



导航卫星的测距定位属于无线电测距范畴,它以无线电波为信息载体。无线电测距系统一般都以测定发射源到接收处电磁波行进的时间为测量量。导航卫星发射的伪随机码信号被终端接收机接收,接收机复制卫星发射信号,将该信号与接收信号进行相关同步处理,就可直接得到信号从卫星到接收机的时间延迟 τ 。 τ 是卫星导航定位的基本测量量,即时间差, τ =δ t 。卫星导航伪距测量的基本原理如图1-1所示。
用户接收机和卫星之间距离为
R =δ t × c
(1-1)
式中, c =3×10 8 m/s,为电磁波的行进速度。
图1-1 卫星导航伪距测量的基本原理
在此测量体系中,时间基准与同步是其关键问题,直接关系到测量精度。在讨论定位之前,我们首先讨论时间基准与同步以及空间坐标系转换问题。
在GNSS卫星定位中,时间系统具有重要意义,卫星以每秒几千米的速度运动,对观测者而言卫星位置和速度都在不断地迅速变化。在卫星测量中,例如,在跟踪站对卫星定轨时,在给出卫星位置的同时,必须对应瞬时时刻。要准确测定距离,就必须精确测定信号的传播时间,如果要求距离误差小于1 cm,则信号传播时间的测量误差必须小于0.03 ns。时间系统与坐标系统一样,应有其尺度(时间单位)和原点(历元),只有把尺度和原点统一起来才能给出时刻的概念。
GPS中卫星钟和接收机钟均采用稳定而连续的GPS时间系统。GPS是测时测距系统,时间在GPS测量中是一个基本观测量。GPS时间系统采用国际原子时(TAI)秒长作为时间基准,时间起算原点定义为1980年1月6日协调世界时(UTC)零时,启动后不跳秒,保持时间的连续,卫星播发的钟差是相对于GPS时间系统的钟差。
北斗导航系统的系统时间叫作北斗时(BDT),属于国际单位制(SI),秒为基本单位连续累计,不闰秒,起始秒为2006年1月1日协调世界时(UTC)00时00分00秒。每个卫星系统采用自己的时间系统,当多星座一起应用时需要进行时间同步,通过卫星广播导航电文来获得各卫星系统的卫星时、系统时及其与UTC的时差。北斗时(BDT)与GPS时(GPST)和Galileo时(GST)的互操作在北斗设计时间系统时已经考虑,其时差将会被检测和播报。
时间系统大致分两类:①以地球自转周期作为基准的协调世界时(UTC)系统;②以物质内部原子运动作为基准的国际原子时(TAI)系统。
UTC是一种时间标准,GPST与UTC和TAI之间的关系如下:
UTC-GPST=-15 s+Δ t UTC-GPS
TAI-GPST=19 s+Δ t UTC-GPS
(1-2)
Δ t UTC-GPS 被定义为GPST与UTC之间的小数秒差异。在GPS播发的导航电文中含有GPST和UTC之间的小数秒差和闰秒差。
GLONASS时(GLST)属于UTC系统,GLST与俄罗斯维持的协调世界时UTC(SU)存在连续差3 h。GLST、UTC和TAI的关系为
UTC-GLST=-3h+Δ t UTC-GLST
TAI-GLST=34 s+Δ t UTC-GLST
(1-3)
BDT与UTC和TAI的差异:
UTC-BDT=-1 s+Δ t UTC-BDT
TAI-BDT=33 s+Δ t UTC-BDT
(1-4)
三种时间定义各不相同,在采用多星、多模定位时,必须通过相互间转换使三个系统基准时保持统一和同步。
