲜岩面或弱风化层中并有足够埋深,以保证其稳定性。也可用其他锚固措施,使基础与岩层能连成整体,以保证整个基础的稳定性。如风化层较厚,在满足冲刷深度要求下,一般桥梁的基础可设置在风化层内,此时,地基各项条件均按非岩石考虑。
在寒冷地区,应考虑由于季节性的冰冻和融化对地基土引起的冻胀影响。
产生冻胀的原因是冬季气温下降,当地面下一定深度内土中的温度达到冰冻温度时,土中孔隙水分开始冻结,体积增大,使土体产生一定的隆胀。对于冻胀性土,如土温在较长时间内保持在冻结温度以下,水分能从未冻结土层不断地向冻结区迁移,引起地基的冻胀和隆起,这些都可能使基础遭受损坏。
为保证结构物不受地基土季节性冻胀的影响,除地基为非冻胀性土外,基础底面应埋置在天然最大冻结线以下一定深度。《公路桥涵地基与基础设计规范》(JTG 3363—2019)规定,上部结构为超静定结构时,基底应埋置在冻结线以下不小于 0.25 m处;对于静定结构的基础,一般也按此要求。
但在冻结较深地区,为减少基础埋深,有些类别的冻土经计算后也可将基底置于最大冻结线以上。冻土分类和基础埋深的具体计算方法见学习情境 6 项目 5。
我国幅员辽阔,地理气候情况差异很大,各地冻结深度应按实测资料确定。无资料时,可参照《公路桥涵地基与基础设计规范》(JTG 3363—2019)附录H中的标准冻深线图结合实地调查确定。
上部结构形式不同,对基础产生的位移要求也不同。对于中、小跨径简支梁桥来说,该因素对确定基础的埋置深度影响不大,但对于超静定结构即使基础发生较小的不均匀沉降也会使内力产生一定变化。例如,对于拱桥桥台,为减少可能产生的水平位移和沉降差值,有时需将基础设置在埋藏较深的坚实土上。
当墩台、挡土墙等结构位于较陡的土坡上,确定基础埋深时,还应考虑土坡连同结构物基础一起滑动的稳定性。确定地基容许承载力时,一般按地面为水平的情况下确定,因此当地基为倾斜土坡时,应结合实际情况,予以适当折减并采取相关措施。
若基础位于较陡的岩体上,可将基础做成台阶形,但要注意岩体的稳定性。斜坡上基础埋深与持力层土类关系见表 2.3。
表 2.3 斜坡上基础埋深与持力层土类关系
桥涵基础基底不应埋置在不稳定地层。《公路桥涵地基与基础设计规范》(JTG 3363—2019)规定:
①对于小桥涵基础在无冲刷处,除岩石地基外,应在地面或河床底以下至少埋深 1 m;如有冲刷,基底埋深应在局部冲刷线以下不小于 1 m。
②对于小桥涵的基础底面,如河床上有铺砌层时,宜设置在铺砌层顶面以下 1.0 m。
除以上因素以外,还应考虑相邻建筑物的影响(如城市立体交叉建筑),较浅基础上的荷载所产生的侧向土压力对较深的基础会产生影响。新建基础比原基础深时,新建基础施工又会影响原有基础的稳定性,新基础施工采用的技术措施(支挡、排水、开挖设备等)也影响其经济性,甚至影响基础结构形式,这些都是地基基础设计需要考虑的因素。地下水的渗流情况对基础埋深也有很大影响,特别是土质为粉砂、细砂时,要注意可能发生流砂的影响。另外,施工机具设备、工期等也直接影响基础类型的选择和基础埋置深度的确定。
上述影响基础埋深的因素不仅适用于天然地基上的浅基础,有些因素也适用于其他类型的基础(如沉井基础)。
【例 2.1】某大桥建于长年有流水的河中,其河流的地质、水文资料如图 2.6 所示,试根据资料确定基础的埋置深度。
图 2.6 某桥梁基础埋深方案
【解】根据已知水文地质资料,由于基础修建在长年有流水的河中,所以可以不考虑冻结深度的影响,而主要根据最大冲刷深度确定基础的埋置深度。土层Ⅰ、Ⅲ、Ⅳ均可作为持力层,具体可选择如下 3 种方案:
