



本节将用球极坐标编码方案解决离散线性时不变系统的稳定性问题,给出球极坐标编码器/解码器的设计方法,并证明系统的渐进稳定性。
定义3.1 [11] 系统是渐进稳定的,如果存在编码器/解码器和控制器满足下列条件:
(1)稳定性:对于任意 ε >0,存在 δ ( ε ),使得当|| x 0 || 2 ≤ δ ( ε )时,|| x t || 2 ≤ ε ,∀ t ≥0。
(2)一致吸引性:对于任意 ε >0, δ >0,存在 T ( ε,δ ),使得当|| x 0 || 2 ≤ δ 时,|| x t || 2 ≤ ε ,∀ t ≥ T 。
为获得主要结果,我们给出下面引理。
引理3.1 如果 R ∈R d × d 满足 ρ ( R )<1,则存在可逆矩阵 P ∈R d × d 使得
δ ( P RP -1 )<1
其中, ρ ( R ):=max{| λ |: λ ∈C是 R 的特征值}, δ ( R )表示矩阵 R 的最大奇异值。
证明:
由
ρ
(
R
)<1,即
R
稳定,一定存在一个正定对称矩阵
使得
令
。矩阵
的对称正定性保证可逆矩阵
P
的存在性。由式(3-3),有
分别用 P -T 和它的转置左乘和右乘式(3-4),可得到
P -T R T P T P RP -1 < I
这表明
δ ( P RP -1 )<1
下面我们给出控制器和编码器/解码器的设计方法。
第一步:求 K 和 P ,使得
解的存在性由引理3.1和( A , B )的可控性保证。
第二步:求( a,M,N ),满足下面的不等式
式中,实数 a >0,正整数 M ≥2, N ≥2。解的存在性是显然的。取码书 Σ 使得| Σ |=2( N -1) M d -1 +1,令码率
第三步:令
满足
由式(3-6),定义
构造码书为 Σ 的量化器( L t ,N,a,M )、编码映射 q t 和解码映射 h t , t =0,1,2,…。
第四步:定义 t 时刻的编码器为
t 时刻的解码器为
定理3.1 如果( A , B )是可控的,则由式(3-5)、式(3-7)、式(3-12)和式(3-13)定义的四元组( K,R ,{E t ,t ≥0},{D t ,t ≥0})可使系统渐进稳定。
证明: 令
Y t = P -1 X t
则闭环系统等价于
由式(3-12)和式(3-13)可得
E t ( P Y t )= q t ( P -1 ( P Y t ))
= q t ( Y t )
和
P -1 D t ( σ t )= P -1 ( P h t ( σ t ))
= h t ( σ t )
所以式(3-14)变为
下面只需要证明系统式(3-15)是渐进稳定的。由式(3-2)和式(3-10),可得到
证明可分成以下三部分。
(1)原点0∈R d 是平衡点。
令 Y 0 =0,由式(3-15)有
Y 1 =( P -1 AP )0+( P -1 BKP ) h 0 ( q 0 (0))
=( P -1 BKP ) h 0 ( q 0 (0))
由于 σ 0 = q 0 (0)代表量化器( L 0 , N,a,M )的量化块
因此由定义2.3有 h 0 ( q 0 (0))=0,这样 Y 1 =0。继续这一过程,则 Y t =0, t =1,2,3,…。
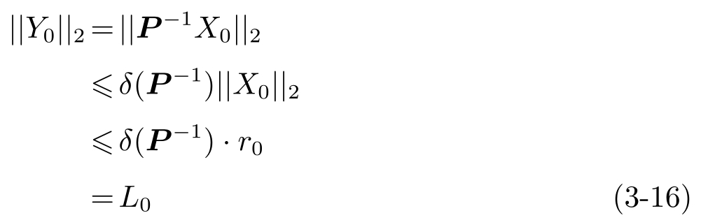
(2)对初始值 Y 0 ,系统轨迹一致收敛到原点。只要证明
t =0,1,2,3,…。由式(3-9)和式(3-11),这蕴含结论成立。用数学归纳法来证明。首先,当 t =0时,式(3-16)蕴含式(3-17)。其次,假设式(3-17)成立,需要证明
如果
,那么由定理2.1有
所以由式(3-15)有
另外,如果
,则由式(3-15)、定义2.2和定义2.3,有
结合式(3-8)、式(3-19)和式(3-20),可得式(3-18)。
(3)平衡点0∈R d 是稳定的。
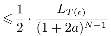
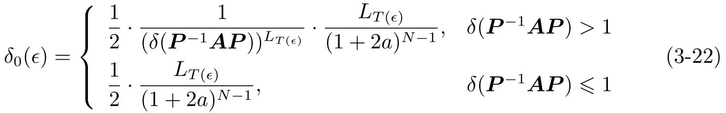
