购买
下载掌阅APP,畅读海量书库
立即打开
畅读海量书库
扫码下载掌阅APP

第4章
设计的安全性
——裂缝是怎么出现的

乐音高昂且悠扬,

伴我凌空筑此穹堂,

此穹堂之煌煌!彼幽穴之冰霜!

凡闻者必来此仰望,

凡见者必喟,提防!提防!

——柯勒律治,《忽必烈汗》

当然,关乎应力和应变的种种讨论只是达到目的的一种手段,帮助我们设计出更安全有效的结构和装置,以及更好地理解它们如何工作。

显然,大自然不必如此大费周章。田间百合本无心,也不必费神计算,但它们本身都是了不起的结构。实际上,大自然有时是比人类更高明的工程师。一方面,它有更多的耐心;另一方面,它对设计流程的处理方式独树一帜。

生物体在生长期间整体或局部的构造受制于RNA–DNA(核糖核酸–脱氧核糖核酸)机制,即威尔金斯、克里克和沃森发现的著名的双螺旋结构。 [1] 但是,对具体的植物或动物而言,整体构造一旦成形,其结构细节便五花八门。不仅要确定厚度,还要确定每个负载部位的安排,在很大程度上,这取决于其实际构成部分的运用及其生长中不得不对抗的力量。 因此,生物结构的比例会随其强度而趋于优化。大自然似乎是一位追求实用而非数学化的设计师;毕竟,糟糕的设计总是会被优良的设计吃掉。

遗憾的是,这些设计方法到目前为止还未被人类工程师掌握,因此他们不得不借助猜测或计算,或者更常见的是双管齐下。出于安全性和经济性的考虑,我们总是期望能够预测一个工程结构的各部分如何分担它们之间的载荷,以确定它们应该有多厚。而且,我们通常想弄明白一个结构负载时的预期挠度,因为太柔或太弱都不好。

法兰西的理性与不列颠的务实

在阐明和理解了强度和刚度的基本概念后,很多数学家便着手研究关于二维和三维弹性系统的分析技术,并用这些方法检验各种形状的负载结构的行为。巧合的是,在19世纪上半叶,大部分研究这种理论的人都是法国人。尽管弹性这个话题可能尤其契合法兰西人的气质, 但其实直接或间接促进这项研究的人是拿破仑一世,以及创立于1794年的法国巴黎综合理工学院。

由于这项工作既抽象又与数学相关,所以直到1850年左右,它才被大部分执业工程师理解或接受。在英国和美国,情况尤其如此,人们认为实干家比“纯理论家”可靠得多。而且,“一个英国人能顶上三个法国人”。关于苏格兰工程师托马斯·特尔福德(Thomas Telford)——我们现在仍能欣赏到他设计的宏伟桥梁——有这样的记载:

他特别厌恶数学研究,甚至连几何学的基础知识也不熟悉;这种做派实在是惊世骇俗,以至于当我们推荐一位数学很好的年轻朋友到他的办公室工作时,他竟然毫不犹豫地说那个人不符合他的要求。

然而,特尔福德确实是个了不起的人。像纳尔逊(Nelson)一样,他以一种迷人的谦逊锤炼自己的信心。当梅奈悬索桥(见插图11)的沉重铁链在众人面前成功吊装时,特尔福德正在远离万众欢腾的地方跪地感恩。

并非所有工程师都像特尔福德那样谦卑,在这个时代,大多数的盎格鲁–撒克逊人不仅懒于动脑,而且态度傲慢。即便如此,他们对强度计算可信度的怀疑也不是毫无道理。我们必须清楚,特尔福德和他的同行反对的并不是定量方法本身(他们至少和其他任何人一样,渴望弄明白是什么力作用在他们的材料上),而是得到这些数据的手段。他们觉得理论家常沉溺于方法之优雅,而忽略了背后的前提假设,以至于他们会基于错误的计算得出答案。换言之,他们担心数学家的傲慢可能比务实者的自负更危险,归根结底,后者历经的实践磨炼更多。