方案一:将基础埋置在第I层硬塑亚黏土中。考虑到经济简便的原则,基础应尽量浅埋,做成浅基础。由表 2.2 可知,基础应埋于最大冲刷线以下 1.5~ 2.0 m。确定基础埋深后,需要进行以承载力为主的各项验算。若不满足要求,则可以考虑将基础埋置深度加大或埋置在第Ⅲ或第Ⅳ层中。
方案二:将基础埋置在第Ⅲ层硬塑黏土中。此时,基础位于最大冲刷线以下的最小埋置深度为 8 m。若采用刚性扩大基础,施工开挖和防排水工作量较大,需要考虑技术和经济的合理性。还可以考虑采用沉井基础或桩基础方案,这样可以减少基坑开挖和排水工作,具体方案应根据技术、经济比较后选定。
方案三:如荷载较大,要求基础埋置深度更深时,可以采用桩基础,将桩端设置在第Ⅳ层密实粗砂土中,这样可以避免水下施工。
基础形状和尺寸的拟订是基础设计中的关键环节,尺寸拟订恰当,可以减少重复的设计计算工作。拟订时,一般要考虑上部结构形式、荷载大小、初定的基础埋置深度、地基容许承载力、施工情况及墩台底面的形状和尺寸等因素。所拟订的基础尺寸应是在可能的最不利荷载组合条件下,能保证基础本身有足够的结构强度,并能使地基与基础的承载力和稳定性均能满足规定要求,并且经济合理。
基础尺寸包括基础厚度、立面尺寸和平面尺寸 3 个方面,如图 2.7 所示。
图 2.7 刚性扩大基础立面、平面图
按基础埋深的要求确定基底高程,然后根据桥位情况、施工难易程度,考虑美观、整体协调性及安全因素综合确定基顶高程。基础厚度即为顶面高程和底面高程之差。一般情况下,大、中桥墩(台)混凝土基础厚度为 1.0 ~ 2.0 m。
刚性基础的立面形式应力求简单、节省材料和便于施工,一般可做成矩形或台阶形。基础较薄时,可做成矩形[图 2.7(a)]:基础较厚(超过 1.0 m以上)时,可做成台阶形[图 2.7(b)]。
立面尺寸包括襟边宽度、各台阶宽度和高度。襟边宽度应视基底面积的要求、基础厚度及施工方法而定。桥梁墩台基础襟边最小值为 20~ 30 cm。各台阶尽可能采取相同的宽度与高度,以便于设计计算和施工。各台阶宽度宜与襟边相同,各台阶高度通常为 0.5~ 1.0 m。
图 2.8 基础刚性角示意图
自墩(台)身底面边缘处与地基边缘的连线和垂线间的夹角 α 称为基础的扩散角。很显然,基础悬出长度(包括襟边与台阶宽度之和)越大,扩散角 α 越大。
根据刚性基础的受力要求,基础悬出总长度应受到一定限制,应使悬出部分在基底反力作用下,在 a — a 截面所产生的弯曲拉力和剪应力不超过基础材料的强度设计值,否则将产生开裂破坏(图 2.8)。将相应于基础最大悬出长度时的扩散角 α 的极限值 α max 称为刚性角。
所以,在拟定尺寸时,应使 α ≤ α max ,同时使每个台阶宽度与厚度 t i 保持在一定比例内,使其扩散角 α i ≤ α max ,这时认为基础本身强度能够得到保证,不必对基础进行弯曲拉应力和剪应力的强度验算,在基础中可不设置受力钢筋。
刚性角 α max 的大小与基础所用的圬工材料强度有关。《公路圬工桥涵设计规范》(JTG D61—2005)规定:实体墩台基础的刚性角,对于片石、块石和料石砌体,用强度等级为M5 的砂浆砌筑时,不应大于 30°;用M5 以上的砂浆砌筑时,不应大于 35°;对于混凝土,不应大于 40°。
基础平面形状一般应根据墩、台身底面的形状确定(图 2.9)。考虑到施工方便,基础平面形状常采用矩形。
基础底面长宽尺寸与高度有如下的关系式:
式中 l ——墩、台身底截面长度,m;
d ——墩、台身底截面宽度,m;
H ——基础高度,m;
图 2.9 刚性扩大基础立面、平面图
α ——墩、台身底截面边缘至基础边缘线与垂线间的夹角。
地基强度验算包括持力层强度验算和软弱下卧层验算。验算要求基底最大压应力和软弱下卧层顶面的应力不超过地基土的容许承载力,以保证地基具有足够的强度。
