



    下面我们将充实之前介绍的开放经济模型,引入国际资本市场的两个基本缺陷,将其作为我们关于国家最优货币供给与最优资本结构理论的基础。在大部分讨论中,我们将针对国家有能力为投资
    
     k
    
    筹集足够多资金,从而可以在时期2得到预期产出
     的情形。
    的情形。
   
国际金融研究文献中经常提到的第一个缺陷是,主权国家偿还外国投资人持有的债务的意愿是有限的。由于主权国家偿还债务的承诺是有限的,那么它们向外国投资人发行债务的成本会提高,通过国际债务发行来筹集资金的能力会受到约束。正如有关研究(Eaton and Gersovitz, 1981; Bulow and Rogoff, 1989)强调的那样,主权国家只有在违约成本高于偿债成本的情况下才会偿还债务。我们将采纳这一观点,以便给某个国家能承担的债务总额确定一个上限。
第二个缺陷是我们打算提出的国家的“通胀意愿问题”。与国家不能对偿还债务做出承诺一样,它也不能保证限制通胀。于是,投资人会担心货币贬值的风险,然后要求为持有以该国货币计价的债务而获得补偿。这一缺陷在国际金融研究文献中被普遍提及,也是艾肯格林等人(Eichengreen、Hausmann and Panizza, 2003)提出的“原罪”概念的前提。与之类似,珍妮(Jeanne, 2003)和其他人也认为,新兴市场国家缺乏货币信誉是新兴市场的私人部门借贷采用外币计价债务的一个关键原因。
这里讨论的通胀风险与公司金融学中的股权稀释成本概念有更为紧密的联系。当企业以过分优惠的条件(价格低于股票的基本现值)向新投资人发行股票时,这种稀释成本就会出现。随着此类股票的发行,部分财富会从老股东向新股东转移,这就是所谓的“所有权稀释成本”,此时,“以优惠价格发行股票给老股东带来的成本可能超出投资项目的净现值”(Myers and Majluf,1984,第188页)。与之类似,当外国投资人察觉某个国家货币贬值的风险较大时,该国事实上会向外国投资人发行价值低估的本币债务,从而给本国的消费者带来稀释成本。这种稀释成本可能以通胀的形式表现出来,更多由本国居民承担。
我们关于国家最优资本结构和最优货币供给的理论,正是基于偿债意愿问题(违约风险的根源所在)带来的债务成本与外国投资人感知的货币贬值风险带来的货币稀释成本之间的权衡。
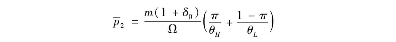
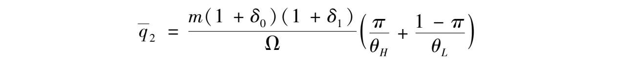
外国投资人如果察觉他们投资的国家更容易发生通胀,就会对基础设施投资 k 的资本投入要求更高的货币回报。然而,外国投资人在投资某个国家的货币时很难确切知道自己面临多大的通胀风险。部分原因在于,通胀取决于难以准确预测的国内政策决策。描述此类政策风险的一种简单办法是在时期1引入两种类型的政府,分别为货币政策鸽派和货币政策鹰派。鸽派政府将在时期1让货币供给扩大 δ 1 (1+ δ 0 ) m ,以支持本国居民的消费。基础货币的这一未来扩张是对国内居民的纯转移支付,会导致名义价格水平提高。与之相反,鹰派政府不会在时期1扩大货币供给,于是 δ 1 =0。外国投资人无法完美预测自己将遇到哪种类型的政府,于是面临通胀风险。
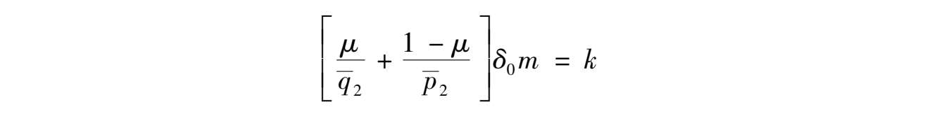
我们考虑了本国居民与外国投资人对这一通胀风险的判断可能存在差距的现实情况,这是事出有因的,因为本国居民可能比外国投资人对本地政治环境更为熟悉,而后者可能更擅长捕捉全球趋势。我们假设,本国居民预期在时期1遇到货币政策鸽派政府的概率为 λ ∈(0,1),而外国投资人的判断通常来说与本国居民有所不同,于是假设外国投资人预期在时期1遇到货币政策鸽派政府的概率为 μ ∈(0,1)。
当这个国家在时期0通过发行货币 δ 0 m 来筹集投资资金 k 时,在货币政策鹰派政府的情形下,时期2的预期价格水平将为:
 