英格兰北部那些精明的顾问工程师,就像所有成功的工程师一样意识到,当我们从数学角度分析一种情境时,我们其实是在人为制造一个关于我们要检验的东西的模型。我们希望,这个代数化的模型以一种足够接近实物的方式运作,以便拓宽我们的理解,使我们做出有用的预测。

随着物理学或天文学等学科的流行,模型与现实之间的精准对应使一些人逐渐将大自然视为某种神圣的数学家。无论这条教义多么吸引世俗数学家,在一些现象中,极为谨慎地运用数学类比才是明智之举。鹰翔空中,蛇伏石上,船行汪洋以及男女交往,都难以用解析方法做出预测。人们有时会纳闷数学家究竟是怎么结成婚的。所罗门王造好神殿后或许会补充说,一个结构负载的方式至少与船和鹰有很多共通之处。

这些事情的麻烦之处在于,许多经常出现的真实情况如此复杂,以至于不能完全用一个数学模型来表示。对于结构,常有几种可能的失败模式。当然,结构总会在其最弱的地方垮掉,而这个地方往往是人们没有想到的,更不用说做过计算了。

对材料和结构固有的强度做一番深刻且直观的评估,是一位工程师最有价值的成就之一。没有哪种纯粹的智慧能取而代之。就算是像纳维这样毕业于法国巴黎综合理工学院的人借助最好的“现代”理论设计的桥梁,有时也会倒塌。据我所知,在特尔福德漫长的职业生涯中,他建造的数百座桥梁及其他工程还没有出现大问题的。因此,在法式结构理论大放异彩的时期,有很大一部分欧洲大陆上的铁路和桥梁是由埋头苦干且不懂微积分的英格兰和苏格兰工程师建造的。

安全系数与无知系数

大约在1850年之后,即使是英国或美国工程师也开始计算大型桥梁等重要结构的强度了。他们用当时的方法估算出结构的最大拉应力,并确保这些应力小于材料额定的“抗拉强度”。为了做到万无一失,他们令算出的最大工作应力远远小于该材料的强度,取1/3、1/4甚至1/7或1/8(材料的强度由拉断一个简单、光滑且主体平直的试样决定)。 这就是所谓的“应用安全系数”。任何通过减小安全系数来节约重量和成本的尝试,都很有可能引发灾难。

这类事故极易被归因于“材料缺陷”,少数几次确实是这样。当然,不同金属样品之间的强度差异很大,而且结构中确实有可能混入劣质材料。但是,钢铁的强度差异往往只有百分之几,3倍或4倍实属罕见,更不用说7倍或8倍了。所以在实践中,理论强度和实际强度之间的差异往往是由其他原因造成的:在结构中的某些未知区域,真实的应力肯定比计算出的应力大得多,因此“安全系数”有时也被称为“无知系数”。

19世纪的工程师经常用锻铁或低碳钢制造需承受拉应力的东西,比如锅炉、横梁和船舶,所以这些材料也拥有“安全”材料之誉。当我们在强度计算中引入一个较大的安全系数时,结果常常相当令人满意,但实际上事故仍然层出不穷。

船舶制造遇到的麻烦越来越多。对高航速和轻量化的要求使英国海军部和造船厂都陷入了困境,虽然算出的最大应力看似相当安全,但船舶在海上还是免不了被断成两截。例如,1901年,当时世界上最快的舰艇之一——一艘新式涡轮驱逐舰(英国皇家海军的眼镜蛇号),意外断成两截,沉入了风平浪静的北海。这起事故造成36人丧生,但事后军事法庭和英国海军部调查委员会都没有详细披露造成此次事故的技术原因。