《公路桥涵地基与基础设计规范》(JTG 3363—2019)规定,地基承载力的验算应以修正后的地基容许承载力值[ f a ]控制。该值是在地基原位测试或规范给出的各类岩土承载力基本容许值[ f a0 ]的基础上,经修正而得。
(1)修正后的地基承载力容许值的计算公式
修正后的地基承载力容许值[ f a ]按式(2.3)确定。基础位于水中不透水地层上时,[ f a ]按平均常水位至一般冲刷线的水深每米再增大 10 kPa。
式中 [ f a ]——修正后的地基承载力容许值,kPa。
[ f a0 ]——地基承载力基本容许值,由载荷试验或其他原位测试取得,其值不应大于地基极限承载力的 1 /2;对于小桥、涵洞,受现场条件限制,或载荷试验和原位测试确有困难时,可根据岩土类别、状态及其物理力学特性指标按表 2.4 至表2.10 选用。
b ——基础底面最小边宽,m。当 b < 2 m时,取 b = 2 m;当 b > 10 时,取 b = 10 m。
h ——基础底面的埋置深度,m。自天然地面算起,有水流冲刷时,自一般冲刷线算起;当 h < 3 m时,取 h = 3 m;当 h / b > 4 时,取 h = 4 b 。
γ 1 ——基底持力层土的天然重度,kN/m 3 。若持力层在水面以下且为透水者,应取浮重度。
——基底以上土层的加权平均重度,kN/m
3
,
。其中
分别为基底以上各层土的重度和厚度;换算时,若持力层在水面以下且不透水,不论基底以上土的透水性质如何,一律取饱和重度;透水时,水中部分土则应取浮重度。
k 1 、 k 2 ——基底宽度、深度修正系数,根据持力层土类按表 2.11 确定。
表 2.4 岩石地基承载力基本容许值[ f a0 ]([ σ 0 ])
表 2.5 碎石土地基容许承载力[ f a0 ]([ σ 0 ])
注:①由硬质岩组成填充砂土者,取高值;由软质岩组成填充黏性土者,取低值。
②对于半胶结的碎石土,可按密实的同类土的[ f a0 ]提高 10%~30%。
③松散的碎石土在天然河床中很少遇见,需特别注意鉴定。
④漂石、块石的[ f a0 ],可参照卵石、碎石适当提高。
表 2.6 砂土地基容许承载力[ f a0 ]([ σ 0 ])
表 2.7 粉土地基承载力基本容许值[ f a0 ]([ σ 0 ]) 单位:kPa
表 2.8 粉土地基承载力基本容许值[ f a0 ]([ σ 0 ])
表 2.9 一般黏性土地基承载力基本容许值[ f a0 ]([ σ 0 ]) 单位:kPa
注:①土中含有粒径大于 2 mm的颗粒质量超过总质量的 30%者,[ f a0 ]可适当提高。
②当 e < 0.5 时,取 e = 0.5;当 I l < 0 时,取 I l = 0。此外,超过表列范围的一般黏性土,[ f a 0 ]= 57.22 E 0s . 57 。
表 2.10 新近沉积黏性土地基承载力基本容许值[ f a0 ]([ σ 0 ]) 单位:kPa
表 2.11 地基容许承载力宽度、深度修正系数
注:①对于稍密和松散状态的砂、碎石土, k 1 、 k 2 可采用表列中密值的 50%。
②强风化和全风化的岩石,可参照所风化成的相应土类取值;其他状态下的岩石不修正。
(2)软土地基的容许承载力
软土地基的容许承载力,必须同时满足稳定和变形两方面的要求。可按下列方法确定,但同时应检算基础的沉降量,并符合有关规定。
①根据原状土强度指标确定软土地基承载力容许值[ f a ]。
②对于小桥和涵洞地基,可按式(2.6)确定软土地基容许承载力。
式中 [ f a ]——软土地基容许承载力,kPa;