所谓定位,一定是在某个坐标系下定义的位置坐标。坐标系及其原点选择不同,会出现不同的位置数据。假设接收终端固定于地球表面,其空间位置随地球自转而运动;而观测目标(导航星)总是围绕地球质心旋转,与地球自转无关。在讨论定位时需要建立卫星在其轨道上的运动坐标,寻求卫星运动坐标系与地面点所在坐标系之间的关系,通过坐标系间的转换获得定位信息。在GNSS定位中涉及的主要空间坐标系如下。
(1)GPS采用的WGS-84大地坐标系
该坐标系的原点在地球质心, z 轴指向按BIH1984.0定义的协议地球极(CTP)方向, x 轴指向BIH1984.0的零子午面和CTP赤道的交点, y 轴与 z 轴和 x 轴构成右螺旋坐标系。
(2)BDS采用的CGCS2000坐标系
CGCS2000是2000中国大地坐标系,是全球地心坐标系在我国的具体体现。北斗导航系统采用2000中国大地坐标系作为参考坐标系。实际上,CGCS2000框架与ITRF97在2000.0参考历元是一致的,经计算,其一致性差异约为5cm,在大多数应用中可忽略不计。
(3)ITRF坐标框架
ITRF(International Terrestrial Reference Frame,国际地球参考框架)是一个地心参考框架,实质上它也是一个地固坐标系,其原点在地球体系的质心,以WGS-84椭球为参考椭球,为高精度GPS定位测量提供了一个较好的参考系,目前IGS精密星历都是在ITRF框架下提供的。
在同一历元下,CGCS2000和WGS-84坐标系,在实现精度范围内的坐标是一致的。
(4)坐标转换
坐标间转换总可以分解成平移(Δ x ,Δ y ,Δ z )和欧拉角旋转( ε x , ε y , ε z 。)利用空间几何关系,依次处理即可。例如,可将GPS点的WGS-84坐标转换为地面网的坐标。
WGS-84和ITRF属于协议地球坐标系,地面监测站位置与GPS卫星精密星历一般都以协议地球坐标系表示。
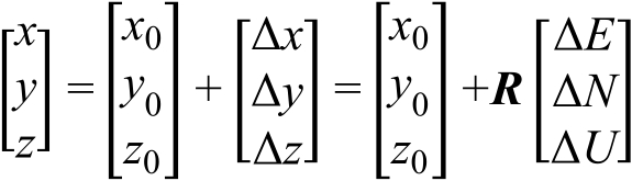
假设站心地平坐标系原点在地固坐标系中的坐标为( x 0 , y 0 , z 0 ) T ,在大地坐标系中的坐标(经、纬、高)为( λ 0 , φ 0 , h 。)某测点的站心地平坐标系坐标(东、北、高)为(Δ E ,Δ N ,Δ U ) T ,该点的站心直角坐标系坐标为(Δ x ,Δ y ,Δ z ) T ,该点的地固坐标系坐标为( x , y , z ),它们之间关系如下:
(1-5)
(1-6)
由于WGS-84(GPS)、PZ-90(GLONASS)、GTRF(Galileo)、CGCS2000(BD)为不同的空间坐标体系,在进行空间定位处理时,必须首先进行坐标系间的转换,在统一的坐标系下,才可讨论空间点位坐标。
GPS卫星导航电文是一种由不归零的二进制码组成的编码脉冲串,导航电文又叫数据码 D ( t ),包括卫星星历、时钟改正、电离层延迟改正、工作状态信息及C/A码转换为捕获P码的信息等,这些信息以二进制码的形式,按规定格式组成,以50 bps(比特每秒)速率按帧向外发布,这是导航卫星需要传输的信息。
