



1.编码
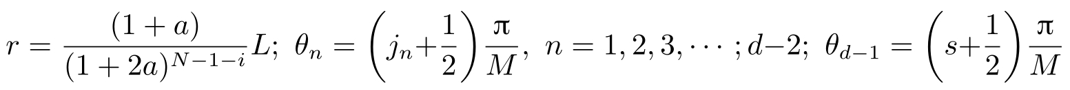
在 k 时刻,根据所收到的确认信号 S Ack ( k -1)和系统的演化行为[见式(4-9)],编码器 E k 更新量化器( L k ,N,a,M )的参数 L k 。它为支撑球 Λ k 中的2( N -1) M d -1 +1量化块编号,将 x ( k )编码为 V ( k ),即 x ( k )所在量化块的编号。位于几个量化块交界上的点按预定好的规则指定为其中一个量化块的编号。
2.解码
如果信道没有擦除发生,即
,解码器反馈给编码器确认信号
S
Ack
(
k
)=0。同时,如果
代表由(
i,j
1
,
j
2
,…,
j
d
-2
,
s
)索引的量化块,解码器将
指定为球极坐标
如果
代表量化块
S
1
(
k
),则令
。
如果信道有擦除发生,即
,解码器反馈给编码器确认信号
S
Ack
(
k
))=1,并且令
。
这样如果
代表量化块
S
1
(
k
)或在
k
时刻擦除发生,都有
。这种策略可以保证原点0∈R
d
是平衡点;见定理4.1的证明。