m ——抗力修正系数,可视软土灵敏度及基础长宽比等因素选用,其值为 1.5~ 2.5;
c u ——不排水剪切强度,kPa;
b ——基础宽度,m;
l ——垂直于 b 边的基础长度,m,当有偏心荷载时, b 与 l 分别用 b′ 与 l′ 代替, b′ = b -2 e B , l′ = l -2 e L , e B 、 e L 分别为荷载在基础宽度方向、长度方向的偏心矩;
H ——荷载的水平分力;
[ f a0 ]——软度地基的承载力基本容许值,按表 2.12 选用。
γ 2 、 h 意义同前。
表 2.12 软土地基基本承载力
(3)地基土容许承载力的提高
①桥梁墩台建在水中,且持力层为不透水性土时,基底不受水浮力作用,基底以上的水柱压力可当作超载看待,故地基容许承载力随平均常水位至一般冲刷线水深每高 1 m,容许承载力可增加 10 kPa。
②《公路桥涵地基与基础设计规范》(JTG 3363—2019)规定,地基土容许承载力[ f a0 ]应根据地基受荷阶段及受荷情况,乘以下列规定的抗力系数 γ R 。
a.使用阶段:
·地基承受作用短期效应组合或作用效应偶然组合时,可取 γ R = 1.25;但对承载力容许值小于 150 kPa的地基,应取 γ R = 1.0。
·地基承受的作用短期效应组合仅包括结构自重、预加力、土重、土侧压力、汽车和人群效应时,应取 γ R = 1.0。
·基础建于经多年压实未遭破坏的旧桥基(岩石旧桥基除外)上时,不论地基承受的作用情况如何,抗力系数应取 γ R = 1.5;对于承载力容许值小于 150 kPa的地基,可取 γ R = 1.25。
·基础建于岩石旧桥基上,应取 γ R = 1.0。
b.施工阶段:
·地基在施工荷载作用下,可取 γ R = 1.25。
·墩台施工期间承受单向推力时,可取 γ R = 1.5。
持力层是直接与基底相接触的土层,持力层承载力验算要求荷载在基底产生的地基应力不超过持力层的地基容许承载力。基底应力的分布在理论上可采用弹性理论求得较精确解,在土力学课程中已做相关介绍。在实践中采用简化方法,即按材料力学偏心受压公式进行计算。由于浅基础埋置深度浅,计算中可不计基础四周土的摩阻力和弹性抗力的作用。
对于基础底面岩土的承载力,不考虑嵌固作用时,可按以下方法验算:
(1)基底只承受轴心荷载时
式中 σ ——基底平均压应力,kPa;
N ——由作用短期效应组合在基底产生的竖向荷载,kN;
A ——基础底面面积,m 2 ;
[ σ ]——基底处持力层地基容许承载力,kPa,按前述方法确定。
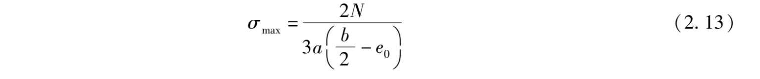
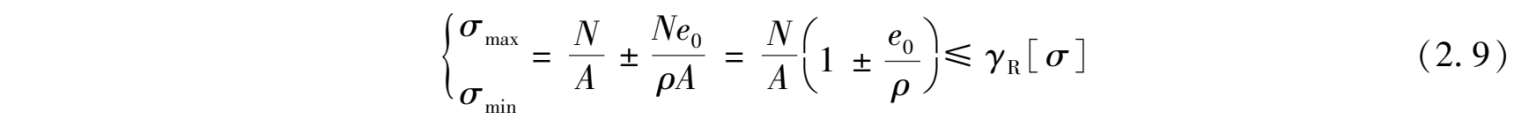
(2)基底单向偏心受压,承受竖向力 N 和弯矩 M 共同作用时
式中 σ max 、 σ min ——基底最大、最小压应力,kPa;
M ——作用于墩、台上各外力对基底形心轴的力矩,kN·m, M = ∑T i h i + ∑P i e i = Ne 0 ,其中 T i 为水平力, h i 为水平力作用点至基底的距离, P i 为竖向力, e i 为竖向力 P i 作用点至基底形心的偏心距, e 0 为合力偏心距[其计算见式(2.20)];
W ——基础底截面弹性模量,m 3 ,对如图 2.10 所示矩形基础, W = ab = ρA , ρ 为基底核心半径;
γ R ——地基容许承载力的提高系数(铁路)或抗力系数(公路)。
式(2.7)也可以写成下式:
图 2.10 基底应力分布图
从式(2.9)可知:
①当
时
,基底应力均匀分布,应力分布图为矩形,如图 2.10(a)所示。