于是,海军部于1903年用类似的皇家海军狼号驱逐舰,在天气恶劣的海上做了一系列实验,并公布了结果。结果表明,真实条件下测量得出的船体应力比造船前设计师计算出来的结果小得多。因为两组应力都远低于已知的造船钢材的“强度”——安全系数为5~6,所以这些实验都仅作为参考。

裂缝是如何产生的

要理解这类问题,最重要的不是做耗资巨大的全尺寸结构实验,而是进行理论分析。1913年,英格利斯(C. E. Inglis)——后来的剑桥工程学教授,与“坐而论道的教员”截然不同——在《船舶工程师学会学报》上发表了一篇论文,引发了更广泛的讨论和应用,而不仅限于船舶的强度。

英格利斯希望告诉弹性研究者的事与索尔兹伯里勋爵(Lord Salisbury)对政客说的话几乎一样,即只用小比例地图是个严重的错误。近一个世纪以来,弹性研究者一直满足于用宽泛或拿破仑时期的术语绘制应力分布图。英格利斯表明,这种方法只适用于表面光滑且没有形状突变的材料和结构。

几何上的不规则性,比如孔洞、裂缝和尖锐边角,之前被忽视了,但实际上,这种通常分布在一个非常小的区域内的缺陷会显著提高局部应力。因此,孔洞和沟槽可能导致其相邻区域的应力比该材料的断裂应力大得多,即便周边区域应力的总体水平很低且根据计算该结构可能是安全的。

当然,从某种意义上说,在巧克力块上刻槽及在邮票和其他纸张上打孔的人都知道这个事实。一个裁缝在撕开一块布之前,会先在其边缘剪出一个“口子”。然而,严肃的工程师对这类断裂现象没有多大兴趣,没有考虑将其归为“严格意义”上的工程学问题。

原本连续的固体中出现的任何孔洞、裂缝或凹陷,几乎都会导致局部应力的增加,这很容易解释。图4–1(a)显示了一段光滑均匀的木棒受到一个均匀的拉应力 s 的作用。穿过材料的虚线表示所谓的“应力作用线”,即应力从一个分子传递到下一个分子的典型路径。当然,在这种情况下,它们是一组间隔均匀的平行线。

如果我们现在通过在材料上制造一个切口、裂缝或孔洞来阻碍某些应力作用线,为保持平衡,这些作用线代表的力就需要某种反作用。实际发生的事情与人们想象的多少有些相同:力不得不绕过缺口,应力作用线的聚集程度主要取决于孔洞的形状[见图4 –1(b)]。例如,如果裂缝较长,那么裂缝尖端附近的应力作用线往往异常密集。因此在其相邻区域,单位面积上的力更大,局部应力也更大(见插图2)。

图4–1 在均匀拉伸的载荷下,无裂缝(a)和有裂缝(b)的木条上的应力作用线

英格利斯算出了遵循胡克定律的固体上一个椭圆孔洞的尖端处的应力增加量。 他的计算虽然只对椭圆孔洞是严格正确的,但用于其他形状的开口也足够精确。因此,其结果不仅适用于船舶、飞机等类似结构中的舷孔、舱门和舱口,还可用于各种其他材料和装置(例如牙齿填充物)中的裂缝、划痕和孔洞。

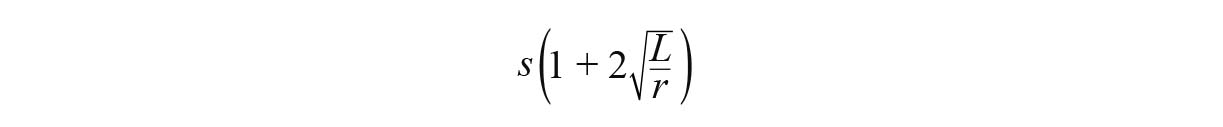
根据简单的代数运算,英格利斯说,若我们有一块材料受到远场应力 s 的作用,我们在其上制造一个任意形状、长度或深度为 L 、尖端半径为 r 的沟槽、裂缝或凹陷,它的尖端及其相邻处的应力就不再是 s ,而是增加为:

