购买
下载掌阅APP,畅读海量书库
立即打开
畅读海量书库
扫码下载掌阅APP

3.3 共栅放大器

3.3.1 直流特性分析

共栅放大器的电路结构如图3-18(a)所示,将MOS器件的栅极连接至固定电平,把源极作为输入端,漏极作为输出端,这种连接方法的放大器被称为共栅放大器。为简化分析共栅放大器的直流特性,我们从M 1 工作在截止区开始分析。当 V in 很大时,M 1 处于截止区,此时 V out = V DD 。当 V in 减小至 V b - V TH1 时,M 1 开启,流过M 1 的电流 I D 开始增大,这使 V out = V DD - I D R D 开始减小,当 V out 大于 V b - V TH1 时,M 1 工作在饱和区,此时共栅放大器的输入-输出特性满足以下关系

img

(3-33)

V in 减小至 V 1 以下时, V out < V b - V TH1 ,M 1 工作在线性区,此时M 1 的跨导减小,因此 V out V in 减小的速度也开始减缓。通过上述分析可知,共栅放大器的输入-输出特性曲线如图 3-18(b)所示,其增益为正值。

img

图3-18 共栅放大器的电路结构及其输入-输出特性曲线

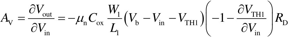
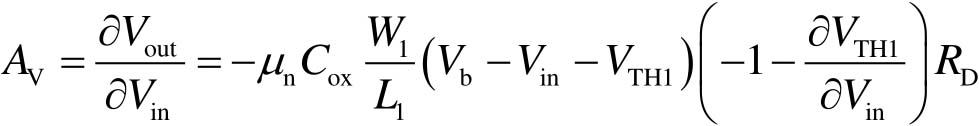
M 1 工作在饱和区时,共栅放大器的增益最大,因此根据式(3-33)可得到其增益为

img

(3-34)

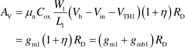
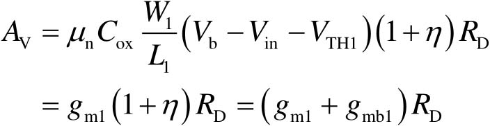
因为∂ V TH1 /∂ V in =∂ V TH1 /∂ V SB1 = η ,因此式(3-34)可变为

img

(3-35)

3.3.2 小信号特性分析

共栅放大器的小信号模型如图3-19所示,根据KCL可以得到

img

(3-36)

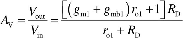
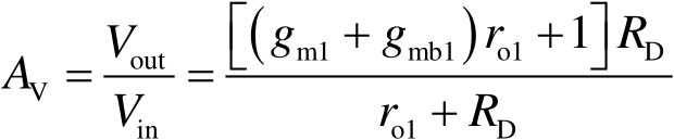
故共栅放大器的小信号增益为

img

(3-37)

由于 img ,当 img 时, A V =( g m1 + g mb1 )( r o1 || R D )≈( g m1 + g mb1 R D ,由此也可以看出其输出阻抗为 r o1 || R D

img

图3-19 共栅放大器的小信号模型

对于共源放大器和共漏放大器,它们的输入端均为MOS器件的栅极,因此对于直流输入信号来说其输入阻抗 R in 几乎是无穷大的。但对于共栅放大器,其输入端为源极,因此我们对其输入阻抗进行具体分析。如图 3-20 所示,在输入端施加电压 V X ,则输入阻抗为 R in = V X / I X 。根据KCL可以得到

img

(3-38)

因此得到

img

(3-39)

在通常情况下, imgimg ,因此式(3-39)可简化为

img

(3-40)

img

图3-20 分析共栅放大器输入阻抗

通过上述分析我们发现,共栅放大器的输入阻抗较小,因此共栅放大器的输入也可以采用电流形式,如图3-21(a)所示,其中 R s 为输入电流源 I in 所呈现的输出阻抗。通过图 3-21(b)所示的小信号模型分析其输入-输出特性。根据KCL可以得到

img

(3-41)

img

(3-42)

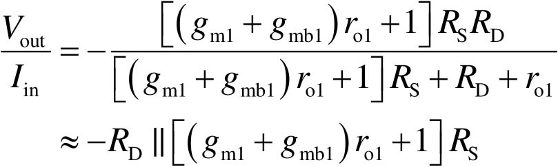
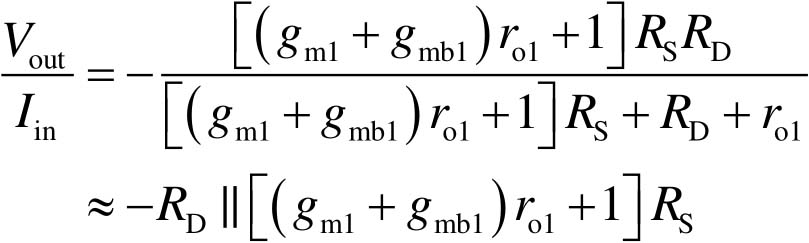
通过式(3-42)可得到 V X 的表达式,再将其代入式(3-41),可得到

img

(3-43)

img

图3-21 电流输入共栅放大器及其小信号模型

下面再来分析图3-21(a)所示的共栅放大器的输出阻抗,分析过程与分析图3-10所示的带有源极负反馈的共源放大器的输出阻抗类似,分析结果为

img

(3-44)

由此可知,当考虑输入信号源内阻 R S 时,共栅放大器自身的输出阻抗增大了( g m1 + g mb1 R S 倍,这是因为存在负反馈作用。通过上述分析发现,共栅放大器具有较低的输入阻抗、较高的输出阻抗及单位增益电流放大能力,因此共栅放大器可以用作电流缓冲器。

3.3.3 基本单级放大器特性总结

至此,我们已经分析了MOS器件以共源、共漏、共栅三种形态连接作为放大器使用时的直流特性,现在我们对常见单级放大器的特性进行总结,如表3-1所示。

表3-1 常见单级放大器的特性总结 x4MLGcBpQmgi/TDYjqtdo+h4D5Qauxq7hNpmArRzA+y55sy838gutorsRdI0ykX3

img
点击中间区域
呼出菜单
上一章
目录
下一章
×