②当
时
,基底应力分布图为梯形,如图 2.10(b)所示。
③当
时
这时
基底应力分布图为三角形,如图2.10(c)所示。
④当
时
,这时
,说明基底一侧出现拉应力,整个基底面积上部分受压部分受拉。此时,若持力层为土质,则基底与土之间不能承受图 2.10 所示基底应力分布图拉应力;若持力层为岩石,除基础混凝土浇筑在岩石地基上,有些基底也不能承受拉应力。因此,需考虑基底应力重分布,并假定全部荷载由受压部分承担及基底压应力仍按三角形分布,如图2.10(d)所示。对于矩形基础,其受压分布宽度为
b′
,则从三角形分布压力合力作用点及静力平衡条件可得(图 2.11):
所以
故
图 2.11 偏心受压时应力重分布图
对于桥梁,通常基础横桥向长度比顺桥向宽度大得多,同时上部结构在横桥向布置常是对称的,故一般由顺桥向控制基底应力计算。但通航河流或河流中有漂流物时,应计算船舶撞击力或漂流物撞击力在横桥向产生的基底应力,并与顺桥向基底应力比较,取其大者控制设计。
(3)基底双向偏心受压,承受竖向力 N 和绕 x 轴弯矩 M x ,与绕 y 轴弯矩 M y 共同作用时
如图 2.12 所示,在曲线上的桥梁,除顺桥向引起的力矩 M x 外,还有离心力(横桥向水平力)在横桥向产生的力矩 M y ;若桥面上活载考虑横向分布的偏心作用时,则偏心竖向力对基底两个方向中心轴均有偏心距,并产生偏心力矩 M x = Ne y , M y = Ne x 。 e y 、 e x 分别为荷载对 y 轴和 x 轴的偏心距。故对于曲线桥梁,计算基底应力时,应按下式计算:
式中 M x 、 M y ——分别为外力对基底 x 轴和 y 轴的力矩;
W x 、 W y ——分别为基底对 x 、 y 轴的截面弹性模量,m 3 。
对于式(2.14)和式(2.15)中的 N 值及 M (或 M x 、 M y )值,应按能产生最大竖向力 N max 的最不利荷载组合与此相对应的 M 值,能产生最大力矩 M max 时的最不利荷载组合与此对应的 N 值,分别进行基底应力计算,取其大者控制设计。
图 2.12 偏心竖向力作用在任意点
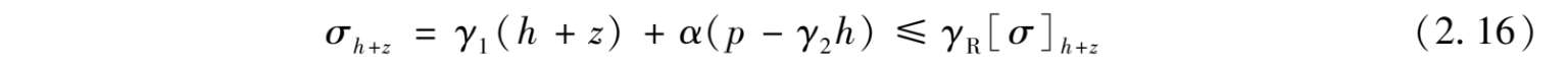
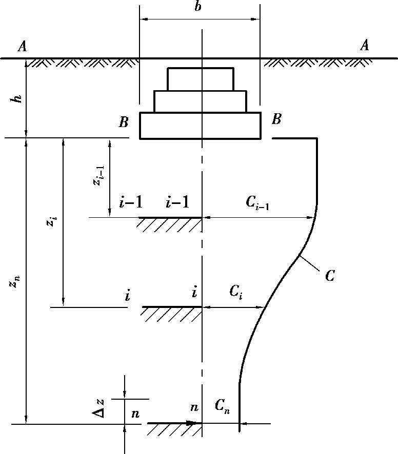
图 2.13 软弱下卧层承载力验算
受压层范围内地基为多层土(主要指地基承载力有差异而言)组成,且持力层以下有软弱下卧层(指容许承载力小于持力层容许承载力的土层),还应验算软弱下卧层的承载力。验算时,先计算软弱下卧层顶面 A (在基底形心轴下)的总应力(包括自重应力及附加应力)不得大于该处地基土的容许承载力(图 2.13):
式中 γ 1 ——相应于深度( h + z )以内土的换算重度,kN/m 3 。
γ 2 ——深度 h 范围内土层的换算,kN/ m 3 。
h ——基底埋深,m。
z ——从基底到软弱土层顶面的距离,m。
α ——基底中心下土中附加应力系数,可由《公路桥涵地基与基础设计规范》(JTG3363—2019)附录M或《铁路桥涵地基和基础设计规范》(TB 10093—2017)附录C查得。
p ——由计算荷载产生的基底压应力,kPa。当基底压应力为不均匀分布且 z/ b (或 z/ d )> 1 时, p 为基底平均压应力;当 z/ b (或 z/ d )≤1 时, p 按基底应力图形采用距最大应力边 b / 4 ~ b / 3 处的压应力(其中 b 为矩形基础的短边宽度, d 为圆形基础直径),《铁路桥涵地基和基础设计规范》(TB 10093—2017)中用 σ h 表示。