所以,对半圆沟槽或圆孔洞而言( r=L ),其应力值为3 s ;但对像舱门和舱口这样常有尖锐边角的开口来说, r 会很小而 L 会很大,所以边角处的应力可能非常大,足以让船舶断成两截。

在狼号驱逐舰实验中,引伸计或应变仪被夹在舰船镀层的不同位置。借助这些仪器,我们可以读出钢板的伸长量或弹性运动。据此,钢板的应变和应力就很容易计算出来了。巧合的是,没有一个引伸计被置于靠近舱口或其他开口的边角处。如果这样做,当船扎进波特兰岛大潮的浪头时,仪器肯定能取得一些非常惊人的读数。

当我们从舱口转向裂缝时,情况变得更糟了,因为裂缝长度通常为厘米甚至米的量级,而其尖端半径可达到分子尺度——小于百万分之一厘米,这使得 L/r 非常大。因此,裂缝尖端处的应力很可能是材料中其他地方应力的上百倍,甚至上千倍。

如果英格利斯的结果完全按其表面意义取值,那么我们根本不可能造出一个安全的张拉结构。事实上,在拉伸状态下实际使用的材料,如金属、木材、绳索、玻璃纤维、织物以及大部分生物材料,都很坚韧。这意味着,它们或多或少会具备某种精妙的机制来抵御应力集中的效应,我们将在下一章中讨论这个问题。然而,即便在最好、最坚韧的材料中,这种防护也是相对的,而每种张拉结构在某种程度上都是敏感的。

但是,像玻璃、石头和混凝土等“脆性固体”,则没有这种防护机制。换言之,它们相当符合英格利斯在计算中所做的假设。而且,我们都不需要人为制造可增加应力的沟槽来弱化这些材料。大自然已经慷慨地为我们准备了,哪怕在我们用它们来搭建结构之前,真实的固体也几乎总是遍布各种微小的孔洞、裂缝和划痕。

基于这些原因,在承受相当大的拉应力的情况下,使用任何脆性固体的行为都是轻率之举。当然,它们在砖石建筑、道路等领域应用广泛,但至少应在承压状态下。有时我们无法避免一定的张力,例如在玻璃窗中,此时我们既要小心维持非常小的拉应力,还得应用一个较大的安全系数。

谈到应力集中,我们务必注意,弱化效应并不完全是由孔洞、裂缝及其他材料缺陷造成的。附加材料也可以导致应力集中,前提是这样做诱发了局部刚度的突增。因此,如果我们在旧衣服上打块新补丁,或者在军舰的薄弱处加装护甲板,是不会有好结果的。

原因在于,强劲的补丁让一块区域的应变过小,造成的应力作用线转移,同孔洞让一块区域的应变过大造成的应力作用线转移的效应差不多。可以说,若一个结构的某处与其余部分的弹性不同,就会导致应力集中,并可能带来危险。

当我们试图通过附加材料来“强化”某物时,务必要小心,不要适得其反。据我的经验,受雇于保险公司和政府部门的检验员,若坚持通过安装加固件和加固套“强化”压力容器和其他结构,有时反倒会引发他们试图防止的事故。

大自然通常很擅长规避这种或那种应力集中。但是,有人认为应力集中对于骨科手术意义重大,尤其是在外科大夫把强劲的金属假体安装到柔韧的骨头上时。

(注:在英格利斯的公式中, L 是裂缝从材料表面向内延伸的长度,如果裂缝在材料内部,则取其长度的一半。)

[1] The Double Helix , by James D. Watson, Weidenfeld & Nicolson, 1968. HXJpEMCPN0Al9uAZrFxW+eQA+cBstIM8m7qTl2nPqycRxCgrpZC6nNYaPniq3JtY

点击中间区域
呼出菜单
上一章
目录
下一章
×