购买
下载掌阅APP,畅读海量书库
立即打开
畅读海量书库
扫码下载掌阅APP

3.2 源极跟随器

通过3.1节中对共源放大器的分析发现,要提升电压增益,就要提高输出阻抗。当直接使用共源放大器驱动一个低阻抗负载时,负载电阻会直接拉低放大器的输出阻抗,进而使电压增益减小。为解决这个问题,通常需要在高输出阻抗放大器后面级联一个电压缓冲器。源极跟随器就可以作为这样一个电压缓冲器使用。源极跟随器的输入为栅极,输出为源极,因此其也被称为共漏极放大器。

3.2.1 直流特性分析

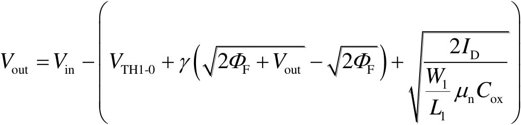
源极跟随器的电路结构如图3-11(a)所示,其输入-输出特性曲线如图3-11(b)所示。当 V in < V TH1 时,M 1 工作在截止区, V out =0。当 V in 逐渐增大且超过 V TH1 时,M 1 导通工作在饱和区, V out 开始增大,此时 V out = V in - V GS1 。当 V out 仍小于 V b - V TH2 时,M 2 工作在线性区,其工作电流 I D 随着 V out 增大而增大,而 I D 的增大会带来 V GS1 的增大,因此源极跟随器的输入-输出特性此时表现出非线性特征。当 V in 进一步增大使 V out 超过 V b - V TH2 时,M 2 工作在饱和区,此时 I D 几乎不变,源极跟随器的输入-输出关系为

img

(3-29)

img

图3-11 源极跟随器的直流特性

当不考虑M 1 的体效应时, V TH1 是固定值,因此由式(3-29)可知此时源极跟随器的输出电压跟随输入电压线性变化,它们之间仅相差固定电压 V GS1 。但是在通常的CMOS工艺中NMOS器件的衬底需要连接地线,这就导致了M 1 V SB = V out >0,在考虑体效应后,源极跟随器的输入-输出关系为

img

(3-30)

由此可知,体效应的存在提升了输入-输出的非线性度。在通常的CMOS工艺中PMOS器件是制作在独立的N阱当中的,如果采用PMOS器件作为源极跟随器的输入管,则其源极和衬底可以连接在一起,这样便使得 V SB =0,消除了体效应的影响,提升了输入-输出响应的线性度。

3.2.2 小信号特性分析

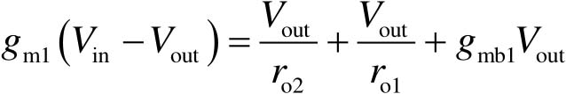
源极跟随器的小信号模型如图3-12所示,该模型中考虑了M 1 的体效应影响,其中 V BS =- V out 。根据KCL可以得到

img

(3-31)

故源极跟随器的小信号增益为

img

(3-32)

由此可知,源极跟随器的增益近似为1,而体效应的存在会使得增益减小。源极跟随器的输出阻抗约为1/( g m1 + g mb1 ),该值相对较小,因此其可以驱动低阻抗负载而不会对自身增益产生明显影响。

img

图3-12 源极跟随器的小信号模型

3.2.3 Class AB驱动器

通过前面对源极跟随器的直流特性分析发现,无论输入信号是否变化,源极跟随器的工作电流始终为 I D ,这种采用恒定偏置电流的驱动器常被称为Class A驱动器或甲类驱动器。如图3-13(a)所示,Class A驱动器无论输入是否变化,电路始终工作在满负荷下,因此当输入无变化时,电路的功耗将转变为热,这种驱动器的电源效率仅能达到约25%。

以Class A驱动器驱动电容负载C L 为例来分析其工作电流状态。假设Class A驱动器在稳态时,其偏置电流为 I D 。当C L 的初始电压远小于 V in 时,如图3-13(b)所示,此时 V GS1 = V in - V out 很大,流过M 1 的电流 I 1 大于 I D 。因此 I 1 中超过 I D 的电流将流向负载C L ,形成对负载的充电电流 I out 。随着充电的进行, V out 开始增大, V GS1 开始减小,充电电流 I out 逐渐减小。当 V GS1 减小到刚好使M 1 的电流为 I D 时, I out 变为0,此时Class A驱动器进入稳态,如图3-13(d)所示。当C L 的初始电压远大于 V in 时,如图3-13(c)所示,此时 V GS1 小于M 1 的阈值电压 V TH1 ,M 1 处于截止状态。因此负载C L 会以 I out = I D 电流进行放电。随着放电的进行, V out 开始减小, V GS1 开始增大,M 1 的电流逐渐增大,这使得放电电流 I out 逐渐减小。当 V GS1 升高到刚好使得M 1 的电流为 I D 时, I out 变为0,此时Class A驱动器进入稳态,如图3-13(d)所示。由此可知,Class A驱动器无论工作在何种状态下,始终存在一个大小为 I D V DD 流向地线的电流,达到稳态后M 1 始终处于开启状态,因此大小为 I D V DD 的功率将转换为热量散发出去。

img

图3-13 Class A驱动器及其工作状态

为解决Class A驱动器电源效率较低的问题,可以将驱动器改为采用非恒定偏置电流,输入高电压时只有NMOS器件工作,输入低电压时只有PMOS器件工作,几乎没有静态工作电流。如图3-14(a)所示,这种驱动器被称为Class B驱动器或乙类驱动器,也被称为推挽(Push-Pull)输出驱动器,其电源效率约可提升至78%。