γ R ——《公路桥涵地基与基础设计规范》(JTG 3363—2019)规定的地基容许承载力的提高系数,《铁路桥涵地基和基础设计规范》(TB 10093—2017)规定中此处可取为
[ σ ] h + z ——软弱下卧层顶面处的容许承载力,kPa。《公路桥涵地基与基础设计规范》(JTG 3363—2019)规定按式(2.17)、式(2.18)、式(2.19)确定,式中 h 应采用 h + z 计算。
条形基础:
矩形基础:
式中 σ z ——传至软弱下卧层顶面的附加压力,kPa。
a ——基础底面长度,m。
b ——基础底面宽度,m。
σ h ——基底应力(即 p ),kPa。
σ c ——基础底面以上的自重应力,kPa, σ c = γ 2 h 。
θ ——地基的压力扩散角(压力扩散线与垂直线的夹角),一般取 θ = 22 ° ;当持力层土为密实的碎石土、砾砂、粗砂以及老黏性土时,取 θ = 30 ° 。
σ c z ——基础底面以下深度 z 处土的自重应力,kPa。
其他符号与前述相同。
当软弱下卧层为压缩性较高且较厚的软黏土,或当上部结构对基础沉降有一定要求时,除承载力应满足上述要求外,还应验算包括软弱下卧层的基础沉降量。
墩台基础设计计算时,必须控制基底合力偏心距,其目的是尽可能使基底应力分布比较均匀,以免基底两侧应力相差过大,使基础产生较大的不均匀沉降,导致墩台发生倾斜,影响正常使用。设计时,使其合力尽量接近基底形心,控制其偏心距 e 0 ,使其不超过某一合力偏心距允许值。
式中 M ——作用于墩台的水平力和竖向力对基底形心轴的弯矩;
N ——作用在基底合力的竖向分力;
[ e 0 ]——基础合力偏心距允许值,与荷载情况和地质条件有关,公路桥涵墩台基础合力偏心距控制要求如表 2.13 所示。
表 2.13 公路桥涵墩台基础合力偏心距的限制
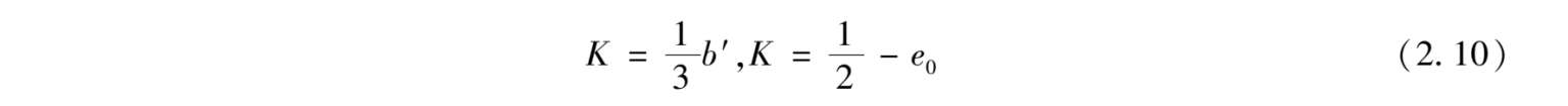
墩台基础基底截面核心半径 ρ 按下式计算:
式中 W ——相应于应力较小基底边缘截面弹性模量;
A ——基底截面面积。
外力合力作用点不在基底两个对称轴中任一对称轴上或基底截面不对称时,可直接按下式求 e 0 与 ρ 的比值,使其满足规定的要求。
式中符号意义同前,但要注意 N 和 σ min 应在同一种荷载组合情况下求得。验算基底偏心距时,应采用计算基底应力相同的最不利荷载组合。
基础设计计算时,必须保证基础本身具有足够的稳定性。基础稳定性验算包括基础倾覆稳定性验算和基础滑动稳定性验算。此外,对某些土质条件下的桥台、挡土墙也要验算地基的稳定性,以防桥台、挡土墙下地基滑动。
(1)基础倾覆稳定性验算
为保证墩台在最不利荷载组合作用下,不致绕基底外缘转动而发生倾覆,从图2.14 看出,合力 R 可以简化为作用在基底截面重心处的3 个力,即∑ M 、∑ P 、∑ T ,其中∑ M 使基础有可能会绕 A — A 边产生一个反力矩∑Py i ,它起到阻止基础绕 A — A 边缘转动的作用,故称为稳定力矩。
图 2.14 中, O 为截面重心, C 为合力作用点, R 为所有外力的合力,∑P i 为各竖向力的总和,∑T i 为各水平力的总和, P 1 、 P 2 、 P 3 为各竖向力, T 1 、 T 2 为各水平力, A — A 为验算截面的最大受压边缘。
图 2.14 基础倾覆稳定验算
倾覆稳定通常用倾覆稳定系数 K 0 表示。
式中 P i ——各竖向力,kN;
e i ——各竖向力 P i 对基底截面重心的力臂,m;
T i ——各水平力,kN;
h i ——各水平力 T 对基底截面的力臂,m;
y ——在截面重心与合力作用点的延长线上,自截面重心至检算倾覆轴的距离,m;
