



在多星并存和共享的GNSS时代,为了充分利用星基资源,终端接收天线的频段应与发射端信号频段对应。GNSS的频谱配置如图2-1所示,该图展示了四大全球卫星导航系统卫星的频谱分布,图中GPS为美国的卫星导航系统,GLONASS为俄罗斯的卫星导航系统,Galileo为欧洲的卫星导航系统,BEIDOU为中国的卫星导航系统。RNSS代表卫星无线电导航服务,ARNS代表航空无线电导航服务。
工作频率和带宽是指天线工作的频率和频带范围,一般可以用下列公式表示:
 
    (2-14)
式中, f 0 是天线中心频率; f u 是工作频带的频率上限; f d 是工作频带的频率下限。
 
    图2-1 GNSS的频谱配置
在天线规定的工作带宽内,天线各项性能指标均应满足预定的要求。在不特指的情况下,通常将满足天线增益方向图、极化和阻抗等性能要求的频率范围称为天线的带宽。天线的带宽要足够宽,使天线的工作频带能够满足系统的频带要求。但从抑制干扰和EMC设计出发,带宽并不是越宽越好,在满足工作频带的前提下,不希望带宽有大的余量。
天线辐射(或接收)电磁能量的空间选择性称为天线的方向性,它是相对辐射场强的空间角分布函数。辐射方向图是天线辐射场强(或功率)与空间坐标关系的一种图形表述形式。各向同性辐射天线是指在所有方向的辐射都相同的一种理想天线,点源是这种辐射器的一个例子。定向天线是指不同方向辐射或接收电磁波的能力各不相同,在某一规定角域内(或某一方向上)辐射或接收电磁波的能量最大。大多数辐射方向图是在远场区确定的,表示为方向坐标的函数。辐射特性包括辐射强度、场强、相位和极化等。天线辐射方向图一般是三维空间曲面图形,如图2-2(a)所示。对于旋转对称定向辐射天线,工程上常用两个相互正交的剖面来描述其方向性,一般称电场矢量与传播方向构成的平面为E面方向图,称磁场矢量与传播方向构成的平面为H面方向图,如图2-2(b)所示。
天线远区辐射场矢量是空间角度的函数,可以表示如下:
 
    (2-15)
    式中,
    
     E
     
      θ
     
    
    和
    
     E
     
      φ
     
    
    分别为辐射场的
    
     θ
    
    分量和
    
     φ
    
    分量,
     和
    和
     是该场的单位矢量,它们是空间角坐标的函数,是一个复函数,可以表示如下:
    是该场的单位矢量,它们是空间角坐标的函数,是一个复函数,可以表示如下:
   
 
    (2-16)
 
    图2-2 天线辐射方向图
式中, i 代表某一个场分量;| E i ( θ , φ )|代表辐射场某分量的幅值; φ i ( θ , φ )代表其相位。将| E i ( θ , φ )|和 φ i ( θ , φ )用图形表示出来就是该天线的某一场分量的幅值与相位方向图,一般应为空间立体图。在实际中,应用最多的是天线在某一平面的辐射方向图,它可用直角坐标表示,其中横坐标为空间角,纵坐标为电场(或功率)幅值(或相位);也可用极坐标表示,即在圆面上,极角代表空间角度,在0~360°范围内对应的半径长度代表场的幅值或相位值。一般在工程应用中,常将幅值方向图用最大值归一的分贝(dB)数表示,被称为归一化幅值方向图,有
 
    (2-17)
式中, i 代表某一场分量。辐射方向图的典型参数如下:
①3 dB波束宽度:以主辐射瓣中的最大值进行归一化,其电平下降为-3 dB 的角域。
②10 dB波束宽度:以主波束中的最大值为准,电平下降至-10 dB的角域。
③边瓣电平:SLL=20 lg|(边瓣最大值/主波束最大值)|(dB)。
④前后比:指最大辐射(或接收)方向的辐射强度与反方向最大辐射强度之比,通常用 F/B 表示, F/B =20 lg(前区场强最大值/后区场强最大值)(dB)。
天线方向性系数是用数字表示天线辐射能量在空间集中程度的量度,在相同辐射功率条件下,天线在最大辐射方向的辐射强度与平均辐射强度之比被定义为天线方向性系数。辐射能量越集中,天线方向性系数就越大。对各向同性均匀辐射天线来说,其方向性系数一般规定为1。以各向同性源为参考天线,则天线的方向性系数 D 0 可表示如下:
 