   而在货币政策鸽派政府的情形下,时期2的预期价格水平将为:
 
   外国投资人会要求投资 k 交换到的货币数量 δ 0 m 至少有望实现财务平衡。也就是说, δ 0 m 在时期2的预期购买力必须至少等于 k ,于是有:
 
   
    由于
     ,可以看到外国投资人要求的货币数量
    
     δ
    
    
     0
    
    
     m
    
    将取决于他们对时期2会遇到货币政策鸽派政府的概率判断
    
     μ
    
    。所以当
    
     μ
    
    >
    
     λ
    
    时,本国居民会承受不正常的货币融资成本,因为外国投资人要求的通胀风险补偿高于本国居民。反之亦然,当
    
     μ
    
    <
    
     λ
    
    时,本国居民会从货币融资中获得好处,这源于外国投资人过分乐观的判断。
    ,可以看到外国投资人要求的货币数量
    
     δ
    
    
     0
    
    
     m
    
    将取决于他们对时期2会遇到货币政策鸽派政府的概率判断
    
     μ
    
    。所以当
    
     μ
    
    >
    
     λ
    
    时,本国居民会承受不正常的货币融资成本,因为外国投资人要求的通胀风险补偿高于本国居民。反之亦然,当
    
     μ
    
    <
    
     λ
    
    时,本国居民会从货币融资中获得好处,这源于外国投资人过分乐观的判断。
   
当某个国家通过发行外币债务来筹集资金 k 时,它会承诺用时期2的产出中的 D 来偿还外国投资人在时期0的投资 k 。如果从事后看对自己有利,该国可能会对债务违约。当该国违约时,它会因为贸易制裁和其他经济扰动而承受无谓的产出损失。假设这种损失是最终产出中的一个百分比 ϕ >0,那么在违约发生后,该国能够生产和消费的产品数量将等于(1- ϕ ) θ Ω。
于是,当且仅当满足如下条件时,该国才会选择对债务 D 违约:
θ Ω-D<(1-ϕ) θ Ω
或者说, D > ϕθ Ω。
假设债务的面值为 D ,于是有:
 
   由此可见,当该国在时期2的产出较低时( θ = θ L ),它将发生违约。这一危机状态的发生概率为(1- π ),于是该国主权债务的外国投资人对时期2的承诺还款金额的要求将至少达到 D = k/π 。由此可见,外币债务融资的预期无谓成本将等于(1- π ) ϕθ L Ω。
尽管这个国家可以用公平的条件发行债务,但由于它不能确保自己是否有能力或者意愿在未来偿还债务,发行债务还是会产生无谓成本。请注意,该国的违约决策与政府是货币政策鸽派还是鹰派的属性无关,因为本国代表性居民在两种情形下会得到相同的实际产出。
    当违约成本较高时,这个国家通过货币发行来支持投资可能更有利。为此我们可以比较一下用债务和货币来支持投资
    
     k
    
    得到的不同结果。首先请注意,在
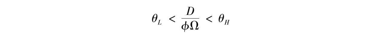
     时,该国无法通过发行外币债务来为基础设施投资筹集足够多的资金,因为这种情况下该国无法做出令人信服的偿还债务承诺。
    时,该国无法通过发行外币债务来为基础设施投资筹集足够多的资金,因为这种情况下该国无法做出令人信服的偿还债务承诺。
   