e 0 ——所有外力合力 R 的作用点至基底截面重心的距离,m。
力矩 P i e i 和 T i h i 应视其绕基底截面重心的方向区别正负。
如外力合力不作用在形心轴上,或基底截面有一个方向为不对称,而合力又不作用在形心轴上,基底压力最大一边的边缘线应是外包线,如图 2.14 中Ⅰ—Ⅰ线所示。 y值应是通过形心与合力作用点的连线并延长与外包线相交点至形心的距离。
(2)基础滑动稳定性验算
基础在水平推力作用下沿基础底面滑动的可能性即基础抗滑动安全度的大小,可用基底与土之间的摩擦阻力和水平推力的比值K c 表示,K c 称为抗滑动稳定系数,可按下式计算:
式中,抗滑力计算涉及的基础底面(圬工材料)与地基土之间的摩擦系数μ,在无实测资料时,可参照表 2.14 选用。
表 2.14 摩擦系数
验算桥台基础的滑动稳定性时,如台前填土保证不受冲刷,可同时考虑计入与台后土压力方向相反的台前土压力,其数值可按主动或静止土压力进行计算。
修建在非岩石地基上的拱桥桥台基础,在拱的水平推力和力矩作用下,基础可能向路堤方向滑移或转动。此项水平位移和转动还与台后土抗力的大小有关。
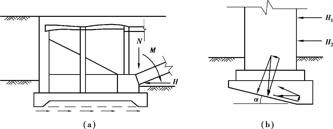
位于软土地基上较高的桥台需验算桥台沿滑裂曲面滑动的稳定性。基底下地基如在不深处有软弱夹层时,在台后土推力作用下,基础也有可能沿软弱夹层Ⅱ的层面滑动,如图 2.15(a)所示;在较陡的土质斜坡上的桥台、挡土墙也有滑动的可能,如图 2.15(b)所示。
这种地基稳定性验算方法可按土坡稳定分析方法,即用圆弧滑动面法进行验算。验算时,一般假定滑动面通过填土一侧基础剖面角点 A (图 2.15)。但在计算滑动力矩时,应计入桥台上作用的外荷载(包括上部结构自重和活载等)以及桥台和基础自重的影响,然后求出稳定系数满足规定的要求值。
以上对地基与基础的验算,均应满足设计规定的要求。达不到要求时,必须采取设计措施。例如,梁桥桥台基础在台后土压力引起的倾覆力矩比较大,基础的抗倾覆稳定性不能满足要求时,可将台身做成不对称的形式(图 2.16 所示后倾形式),这样可以增加台身自重所产生的抗倾覆力矩,提高抗倾覆的安全度。如采用这种外形,在砌筑台身时,应及时在台后填土并夯实,以防台身后倾覆和转动;也可在台后一定长度范围内填碎石、干砌片石或填石灰土,以增大填料的内摩擦角,减小压力,以减小倾覆力矩、提高抗倾覆安全度。
图 2.15 地基稳定性验算
图 2.16 基础抗倾覆措施
对于拱桥桥台,由于在拱脚水平推力作用下,基础的滑动稳定性不能满足要求时,可在基底四周做成如图 2.17(a)所示的齿槛。这样由基底与土间的摩擦滑动变为土的剪切破坏,从而提高基础的抗滑力。如仅受单向水平推力时,也可将基底设计成如图 2.17(b)所示的倾斜形,以减小滑动力,同时增加在斜面上的压力。由图 2.17(b)可见,滑动力随 α 角的增大而减小。从安全考虑, α 角不宜大于 10°,同时要保持基底以下土层在施工时不受扰动。
图 2.17 基础抗滑动措施
高填土的桥台基础或土坡上的挡土墙地基可能出现滑动或在土坡上出现裂缝时,可以增加基础的埋置深度或改用桩基础,提高墩台基础下地基的稳定性;或者在土坡上设置地面排水系统,拦截和引走滑坡体以外的地表水,以减少因渗水而引起土坡滑动的不稳定因素。
基础的沉降验算包括沉降量、相邻基础沉降差以及基础由于地基不均匀沉降而发生的倾斜等。
墩台基础的沉降必然引起上部结构下沉,从而影响桥下净高和伸缩装置、支座、简支梁连续桥面的使用。所以,一般有下列情况应验算墩台基底沉降:
①相邻跨度相差悬殊时;
②对于跨线桥、跨线渡槽,要保证桥(或槽)下净空高度时;