    (2-18)
    式中,
     ;
    
     η
    
    为自由空间波阻抗;
    
     F
    
    (
    
     θ
    
    ,
    
     φ
    
    )是天线的功率方向图,也就是天线辐射的平均功率密度;
    
     Ω
    
    
     A
    
    是天线波束立体角。对于主瓣较窄、副瓣可以忽略的笔形定向波束,可用方向图任意两个正交平面的半功率波瓣宽度表示其方向性系数,有以下近似公式:
    ;
    
     η
    
    为自由空间波阻抗;
    
     F
    
    (
    
     θ
    
    ,
    
     φ
    
    )是天线的功率方向图,也就是天线辐射的平均功率密度;
    
     Ω
    
    
     A
    
    是天线波束立体角。对于主瓣较窄、副瓣可以忽略的笔形定向波束,可用方向图任意两个正交平面的半功率波瓣宽度表示其方向性系数,有以下近似公式:
   
 
    (2-19)
式中, θ 1r 和 θ 2r 分别为波束的二正交平面的3 dB波瓣宽度,其中“1r”和“2r”分别代表天线辐射的E面和H面。
对于平面阵列典型的方向性系数有以下经验公式:
 
    (2-20)
也可使用下式近似:
 
    (2-21)
例1:某天线二主面(E面和H面)的半功率瓣宽分别为24°和36°的笔形波束,估计其方向性系数:
D 0 =41253/(24×36)=47.75(或16.8 dB)
(2-22)
 
    (2-23)
其中,式(2-22)是经验公式,式(2-23)是理论公式。
例2:有一个心脏形方向图的半球波束天线,归一化的功率方向图为cos 2 N ( θ /2),场强方向图为 E =cos N ( θ /2),方向图的最大值在 θ =0°处,在反向 θ =180°处为波束零点。这样的方向性系数可以精确计算。
    这类波束特定电平
    
     L
    
    
     v1
    
    (dB)的波瓣宽
     与
    
     N
    
    和方向性系数
    
     D
    
    
     0
    
    有以下近似关系:
    与
    
     N
    
    和方向性系数
    
     D
    
    
     0
    
    有以下近似关系:
   
 
    
   D 0 =( N +1)
(2-24)
由上式,其半功率波束宽度HPBW与 N 和方向性系数 D 0 之间有以下近似关系:
θ ( L v1 (dB))=4arccos[10 -3(dB)/20 N ]
 
   D 0 =( N +1)
(2-25)
某天线归一化场强辐射方向图为(1+cos θ )/2=cos 2 ( θ /2),对应的 N =2,0≤ θ ≤π/2,按上式可计算出HPBW=131°。
D 0 ≈3=10lg3dB=4.77dBi
(2-26)
例3:蝶形方向图的方向性系数估计。除了半球波束,GNSS终端接收机天线有时还需要接收来自同步静止轨道卫星的信号,其最佳方向图应该是旋转对称的圆锥波束,有时又称其为蝶形方向图。
假设:GEO卫星轨道位置为70°E,移动终端位置从5°N到55°N,中心站(北京)地理坐标约为经度116°E,纬度 φ =40°N, δλ =116°-70°=46°。
中心站天线对星的仰角 E e 可计算如下:
 
    (2-27)
采用对数周期圆锥螺旋天线的2阶模( T 2 )、赋形反射面、波导喇叭高阶模、双圆锥喇叭、行波天线等天线可产生一个沿 z 轴为零或低电平且绕 z 轴旋转对称的蝶形方向图,这类波束的最大值偏离轴线,由于圆对称,对 φ 的积分等于2π,该天线功率密度函数近似为sin θ , 假设所有能量都集中于3 dB波瓣角域内,平均辐射功率密度如下:
 
    (2-28)
式中, θ 1 和 θ 2 为偏轴的3 dB瓣宽角度,则方向性系数为
 
    (2-29)
假设有一个旋转对称的圆锥波束,俯仰面内波束的半功率点在35°和75°处,按上式估计方向性系数:
 
    (2-30)
天线增益既表征了天线在某个特定方向上辐射能量的集中程度,又表征了该天线的能量转换效率。在将导行波转换成空间辐射场过程中,只有一部分能量被转换成辐射能量,其余部分能量在转换过程中消耗掉了。因此引入一个辐射效率因子 η ,这时天线增益可表示如下:
G ( θ , φ )= ηD ( θ , φ ), η 是≤1的正实数
(2-31)
用dB表示增益有:
G ( θ , φ )(dB)=10 lg D ( θ , φ )+10 lg η
(2-32)
天线总辐射功率 P total = P RHCP + P LHCP ,对于GNSS终端接收天线来说,其方向性一般指的是右旋圆极化方向性(dBic),对应增益可写成
 