Class B驱动器中将图3-11(a)所示的源极跟随器中NMOS器件M 2 换成了PMOS器件。同样以Class B驱动器驱动电容负载C L 为例来分析其工作电流状态。当C L 的初始电压远小于 V in 时,如图3-14(b)所示,此时 V GS1 = V GS2 = V in - V out 很大。M 1 中会形成一个较大的电流 I 1 ,而M 2 处于截止状态,因此 I 1 会被全部用于给负载C L 充电。随着充电的进行, V out 开始增大, V GS1 开始减小,充电电流 I 1 逐渐减小。当 V out 增大到使 V GS1 = V GS2 = V in - V out < V TH1 时,M 1 进入截止状态,而M 2 仍保持截止状态,此时驱动器进入稳态,如图 3-14(d)所示。当C L 的初始电压远大于 V in 时,如图3-14(c)所示,此时 V GS1 = V GS2 = V in - V out 为负值,M 1 处于截止状态,而M 2 中会形成一个较大的电流 I 2 ,因此 I 2 会被全部用于给负载C L 放电。随着放电的进行, V out 开始减小, V GS2 开始增大,放电电流 I 2 逐渐减小。当 V out 减小到使 V GS1 = V GS2 = V in - V out >-| V TH2 |时,M 2 进入截止状态,而M 1 仍保持截止状态,此时驱动器进入稳态,如图3-14(d)所示。由此可知,Class B驱动器在动态响应过程中仅有一半的晶体管处于开启状态,不存在从 V DD 到地线的稳定通路;而当其进入稳态后,全部晶体管均处于截止状态,没有静态功耗,电源效率得以提升。

img

图3-14 Class B驱动器及其工作状态

虽然Class B驱动器解决了Class A驱动器的电源效率问题,但又引入了一个新的问题,即失真问题。为简化描述,考虑图3-15(a)所示的采用 V + V - 供电的Class B驱动器,当输入信号处于-| V TH2 |< V in < V TH1 状态时,M 1 和M 2 均处于截止状态,此时输出不会对输入的任何变化有所响应。因此当对Class B驱动器施加一个图3-15(b)所示的正弦输入信号 V in 时,其输出信号 V out 会在-| V TH2 |< V in < V TH1 区间出现失真情况。

img

图3-15 Class B驱动器的失真状态及其输入与输出波形

为解决失真问题,在输入端和M 1 、M 2 的栅极之间分别串联一个+ V DC 和- V DC 的直流电压偏移,如图3-16(a)所示。利用该直流电压偏移,实现对输入电压的增大和减小,促使NMOS器件或PMOS器件导通,以减小失真范围,这种结构被称为Class AB驱动器或甲乙类驱动器。如图3-16(a)所示, V in1 = V in + V DC1 V in2 = V in - V DC2 。如果选取 V DC1 > V TH1 V DC2 >| V TH2 |,那么如图3-16(b)所示,当 V in >0时,M 1 导通,而当 V in <0时M 2 导通。可知在不同输入电压下,M 1 和M 2 总有一个是导通状态, V out 可以完整跟随 V in 的变化,消除了图 3-15(b)所示的失真区域。

img

图3-16 Class AB驱动器示意图及其输入与输出波形

在实际电路中,可以通过恒定电流偏置下的二极管连接的MOS器件来实现 V DC1 V DC2 ,Class AB驱动器的电路实现如图3-17所示。M 3 是二极管连接的NMOS器件,其偏置电流由作为电流源使用的工作在饱和区的M 5 提供,因此 V in1 = V in + V GS3 。M 4 是二极管连接的PMOS器件,其偏置电流由作为电流源使用的工作在饱和区的M 6 提供,因此 V in2 = V in -| V GS4 |。因为M 1 和M 3 均为NMOS器件,因此 V GS3 > V TH1 ,同理| V GS4 |>| V TH2 |。可知,M 3 ~M 6 共同完成了图 3-16(a)所示的直流电压偏移。但需要注意的是,在该结构中,M 3 ~M 6 支路中会有恒定偏置电流从 V + 流向 V - ,为提升电源效率,这个偏置电流不宜设置得过大。通常,其只要满足在信号带宽内M 3 和M 4 能有效驱动M 1 和M 2 的栅极寄生电容即可,即能够使 V in1 V in2 有效跟随 V in 变化。

img

图3-17 Class AB驱动器的电路实现 n4mj33ebqEBpEh6AR5MLrobPvthPgwhWKDaM1cBVkgyrOYUngwOsywMB8L3E0+Hb

点击中间区域
呼出菜单
上一章
目录
下一章
×

打开