事实上,在这个国家能够获得的最有利的借款条件下,必然有 D = k 。但如果该国受到危机冲击,使它在时期2的产出为 θ L Ω,此时更好的选择是对债务违约而非偿还,因为:
 
   由此可见,这个国家必须接受更严苛的条件,以补偿投资人面临的违约风险: D = k/π 。然而在更为苛刻的条件下,如果该国在时期2的产出是较高的 θ H Ω,它也会愿意选择债务违约,因为:
 
   
    我们这里假设
    
     πθ
    
    
     H
    
    
     ϕ
    
    Ω≥
    
     k
    
    ,使得该国有足够的负债能力,能够用债务来为投资项目筹资。那么在
    
     λ
    
    >
    
     μ
    
    的情况下,用发行货币来支付
    
     k
    
    比债务融资更可取,原因在于该国此时可以避免任何陷入财务困境的成本,而且由于外国投资人感知的通胀风险比国内居民更低,它可以用较为有利的条件来为投资筹款。即便在
    
     λ
    
    ≤
    
     μ
    
    的情况下,如果债务融资涉及违约风险(例如在
     时),并且通胀成本不是太高,发行货币仍会是更好的选择。
    
     
      [1]
    时),并且通胀成本不是太高,发行货币仍会是更好的选择。
    
     
      [1]
     
    
   
上述的极简化分析可以得出如下几个直观而有力的预测:
(1)被错误理解为货币政策鸽派的国家,即( μ-λ )和 δ 1 都较高的国家,更适合采用外币债务来给投资项目筹资。
(2)面临较高违约无谓成本 ϕ 或者较高投资回报Ω的国家,更适合采用发行货币来给投资项目筹资。
(3)一个国家在危机时期的生产率水平 θ L 越低,债务违约带来的损失就越小;一个国家处于良好状态的概率 π 越高,就越有能力偿还其外币债务。
一个国家债务违约的无谓成本 ϕ 较高的一个原因是,主权债务违约可能带来银行业危机。如果商业银行持有较大部分该国发行的主权债务,银行体系的崩溃将不可避免,进而导致产出的严重收缩。担心可能发生这种银行业崩溃的国家会限制自己发行外币债务。另外请注意,当 θ L 较低时,风险债务可能对发行国更有吸引力,它实际上可以用较低的无谓违约成本发行状态依存型债务(state contingent claim)来实现一定的消费熨平效果。在此情形下,风险债务将发挥与GDP指数挂钩债务类似的资源配置的作用。最后,当 μ < λ 时,国家可能不仅严格偏好于完全通过发行货币来筹资,甚至能够通过发行超过投资支出的货币来获利,例如积累更多的外汇储备。
这一点符合直觉,因为如果该国选择发行货币,外国投资人的利益将被稀释。结果会使本国消费者从货币发行中获益,而仁慈型政府在可能的情况下会选择于初始时期就尽量发行货币。
当然,如果该国继续发行货币并积累外汇储备,到某个时点之后,外国投资人将向上修正自己的通胀预期。我们在2018年的论文中对这里描述的理论框架做了一般化处理,外国投资人的通胀预期将对该国的货币供给做出反应。
一个国家的最优资本结构通常涉及债务与货币的组合。在 μ < λ 的情形下,该国的货币发行不会带来成本,反而会获益,当然它将面临债务融资伴随的潜在违约成本;所以此时的最优筹资模式是尽量多地发行货币,并可能超出其投资项目的支出数额。在 μ > λ 的情形下,靠发行货币融资会带来稀释成本,债务融资则面临潜在违约成本;此时该国的严格最优选择将是尽可能多地发行无违约风险的外币债务,其数额为 D L = θ L ϕ Ω。然后,该国将根据稀释成本与违约成本的大小来权衡是发行货币还是有风险的外币债务来继续融资。于是在此情形下,该国的融资方式将有一个优先次序,首先选择安全的债务,然后是有风险的债务或者货币。
    
     [1]
    
    在我们2018年的论文中,我们指出发行货币比债务融资更可取的条件可表述为:
     。
    。