



车辆在曲线路面行驶时,由于受到离心力的影响,车辆容易向曲线外侧倾倒,影响车辆的安全行驶以及舒适性。为减小离心力对行驶车辆的影响,路面必须在曲线外侧加高,称为超高。在直线上超高为0,在圆曲线上超高为 h ,这就需要在直线段与圆曲线之间或者两个半径不同的圆曲线之间插入一条起过渡作用的曲线,即曲率半径由直线的无穷大逐渐变化至圆曲线半径 R 或者从圆曲线半径 R 1 变化到 R 2 ,此曲线称为缓和曲线。
缓和曲线的作用是使曲率连续变化,车辆便于遵循,保证行车安全;离心加速度逐渐变化,旅客感到舒适;曲线上超高和加宽的逐渐过渡,行车平稳和路容美观;与圆曲线配合适当的缓和曲线,可提高驾驶员的视觉平顺性,增加线形美感。在线路加宽时,缓和曲线部分也作为加宽渐变的部分。
缓和曲线可采用回旋线(也称辐射螺旋线)、三次抛物线和双纽线。目前,我国公路、铁路设计中大多以回旋线作为缓和曲线。
图2.4.1 回旋形缓和曲线
如图2.4.1所示,回旋线缓和曲线是曲率半径随曲线长度的增大而成反比例地均匀减小的曲线,即在回旋线上任意点的曲率半径 ρ 与曲线的长度 l 成反比。
ρ=c/l 或 ρl=c (2.4.1)
式中 ρ ——回旋线上某点的曲率半径,m;
l ——回旋线上某点到原点的曲线长,m;
c ——常数。
为使式(2.4.1)两边的量纲统一,引入回旋线参数 A ,令 A 2 = c , A 表征回旋线曲率变化的缓急程度,则回旋线基本公式可为:
A 2 =ρl , c=ρl (2.4.2)
在缓和曲线的终点HY点(或YH点), ρ = R , l = l s (缓和曲线全长),则有:
A 2 =Rl s , c=Rl s (2.4.3)
缓和曲线长度的确定应考虑乘客的舒适性和超高过度的需要,并不能小于汽车3s的行程,且与车速有关。目前,我国公路按下式计算:
c= 0.035 V 3
式中 V ——行车速度,以km/h计。
缓和曲线的全长按下式计算:
《公路路线设计规范》(JTG D20—2017)规定了各级公路缓和曲线的最小长度,如表2.4.1所示。
表2.4.1 各级公路缓和曲线最小长度
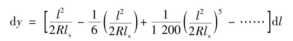
如图2.4.1所示,设回旋线上任一点 P 的切线与起点ZH点或HZ点的切线的夹角称为切线角,用 β 表示。该角值与 P 点至起点的曲线长所对的中心角相等。在 P 处取一段微分弧d l ,所对中心角为d β ,则有:
积分得:
当 l = l s 时,以 β 0 代替 β ,式(2.4.5)可写成:
以角度来表示,则有:
β 0 即为缓和曲线全长 l s 所对的中心角即切线角,也称为缓和曲线角。
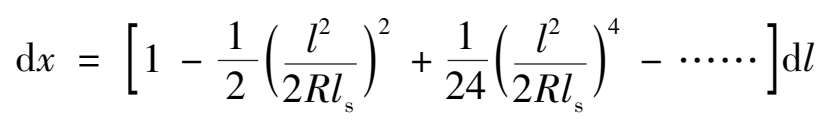
如图2.4.1所示,以缓和曲线的起点为坐标原点,过该点的切线为 x 轴,过原点的半径为 y 轴,取任一点 P 的坐标为( x , y ),则微分弧d l 在坐标轴上的投影为:
将式(2.4.8)中的cos β 、sin β 按级数展开为:
将 β = l 2 /2 Rl s 代入其中,式(2.4.8)可写成:
积分后略去高次项得:
式(2.4.9)即为缓和曲线的参数方程。当 l = l s 时,即可得缓和曲线的终点坐标为:
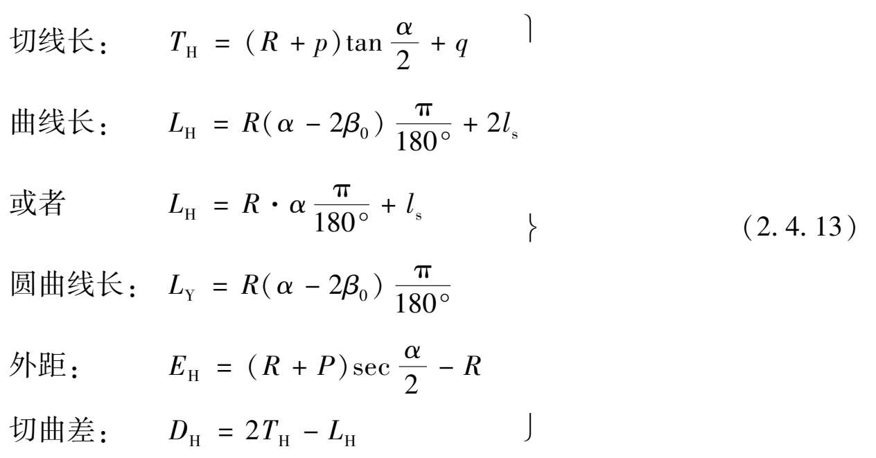
如图2.4.2所示,在直线与圆曲线之间插入缓和曲线时,必须将原有的圆曲线向内移动距离 p 才能使缓和曲线的起点位于直线方向上,这时切线增长了 q 。公路上,一般采用圆心不动的平行移动方法,即未设缓和曲线时的圆曲线为弧 FG ,其半径为( R + p );插入两段缓和曲线 AC 和 BD 后,圆曲线向内移,其保留部分为弧 CMD ,半径为 R ,所对的圆心角为( α -2 β 0 )。