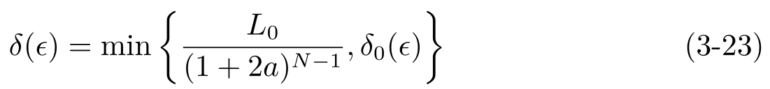
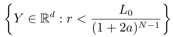
任给一实数 ϵ >0,由式(3-9)和式(3-11),取正整数 T ( ϵ )使得
设定
取
令
需要证明
首先,对 t =0,式(3-25)显然成立,容易看出反馈控制项
h t ( q t ( Y t ))=0 ,t =0, 1, 2,… ,T ( ϵ )-1
所以有
Y t +1 =( P -1 AP ) t +1 Y 0
再由式(3-21)~式(3-24),进一步有
|| Y t +1 || 2 ≤( δ ( P -1 AP )) t +1 || Y 0 || 2
这表明
|| Y t +1 || 2 < ϵ,t =0,1,2,… ,T ( ϵ )-1
和
最后,式(3-21)和式(3-26)表明
|| Y t +1 || 2 < ϵ,t = T ( ϵ ) ,T ( ϵ )+1 ,T ( ϵ )+2 ,T ( ϵ )+3,…
这样就完成了证明。
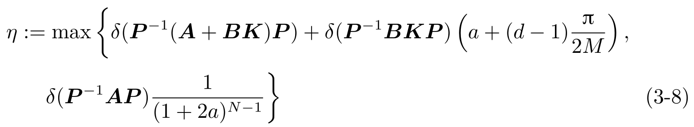
注解3.1 由于编码方案的设计可保证系统状态|| Y t || 2 < L t , t =1,2,3,…,又由式(3-9)和式(3-11)知, L t 可收敛到0,所以系统状态一定趋于原点。这样在式(3-11)中, η 刻画了系统的收敛速率, η 中的变量 M 、 N 、 a (量化器参数)决定信道码率,如式(3-8)和式(3-7)所示。当 M 、 N 取大数值(对应大码率)时,系统的收敛速率变快,反之则变慢,从而式(3-9)体现了系统通信性能与控制性能之间的折中关系。
注解3.2 本章的工作和已有关于动态量化研究的文献不同。在文献[26]中,采用均匀量化器并使用Lyapunov函数方法分析系统的稳定性;在文献[20]中,均匀量化器采用三种工作模式(Zoom-out、Zoom-in/Measurement、Zoom-in/Escape Detection)获得输入—状态稳定。这些量化器没有具体参数化,因此它们不能给出收敛速率与信道码率的约束关系。本章中,基于球极坐标系的量化器是一种参数化的量化器,明确地给出了收敛速率 η 与信道码率 R 的约束关系,该约束关系体现了系统控制性能与通信性能之间的折中。
给定矩阵( A , B ),定义下面三个集合
定理3.2 如果( A , B )是可控的,则下列结论成立:
(1)集合 K 、 L 和 M 非空;
(2) K ={ K :存在 P 使得( K , P )∈ L };
(3) M ={( KP P T , P P T ):( K , P )∈ L }.
证明: (1)由于( A , B )是可控的,由极点配置定理(见文献[85])可得,K是非空的。这样由结论(2)和结论(3)可得,L和M是非空的。
(2)由引理3.1可得
K ⊆{ K :∃ P , ( K , P )∈ L }
反之,由于
δ ( P -1 ( A + B K ) P )≥ ρ ( P -1 ( A + B K ) P )
和
ρ ( P -1 ( A + BK ) P )= ρ ( A + BK )
有
K ⊇{ K :∃ P , ( K , P )∈ L }
(3)这可由下面的等价关系得到:
关于( W , Q )的线性矩阵不等式
有可靠的数值解法,因此定理3.2实际上给出第一步中的不等式(3-5)的解法。对于 Q >0, Q -1 也有可靠的数值解法,这样所给的设计方法是数值可行的。
注解3.3 Liberzon在文献[26]中指出,只要线性系统是能控的,就可以采用Lyapunov函数方法设计均匀量化器保证系统稳定。而定理3.2表明球极坐标量化器的存在性不依赖控制器的选择,即只要系统能控,则一定存在球极坐标量化器使得系统稳定。因此,采用球极坐标量化器和采用Lyapunov函数方法设计的均匀量化器在保证系统稳定性方面是等价的。也就是说,如果采用球极坐标量化器使系统稳定,则一定可以采用Lyapunov函数方法设计均匀量化器使系统稳定,反之亦然。