购买
下载掌阅APP,畅读海量书库
立即打开
畅读海量书库
扫码下载掌阅APP

3.4 共源共栅放大器

表 3-1 所示的单管放大器结构简单,是模拟电路的基本单元。将这些基本单元进行组合就可以得到更复杂的电路,以提升放大器的性能。在3.3节中提到,共栅放大器可以作为电流缓冲器使用,而共源放大器可以将电压信号转为电流信号,因此可以将共源放大器和共栅放大器进行级联以提升输出阻抗,进而提升放大器增益,这种结构被称为共源共栅(Cascode)放大器。

3.4.1 直流特性分析

共源共栅放大器的结构如图3-22(a)所示,其中M 1 为共源管,其栅极作为输入端,M 2 为共栅管,其漏极作为输出端,R D 为电阻负载。现在分析当 V in 从零变化到 V DD 时,共源共栅放大器输出的变化。当 V in < V TH1 时,M 1 处于截止状态,R D 中无电流流过, V out = V DD ,M 2 也处于截止状态, V X V b - V TH2 。当 V in 大于 V TH1 后,M 1 开始导通,形成电流 I D V out 开始减小。因为M 2 也有电流流过,其 V GS2 也增大,这使得 V X = V b - V GS2 也开始减小。继续增大 V in V X V out 会继续减小,当减小到一定程度时会出现两种可能。如果 V out 首先减小到了 V b - V TH2 ,则M 2 会先进入线性区工作, V X 会趋向于 V out 。如果 V X 首先减小到了 V in - V TH2 ,则M 1 会先进入线性区工作,此时随着 V in 增大M 1 的电流增大的速度减缓,使得 V out 的减小趋势减缓。通过上述分析可知,共源共栅放大器的输入-输出特性曲线如图 3-22(b)所示,当M 1 和M 2 均工作在饱和区时, A V =∂ V out /∂ V in 最大。为使M 1 处于饱和状态,要求 V X > V in - V TH1 ,则 V b > V in - V TH1 + V GS2 。为使M 2 处于饱和状态,要求 V out > V b - V TH2 ,则 V out >
V in - V TH1 + V GS2 - V TH2 。由此可知,为保证M 1 和M 2 均工作在饱和区,要求共源共栅放大器的输出电压不得小于M 1 和M 2 的过驱动电压之和。相比于简单的共源放大器,共源共栅放大器的输出摆幅有所降低,降低值为共栅管的过驱动电压。

img

图3-22 共源共栅放大器的结构和输入-输出特性曲线

3.4.2 小信号特性分析

在共源共栅放大器中M 1 和M 2 处于串联状态,因此考虑使用MOS器件的T模型来分析小信号特性。共源共栅放大器的小信号模型如图3-23所示。

img

图3-23 共源共栅放大器的小信号模型

根据KCL可以得到

img

(3-45)

img

(3-46)

通过式(3-46)可以求解出 V X 的表达式,将其代入式(3-45),可以得到

img

(3-47)

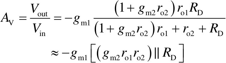
由此可知,共源共栅放大器的输出阻抗为 img ,这说明从 V out 向M 2 漏极看进去的阻抗为 img 。下面具体分析共源共栅放大器的输出阻抗,如图3-24所示,此时的电路结构与分析带有源极负反馈的共源放大器的输出阻抗类似,其中M 2 看作共源放大器的输入管,而M 1 的输出阻抗 img 看作源极负反馈电阻,因此根据式(3-28)可以很容易得到此时的输出阻抗为

img

(3-48)

这说明 img 的负反馈作用使得 img 被放大了 img 倍,因为 img ,因此也可以描述为共栅管M 2 将共源管M 1 的输出阻抗 img 放大了 img 倍。实际上,M 1 可以看作电流为 img 、内阻为 img 的电流源,其作为共栅管M 2 的输入。根据对图3-21的相关分析可知,共栅管作为电流缓冲器维持了电流 img 不变,同时使输出阻抗提升至 img

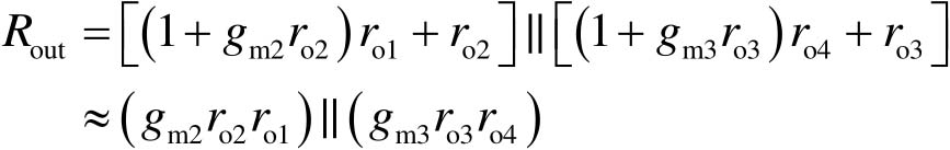
通过上述分析我们发现,共源共栅放大器的一个重要特性就是输出阻抗很高,因此其可作为理想电流源。为了提升共源共栅放大器的增益,可以将图3-22(a)所示的电阻负载R D 也更换为共源共栅电流源,如图3-25所示。其中M 1 和M 2 是NMOS器件组成的共源共栅放大器,M 3 和M 4 是PMOS器件组成的共源共栅电流源,其输出阻抗将提升至

img

(3-49)

因此增益近似为

img

(3-50)

img

图3-24 分析共源共栅放大器的输出阻抗

img

图3-25 采用共源共栅电流源作为负载的共源共栅放大器

由此可知,采用共源共栅电流源作为负载的共源共栅放大器的增益将提升至 img 数量级,即MOS器件本征增益的平方。增益能够有效提升的前提是所有晶体管都工作在饱和区,这要求( V in - V TH1 )+( V GS2 - V TH2 )< V out < V DD -| V GS3 - V TH3 |-| V GS4 - V TH4 |,因此运算放大器的摆幅约为 V DD 减去4个MOS器件的过驱动电压。利用共源共栅放大器提升输出阻抗特性,可以将共源共栅放大器扩展为三层或更多层结构,以获得更高的输出阻抗。图3-26所示为采用三层结构的共源共栅放大器,其中M 1 和M 2 组成的共源共栅放大器的输出阻抗 img 作为M 3 的源极负反馈电阻,因此从M 3 漏极看下去的阻抗提升至 img 。同理,从M 4 的漏极看上去的阻抗提升至 img 。因此,采用三层结构的共源共栅放大器的增益为

img

(3-51)

其增益提升至 img 数量级,同时运算放大器的摆幅约为 V DD 减去6个MOS器件的过驱动电压。这表明多层结构共源共栅放大器虽然获得了更高的输出阻抗和增益,但是同时也消耗了更大的电压余度,降低了输出摆幅。

img

图3-26 采用三层结构的共源共栅放大器 n4mj33ebqEBpEh6AR5MLrobPvthPgwhWKDaM1cBVkgyrOYUngwOsywMB8L3E0+Hb

点击中间区域
呼出菜单
上一章
目录
下一章
×

打开