



利用Aether对NMOS器件的 I - V 特性进行仿真,首先调用 W / L = 600nm/180nm的NMOS器件(n18)搭建 I - V 特性仿真原理图,如图2-34所示。器件的源极和衬底分别接0V的电压源 V 1 和 V 3 ,栅极和漏极分别接电压源 V 0 和 V 2 ,它们的直流电压值分别设置为参数 V GS 和 V DS 。
图2-34 I - V 特性仿真原理图
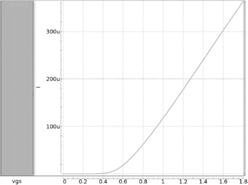
利用Aether中的MDE工具设置DC仿真参数,如图2-35所示,其中通过 V DS 从0V到1.8V、 V GS 从0V到0.9V的联合扫描可获得图2-36所示的NMOS器件的输出特性仿真结果。固定 V DS 为1.8V,通过 V GS 从0V到1.8V的扫描可获得图2-37所示的NMOS器件的转移特性仿真结果。
图2-35 设置DC仿真参数
图2-36 NMOS器件的输出特性仿真结果
图2-37 NMOS器件的转移特性仿真结果