    (2-33)
式中, D 0 ( θ 0 , φ 0 )为天线总的方向性系数, P RHCP 和 P total 分别为右旋圆极化功率和总辐射功率,有
 
    
   对于半球波束,在天顶处, θ 0 和 φ 0 取值为零。方向性系数不包含各种损耗,考虑到各种损耗之后,其可实现增益如下:
G ( θ 0 , φ 0 )= η ant ⋅ D ( θ 0 , φ 0 )
η ant = η i η f η p η r η d ⋅⋅⋅
(2-34)
式中, η i 、 η f 、 η p 、 η r 、 η d …分别表示阻抗失配损耗、馈电网络损耗、极化失配损耗、天线欧姆损耗、天线介质和表面波损耗等引起的各种效率因子,其中,i是impedance的首字母,f是feed的首字母,p是polarization的首字母,r是resistance首字母,d是dielectric的首字母。可实现增益将应用于星地信号链路计算和 C / N o 的估计。
总增益前后比:
 
    (2-35)
部分增益前后比:
 
    (2-36)
式中, G RCP (0)、 G LCP (0)、 G RCP (180)、 G LCP (180)分别代表右旋圆极化(RHCP)和左旋圆极化(LHCP)在零度方向(0°)和180度方向(180°)的部分增益; G co - p (0)和 G co - p (180)分别表示主极化零度方向(0°)和反向(180°)的主极化部分增益。
为了表征GNSS终端接收机天线的抗多径能力,一般应以总增益前后比来衡量,有时规定的后向并非仅180°方向,而是选定在后向一定角域内的最大后向电平,比如后向30°角域。
 
    (2-37)
接收天线的品质因数( Q )是接收天线增益( G A )与天线噪声温度( T A )之比,它是衡量接收天线性能的一项重要指标,有
Q = G A ⁄ T A (dB/K)
(2-38)
天线噪声温度( T A )不是天线的物理温度,它是天线噪声功率的表征,有
 
    (2-39)
式中, T B 为亮度温度,它表示辐射源辐射能量大小; T A 表示天线接收到的各类辐射源发射的亮度温度在天线端口形成的天线噪声温度。天线噪声温度随频率、天线指向、天线辐射方向图(旁瓣、后瓣电平)等变化,甚至与时间、季节等因素都有关系。天线接收的噪声功率来源于两个方面,一是天空噪声,二是由地面噪声源产生的噪声。天线噪声温度大致由以下几部分组成:
 
    (2-40)
式中, T SK 为宇宙噪声温度; T at 为大气噪声温度; L at 为大气吸收衰减(无单位); T SL 为天线旁瓣噪声温度。 T SL = T SL1 + T SL2 + T SL3 ,其中, T SL1 为进入旁瓣的地面噪声的等效温度, T SL2 为进入旁瓣的大气噪声的等效温度, T SL3 为进入旁瓣的太阳噪声的等效温度。 T A 直接影响接收机性能,甚至是限制接收机系统获得更高灵敏度的障碍。对于一般的无源天线,用一段馈线将天线与接收机相连,接收机系统等效噪声温度( T s )为
T s = T r + T a
(2-41)
式中, T s 为接收机系统等效噪声温度; T r 为接收机噪声温度; T a 为在接收机输入端处的天线噪声温度。假设馈线衰减系数为 α (Np),线长为 l , T 0 为环境温度(室温≈290K)。
T a = T A e -2 αl + T 0 (1- e -2 αl )
(2-42)
接收机入端噪声功率如下:
P s = k ( T a + T r )Δ f = kT s Δ f
(2-43)
式中, k =1.380622×10 23 J/K为玻尔兹曼常数;Δ f 为接收机工作带宽。 T s 为接收机入端处的系统噪声温度。如图2-3所示,天线噪声温度 T A 虽不是它的物理温度,但可用一个电阻噪声温度代之,这个电阻在此环境下产生的噪声温度与天线噪声温度相同。式中亮度温度 T B 代表了辐射噪声源对天线噪声温度的贡献,对于GNSS接收终端天线噪声温度大致可分为以下三部分。
①天空噪声温度:在GNSS-L频段,大约是10~20K。
②人为噪声温度:主要来自电机、变压器、开关电路等产生的噪声,在GNSS-L频段,大致为20~25 K。
③背景噪声温度:主要由邻近天线的地面物体,包括辐射热地面、建筑物、树林、汽车以及在天线附近的物体等产生的噪声温度,一般它相当于环境温度,约等于290K。
用在室外的GPS天线, T A ≈130 K;对于机载GPS天线,安装于舱外,直指天顶,其噪声温度大致为 T A ≈75~100 K;如果把天线安装于暗室内,室内温度为23°C,四周由吸波材料铺盖,这时天线的噪声温度可达到300 K。
 
