



考虑下面线性时不变连续系统,系统的传感器与控制器通过无噪声信道连接。
式中,
x
(
t
)∈R
n
和
u
c
(
t
)∈R
m
分别是系统状态和输入,
H
和
W
是适当维数的系统矩阵。首先系统状态
x
(
t
)以采样周期
T
被采样,采样值为
x
(
k
)=
x
(
kT
),
k
=0,1,2,3,…,然后采样值被编码,通过网络传输后,解码为
。控制器接收到
后产生控制量
,由于网络时延,因此作用到系统的实际控制量为
u
c
(
t
),其中,
K
为状态反馈增益矩阵。
u
c
(
t
)与
u
(
k
)的关系为
这里 τ ( k )是传感器到控制器的网络时延。不失一般性,假设初始状态是有界的,不确定参数 τ ( k )也是有界的,并且满足
式中,
为上界,
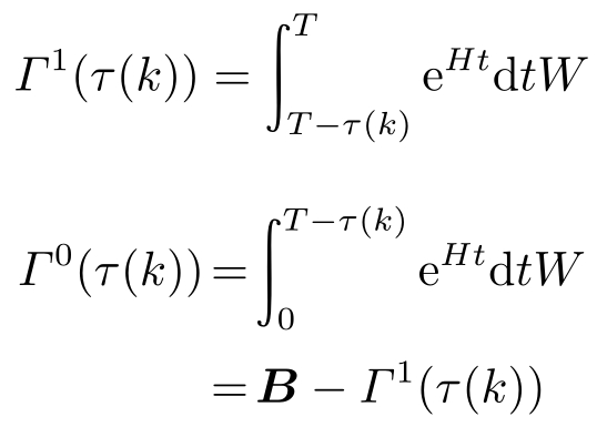
为下界。系统式(5-1)被离散化为下面的系统
这里 A =e Ht ,
其中
应用状态反馈控制器
闭环系统为
其中,
,量化误差
e
(
k
)由编码/解码过程产生。
位于传感器和控制器之间的信道是无噪声信道,可以在每个采样周期内传送一个码字,用 V ( k )∈ Σ 表示,其中 Σ 表示码字集合(码书)。这样在每个采样周期内,信道可无误差地传送 R =log| Σ |位信息,这里| Σ |表示集合的势。我们考虑具有有限码率信道的网络诱导时延系统的渐进稳定问题。
问题5.1 给定系统矩阵 H 、 W 和初始状态的界,设计球极坐标编码器{ E k ,k ≥0}[见式(5-7)],球极坐标解码器{D k ,k ≥0}[见式(5-8)],并求信道码率 R =log| Σ |和状态反馈矩阵 K 使得闭环网络时延控制系统式(5-6)渐进稳定。