GPS卫星信号是GPS卫星向用户发送的用于导航定位的调制波,它是利用伪随机噪声码传送导航电文的调相信号。为了将导航电文的数据码从卫星传至用户,该数据码为适应数字信道传输和无线信道传输,不仅采用了L波段载波,而且采用了扩频技术。所谓扩频,就是将原来打算发送的几十比特每秒速率的电文变换成发射几兆甚至几十兆比特每秒速率的由电文和伪随机噪声码(扩频码)组成的组合码。GPS信号的一级调制波是卫星导航电文和伪随机噪声码(PRN)的组合码。扩频技术能够把低码率的导航电文发给用户,其方法是:用很低码速率的数据码,调制一个被叫作C/A码和P码的伪随机码,其频率分别高达1.023 MHz和10.23 MHz。D码分别调制C/A码和P码的结果便形成了组合码—C/AD和PD,这使D码信号的频带宽度从50 Hz扩展到1.023 MHz和10.23 MHz。GPS卫星从原来发送50 bps的D码扩展到发送10230 bps的D组合码C/AD和102300 bps的PD。采用D码调制伪随机噪声码之后,再用其组合码去调制L波段载波,实现D码的第二级调制,形成向用户发送的已调载波,如图1-2所示。在该图中,D码首先同伪噪声码C/A码和P码模二相加后,形成组合码C/AD和PD,然后通过二相相移键控(BPSK)调制到L1载波上。同样,L2的调制过程与L1大致相同,L2载波可以用C/AD码、PD码或P码来调制。最后,卫星向地面发射这两种已调载波L1和L2信息。该信号包含有载波[L1(1575.42 MHz)、L2(1227.6 MHz)、L5(1176.0 MHz)]、测距码(C/A码、P码、M码)和数据码(D码,基带信号或导航电文)。时钟基本频率为10.23 MHz,卫星发射的所有信号分量都是由同一基本频率(10.23 MHz)倍频或分频得到的。GPS卫星测距码和数据码采用调相技术调制到载波上。图1.2展示了GPS卫星L1/L2信号的产生与构成。GPS要传送的就是导航电文,即D码,其码率为50 bps。在发送前将D码与C/A码模二相加为扩频高速数据序列,然后将扩频后的信号通过载波调制到载波频率上,最常用的调制方式为二相相移键控调制,即BPSK方式。GPS信号的频率关系如表1-1所示。
图1-2 GPS卫星L1/L2信号的产生与构成
表1-1 GPS信号的频率关系
GPS卫星测距码信号包括C/A码和P码,它们都是二进制伪随机噪声序列,具有特殊的统计特性。香农(Shannon)在研究编码定理时提出:采用白噪声的统计特性的信号可实现最有效通信。另外,为了实现高可靠的保密通信,也希望利用随机噪声。高斯白噪声是一种随机过程,它的瞬时值服从正态分布,功率谱在无限宽的频带内都是均匀的,而且白噪声的自相关函数曲线具有类似冲激函数的形状。不同白噪声之间相互独立,互相关函数≈0。理论上,采用随机序列去扩展信号频谱是最理想的。
BD-Ⅱ卫星两类导航信号的调制流程如图1-3所示。图中,MEO为中圆轨道卫星,IGSO为倾斜地球同步轨道卫星,GEO为地球同步静止轨道卫星。该图中MEO/IGSO卫星增加了纽曼-霍夫曼(NH)码调制,这有助于改善其自相关和互相关特性,在数据比特同步上增加其稳定性(鲁棒性),因此BD-Ⅱ卫星B1-I和B2-I信号都由导航数据(数据码)进行调制。对于给定卫星,相同数据在两个频率上发送;但对于不同类型的卫星,采用不同的格式、不同的速率发送数据。D1信号是BD-Ⅱ-MEO/IGSO卫星发布的导航广播信息,该信号的发送速率(对应20 ms数据码长)为50 bps,这与GPS-L1 C/A码信号具有相同的格式和速率,为公共服务提供导航电文。D2信号是GEO卫星发送的高速率信息,以10倍码速率500 bps发送(数据比特长度为2 ms),包含附加增强服务信息。BD-Ⅱ导航信号相关特性如表1-2所示,其码片速率为 BPSK( n )= n ×1.023 Mcps(兆码片每秒)。
图1-3 BD-Ⅱ卫星两类导航信号的调制流程
表1-2 BD-Ⅱ导航信号相关特性