③修建在地质情况复杂、地层分布不均及承载力较差地基上的基础;
④桥梁改建或拓宽。
计算沉降的荷载按正常使用极限状态下作用长期效应组合采用。该组合仅为直接施加于结构上的永久作用标准值(不包括混凝土收缩及徐变作用、基础变位作用)和可变作用准永久值(仅指汽车荷载和人群荷载)引起的效应。
墩台的沉降应符合下列规定:
①相邻墩台均匀沉降量之差(不包括施工中的沉降)不应使桥面形成大于 0.2%的附加纵坡(折角);
②外超静定结构桥梁相邻墩台间不均匀沉降差应满足结构受力要求。
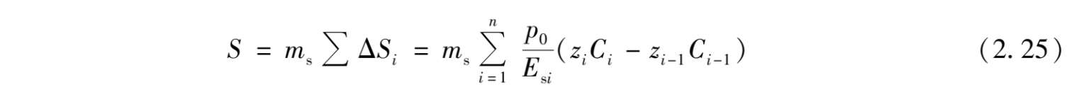
基础由于其底面以下受压土层 z n 压缩产生的总沉降量 S 可按分层总和法(图 2.18)由下式计算:
式中 S ——基础的总沉降量,m。
n ——基底以下地基沉降计算深度范围内按压缩模量划分的土层分层数目。
p 0 ——基础底面处的附加压应力,kPa,其值为:
σ h ——基底压应力,kPa,当 z/ b > 1 时,采用基底平均压应力;当 z/ b ≤1 时,采用基底压应力图形中距最大应力点 b / 4 ~ b / 3 处的压应力。
b ——基础宽度,m。
γ ——土的容重,kN/ m 3 。
h ——基底埋置深度,m。当基础受水流冲刷时,由一般冲刷线算起;当不受水流冲刷时,由天然地面算起;如位于挖方内,则由开挖后地面算起。
z ——基底至计算土层顶面的距离,m。
z i , z i -1 ——自基底至第 i 和第 i -1 薄层底面的距离,m。
E s i ——基础底面以下受压土层内第 i 薄层的压缩模量,根据压缩曲线按实际应力范围取值,kPa。
C i , C i -1 ——基础底面至第 i 薄层底面范围内和至第 i -1 薄层底面范围内的平均附加应力系数(图 2.18),可按《公路桥涵地基与基础设计规范》(JTG 3363—2019)附录M查得。
m s ——沉降经验修正系数,可按表 2.15 采用。对于软土地基, m s = 1.3。
图 2.18 基础沉降计算图
A—A—地面;i—i—第i层底面;B—B—基础底面;n—n—第n层底面;
i -1—i -1—第i -1 层底面;C—平均附加应力系数C线
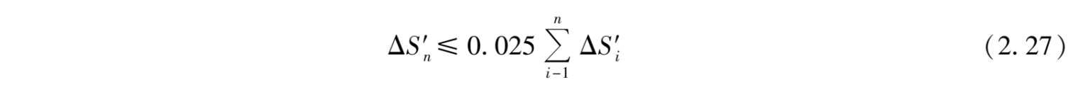
地基压缩层的计算深度 z n 应符合下式的要求:
式中Δ S n ′——在深度 z n 处,向上取计算层为Δ z 的压缩量,cm,Δ z 取值见表 2.16;
Δ S i ′——在深度 z n 范围内,第 i 层土的计算压缩量,cm。
表 2.15 沉降经验修正系数
注:表中 p 0 = σ h - γh , σ h 为基底压应力,近似采用基底压应力图形中距最大应力点 b / 4 ~ b / 3 处的压应力。[ σ 0 ]为基础底面处地基的基本承载力。 E s 为沉降计算总深度 z n 内地基压缩模量的当量值,应按下式确定:
其中, A i 为第 i 层土平均附加应力系数沿该土层厚度的积分值,即第 i 层土的平均附加应力系数面积。
表 2.16 Δ z 值
如已确定的计算深度下面有较软土层时,还应继续计算。
《公路桥涵地基与基础设计规范》(JTG 3363—2019)规定,当无相邻荷载影响,基底宽度在1 ~30 m内时,基底中心的地基沉降计算深度 z n 也可按下列简化公式计算:
式中 b ——基础宽度,m。
计算范围内存在基岩时, z n 可取至基岩表面;当存在较厚的坚硬黏土层,其孔隙比大于 0.5,压缩模量大于 50 MPa,或存在较厚的密实砂卵石层,其压缩模量大于 80 MPa时, z n 可取至该土层表面。