购买
下载掌阅APP,畅读海量书库
立即打开
畅读海量书库
扫码下载掌阅APP

2.6 MOSFET的 I - V 特性仿真分析

利用Aether对NMOS器件的 I - V 特性进行仿真,首先调用 W / L = 600nm/180nm的NMOS器件(n18)搭建 I - V 特性仿真原理图,如图2-34所示。器件的源极和衬底分别接0V的电压源 V 1 V 3 ,栅极和漏极分别接电压源 V 0 V 2 ,它们的直流电压值分别设置为参数 V GS V DS

img

图2-34 I - V 特性仿真原理图

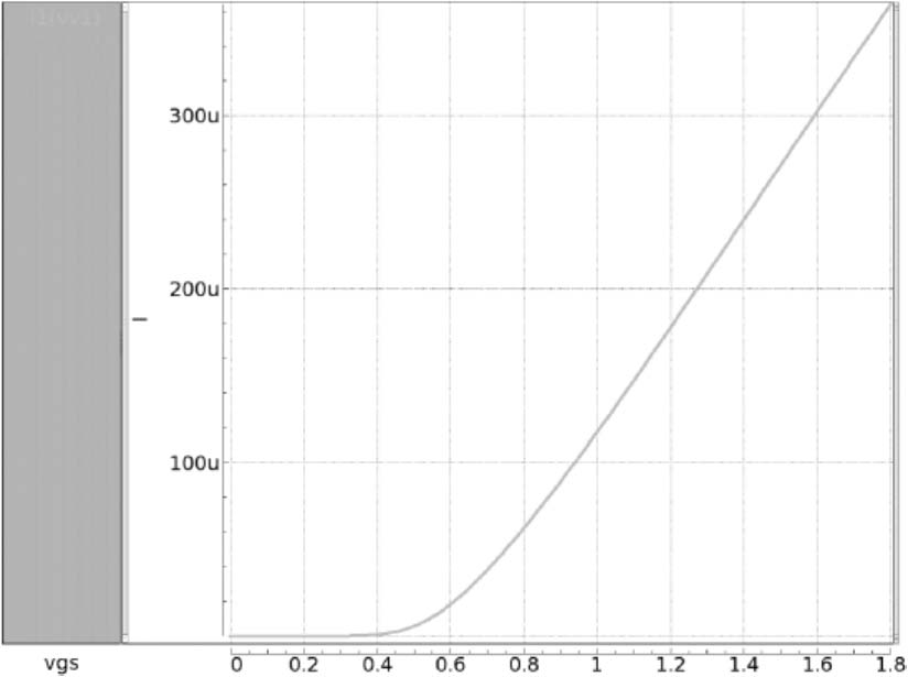
利用Aether中的MDE工具设置DC仿真参数,如图2-35所示,其中通过 V DS 从0V到1.8V、 V GS 从0V到0.9V的联合扫描可获得图2-36所示的NMOS器件的输出特性仿真结果。固定 V DS 为1.8V,通过 V GS 从0V到1.8V的扫描可获得图2-37所示的NMOS器件的转移特性仿真结果。

img

图2-35 设置DC仿真参数

img

图2-36 NMOS器件的输出特性仿真结果

img

图2-37 NMOS器件的转移特性仿真结果 FgPUz5OgQa5CwkN4Ov+zKqh5uEm71/0UgWfzUiWGMLTYKTU00m6i1ZeKMu8A6tow

点击中间区域
呼出菜单
上一章
目录
下一章
×

打开