测设时,必须满足的条件是: α ≥2 β 0 。否则,应缩短缓和曲线长度或加大圆曲线半径使之满足条件。由图2.4.2可知:
图2.4.2 曲线的内移值与切线增长值
将式(2.4.11)中sin β 0 、cos β 0 展开,略去高次项,并按式(2.4.7)和式(2.4.10)将 β 0 、 x 0 和 y 0 代入,便可得:
由式(2.4.12)与式(2.4.10)可知,内移距 p 等于缓和曲线中点纵坐标 y 的2倍;切线增长值 q 为缓和曲线长度的一半,缓和曲线的位置大致是一半占用直线部分,另一半占用原来的圆曲线部分。
当测得曲线的转角 α 、圆曲线半径尺 R 和缓和曲线长确定后,即可按式(2.4.7)及式(2.4.12)计算切线角 β 0 、内移值 p 及增长值 q ,并在此基础上计算曲线测设元素。
如图2.4.2所示,曲线测设元素的计算公式如下:
根据交点的里程和曲线测设元素,可计算出主点里程。主点ZH、HZ和QZ的测设方法同圆曲线的主点测设方法相同。HY和YH点可按式(2.4.10)计算出 x 0 、 y 0 后,用切线支距法测设。
切线支距法是以曲线的起点(ZH点)或终点(HZ点)为坐标原点,以过原点的切线为 x 轴,过原点的半径为 y 轴,利用缓和曲线和圆曲线上各点的坐标 x 、 y 来测设曲线。如图2.4.3所示,曲线上各点的坐标按下列各式计算。
①在缓和曲线范围内,各点的坐标( x , y )可按缓和曲线的参数方程求得。
②在圆曲线范围内,各点的坐标( x , y )可按照图2.4.3中的几何关系求得。
式中 l ——测点至ZH点或HZ点曲线长;
l s ——缓和曲线长;
β 0 ——缓和曲线角,见式(2.4.7)。
图2.4.3 切线支距法
图2.4.4 切线支距法测设带有缓和曲线圆曲线
或
,
l
为该点到HY点或YH点的曲线长,仅为圆曲线部分的长度。
③测设步骤。在算出缓和曲线和圆曲线上各点坐标后,即可按圆曲线的切线支距法的测设方法测设圆曲线上的各点,也可以HY点或YH点为原点用切线支距法测设。但此时要找出HY点(或YH点)的切线方向。
如图2.4.4所示,计算出 T d 长度,在ZH点(或HZ点)沿切线方向量出 T d 的长度,即可在HY点或YH点确定切线方向。
缓和曲线也可以像圆曲线一样用偏角法来进行测设。如图2.4.5所示,设平曲线上任一点 P 的坐标为( x , y ),则其偏角 δ 和弦长 c 的计算可由三角形得:
可用式(2.4.18)计算偏角和弦长,然后根据圆曲线的偏角法测设曲线。另外,偏角的计算也可由下述方法确定。
图2.4.5 偏角法
根据图2.4.5,设曲线上任一点 P 的偏角为 δ ,至ZH点或HZ点的曲线长为 l ,其弦近似与曲线长相等,也为 l ,由直角三角形得:
sin
δ=
因
δ
很小,sin
δ
≈
δ
,考虑
,则有:
当 l = l s 时的偏角即为缓和曲线的总偏角,用 δ 0 表示:
顾及
,所以有:
计算出缓和曲线上任一点的偏角 δ 后,可将仪器置于ZH点或HZ点上,用与偏角法测设圆曲线相同的方法测设缓和曲线。由于缓和曲线的弧长近似等于弦长,因此实际测量时,不是量弧长而是量弦长。当半径较小(一般 R ≤300m或桩距≥20m)时,应考虑弧弦差。
缓和曲线测设结束后,应将仪器搬至HY点(或YH点)进行圆曲线的测设。问题的关键是找HY点(或YH点)的切线方向,即图2.4.5中的 b 0 ,由图2.4.5可以得出:
b 0 =β 0 -δ 0 =2δ 0 (2.4.22)
测设时,将仪器安置在HY点(YH点)上,照准ZH点(或HZ点),置度盘于 b 0 (右偏时为360°- b 0 ),旋转照准部使水平度盘为零度时倒镜,此时,视线方向即为HY点的切线方向。