



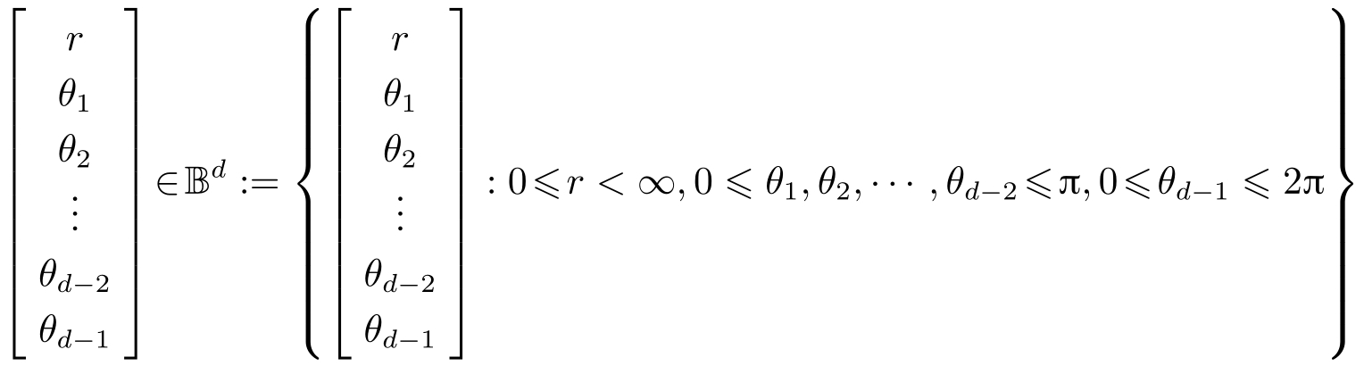
对于笛卡儿坐标系中的向量 X =[ x 1 x 2 … x d -1 x d ] T ∈R d ,利用坐标变换
 
   和
 
   可以将其转换为球极坐标表达形式:
 
   我们先给出球极坐标量化器的抽象定义,然后给出具体解释。
定义2.1 球极坐标量化器是一个四元组( L,N,a,M ),其中,实数 L >0表示支撑球的半径,正整数 N ≥2表示比例同心球的数目,实数 a >0表示比例系数,正整数 M ≥2表示将角弧度π平均分割的数目。量化器按如下方法将支撑球
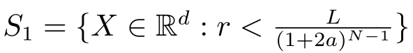
Λ ={ X ∈R d : r<L }
分割为2( N -1) M d -1 +1个小的量化块。
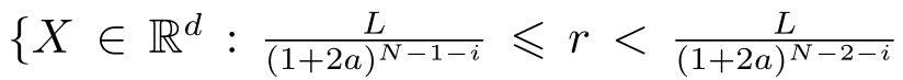
    (1)量化块集合
     ,
    ,
     ,
    
     k
    
    =1,2,…,
    
     d
    
    -2,
    ,
    
     k
    
    =1,2,…,
    
     d
    
    -2,
     ,由(
    
     i
    
    ,
    ,由(
    
     i
    
    ,
     ,
    ,
     ,…,
    ,…,
     ,
    
     s
    
    )索引,其中,
    
     i
    
    =0,1,2,…,
    
     N
    
    -2;
    
     j
     
      k
     
    
    =0,1,2,…,
    
     M
    
    -1;
    
     k
    
    =1,2,3,…,
    
     d
    
    -2。
    
     s
    
    =0,1,2,…,2
    
     M
    
    -1。量化块的数目为(
    
     N
    
    -1)·
    
     M
     
      d
     
    
    
     -2
    
    ·2
    
     M
    
    =2(
    
     N
    
    -1)
    
     M
     
      d
     
    
    
     -1
    
    。
    ,
    
     s
    
    )索引,其中,
    
     i
    
    =0,1,2,…,
    
     N
    
    -2;
    
     j
     
      k
     
    
    =0,1,2,…,
    
     M
    
    -1;
    
     k
    
    =1,2,3,…,
    
     d
    
    -2。
    
     s
    
    =0,1,2,…,2
    
     M
    
    -1。量化块的数目为(
    
     N
    
    -1)·
    
     M
     
      d
     
    
    
     -2
    
    ·2
    
     M
    
    =2(
    
     N
    
    -1)
    
     M
     
      d
     
    
    
     -1
    
    。
   
    (2)量化块
     。
    。
   
图2-3所示为二维球极坐标量化器。
 
    图2-3 二维球极坐标量化器
我们现在解释定义2.1的分割方法,对支撑球 Λ ={ X ∈R d : r<L }按下面步骤分割成2( N -1) M d -1 +1个小的量化块:
(1)先沿半径方向按比例分割支撑球。用 N 个同心球面 S i ( i =1,2,3,…, N ),沿半径 r 方向分割支撑球,同心球面 S i 的半径 r i 满足 r i / r i -1 =1+2 a ,即同心球半径成比例。最大球 S N 的半径 r N = L 。
(2)再沿 d -1个角度方向均匀分割支撑球。将角弧度π分割成 M 等份,将角弧度2π分割成2 M 等份。
    (3)最里面包含原点的球
     不再分割。
    不再分割。
   
注意到0≤ θ 1 , θ 2 ,…, θ d -2 ≤π,0≤ θ d -1 ≤2π,这样支撑球 Λ 被分割成2( N -1) M d -1 +1个量化块。球极坐标量化器的参数 a 、 M 和 N 决定系统所需的信道码率,并影响系统稳定性。如何确定这些参数将在以后章节中具体介绍。
为获得球极坐标量化器的一个重要性质,下面我们定义编码映射和解码映射。对于量化器( L,N,a,M ), Σ 表示一个元素为2( N -1) M d -1 +1的集合,每个元素代表一个量化块。 Σ 也被称为码书。
定义2.2 映射
     取
    取
   
     所在的量化块
    
     σ
    所在的量化块
    
     σ
    
   
称为编码映射。对位于量化块边界上的点 X ,可按约定好的规则将其映射为码书 Σ 中的一个元素。
定义2.3 满足下面条件的映射
 
   称为解码映射。
如果 σ 表示索引为( i,j 1 , j 2 , j 3 ,…, j d -2 , s )的量化块,其中, i =0,1,2,…, N -2; j k =0,1,2,…, M -1; k =1,2,3,…, d -2; s =0,1,2,…,2 M -1,则 h 将 σ 映射为 X , X 的球极坐标为
 
   
    如果
    
     σ
    
    表示量化块
     ,则
    
     h
    
    将
    
     σ
    
    映射为0∈R
    
     
      d
     
    
    。
    ,则
    
     h
    
    将
    
     σ
    
    映射为0∈R
    
     
      d
     
    
    。