购买
下载掌阅APP,畅读海量书库
立即打开
畅读海量书库
扫码下载掌阅APP

3.5 折叠式共源共栅放大器

在分析图3-25所示的共源共栅放大器的输出摆幅时,我们得到( V in - V TH1 )+( V GS2 - V TH2 )< V out < V DD -| V GS3 - V TH3 |-| V GS4 - V TH4 |。其中M 1 的过驱动电压为 V in - V TH1 ,与输入电压的工作点有关系,这说明放大器的最小输出电压受限于 V in 的偏置状态。当 V in 偏置点较高时,共源共栅放大器的输出摆幅将低于 V DD -4 V ov 。而在3.4节中分析过,共源共栅放大器实际上利用共源管M 1 将输入电压转换为电流,然后将该电流作为共栅管M 2 的输入,这说明共源器件和共栅器件不一定必须为同一种类型。通过PMOS器件和NMOS器件的组合也可以完成共源共栅放大器的功能,其结构如图3-27所示。在这种结构中,输入极被向上或向下折叠,因此这种结构的放大器被称为折叠式共源共栅放大器。

img

图3-27 折叠式共源共栅放大器的结构

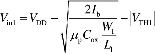
经过折叠后,输入管和共栅管的电流均流向折叠点[见图3-27(a)],或均从折叠点流出[见图3-27(b)],因此需要在折叠点处增加一个电流源来提供偏置电流 I b 。以图 3-27(a)所示的PMOS器件作为输入器件的折叠式共源共栅放大器为例,分析直流特性。设 V in2 = V DD -| V TH1 |,当 V in > V in2 时,M 1 处于截止状态,偏置电流 I b 将全部流过M 2 ,这使输出电压 V out2 = V DD - I b R D 。当 V in 减小至 V in2 以下时,M 1 开启并处于饱和状态,其电流记为 I D1 。因此M 2 的工作电流 I D2 = I b - I D1 ,此时 V out = V DD -( I b - I D1 R D = V out2 + I D1 R D 。随着 V in 减小,| V GS1 |增大, I D1 也变大,因此 V out 开始增大。随着 V in 的减小, I D2 也在逐渐减小,当 I D1 = I b 时, I D2 =0,此时 V in = V in1 ,其大小为

img

(3-52)

V in < V in1 时, I D1 趋向于继续增大,但是由于全部的偏置电流 I b 均已提供给M 1 ,所以 I D1 无法继续增大,此时M 1 将进入线性区工作保持 I D1 = I b 。由于 I D2 =0,因此输出电压 V out1 = V DD 。综合上述分析,可得到折叠式共源共栅放大器的输入-输出特性曲线,如图3-28所示。实际上图 3-27(a)所示的折叠式共源共栅放大器的小信号模型与图3-22(a)所示的共源共栅放大器的小信号模型并无区别,其增益与式(3-47)一致。为了提升增益,同样可以将电阻负载R D 替换为共源共栅电流源。此外,偏置电流源可通过工作在饱和区的MOS器件来实现。因此,采用共源共栅电流镜负载的折叠式共源共栅放大器的电路结构如图3-29所示,它们的增益幅度与式(3-50)一致。

img

图3-28 折叠式共源共栅放大器的输入-输出特性曲线

img

图3-29 采用共源共栅电流镜负载的折叠式共源共栅放大器的电路结构

采用折叠式结构的一个主要好处就是解决了本节开始处提到的放大器摆幅问题。以图3-29(a)所示的放大器为例进行分析,为使所有晶体管均能工作在饱和区,要求( V GS1 - V TH1 )+( V GS2 - V TH2 )< V out < V DD -| V GS3 - V TH3 |-| V GS4 - V TH4 |。由此可知,折叠式共源共栅放大器的输出摆幅为 V DD -4 V ov ,且与输入电压 V in 没有关系,这解决了普通共源共栅放大器输出电压摆幅受限于 V in 的问题。但是需要注意的是,折叠式结构要比普通结构消耗更多功耗。这是因为,为了使输入管和共栅管发挥与折叠前一样的性能,它们的偏置电流需要与非折叠状态时的偏置电流一致,这就使得折叠后的总偏置电流 I b 几乎是非折叠时的两倍。 /HOcdyxC9BoOfUot2VxzkhRMXTEr2nRfNACqnukzMe1yfeh0R0FR47zCuHwMDeR8

点击中间区域
呼出菜单
上一章
目录
下一章
×

打开