    图2-3 天线噪声温度随频率及仰角的分布
极化与方向图和增益一样都是表征天线辐射的基本特征量。假设天线辐射为时谐场,电场矢量的大小随时间做正弦(余弦)变化,在均匀的各向同性媒质中,天线辐射场是一横电磁波(TEM),电场与磁场均在与传播方向垂直的平面内,彼此间有固定的右螺旋关系:
 
    (2-44)
研究天线电磁波极化通常以电场 E ( t , r )矢端运动轨迹来定义。假设天线辐射场为 E ( t , r ),在与波传播方向垂直面(极化平面)内,波的极化由电场矢端所描绘的轨迹定义,极化的空间表示如图2-4所示,左图为线极化,电场矢量限定在 yz 平面内;右图为圆极化,电场矢量在与传输方向垂直面内的投影轨迹为一个圆,而且电场矢量旋转方向符合右螺旋规则,为右旋圆极化。一般情况下,电场矢量的大小随方向角改变,其投影轨迹为椭圆,被称为椭圆极化。按规定,导航卫星发送导航信息的无线电波极化为右旋圆极化,终端接收天线的极化应与之一致才可能有最大接收值,即极化匹配。
 
    图2-4 极化的空间表示
对于理想的简谐电磁场而言,波的极化可有以下三种形式。
(1)线极化
电场矢量方向随时间始终在一直线方向上变化。在一个周期内,其矢端轨迹可用一条直线描绘的极化被称为线极化。 x 轴方向线极化波可表示如下:
 
    (2-45)
式中, ω 为简谐震荡的角频率, φ 为电场的初始相角( t =0)。
(2)椭圆极化
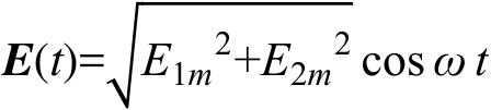
经过一周期,电场矢端在与传播方向垂直的平面(极化平面)的投影为椭圆的极化被称椭圆极化,其波被称为椭圆极化波。频率相同,传播方向一致,只是相位与振幅不等的二正交线极化波,其合成场在传播方向垂直平面内的电场矢端投影一般来说是一个椭圆;反之,空间任一个电场矢量总可以分成两个正交线极化分量,可表示如下:
 
    (2-46)
    式中,
    
     E
    
    
     1
     
      m
     
    
    和
    
     E
    
    
     2
     
      m
     
    
    分别为二正交场分量的幅值;
    
     δ
    
    为
    
     E
    
    
     2
    
    (t)超前
    
     E
    
    
     1
    
    (t)的相移量;
     分别代表二正交线极化的单位极化矢量。消除时间因子可得到合成场矢量扫描的轨迹:
    分别代表二正交线极化的单位极化矢量。消除时间因子可得到合成场矢量扫描的轨迹:
   
 
    (2-47)
    其中,当
    
     δ
    
    =
    
     n
    
    π,
    
     n
    
    =0,1…时,合成场矢量仍是线极化,只是极化方向与
     呈
    
     θ
    
    角,
    
     θ
    
    =arctan(±
    
     E
    
    
     2m
    
    /
    
     E
    
    
     1m
    
    )。“+”对应
    
     n
    
    为偶数,“-”对应
    
     n
    
    为奇数。此时,合成瞬时场可表示如下:
    呈
    
     θ
    
    角,
    
     θ
    
    =arctan(±
    
     E
    
    
     2m
    
    /
    
     E
    
    
     1m
    
    )。“+”对应
    
     n
    
    为偶数,“-”对应
    
     n
    
    为奇数。此时,合成瞬时场可表示如下:
   
 
    (2-48)
(3)圆极化
    当
    
     E
    
    
     1
     
      m
     
    
    =
    
     E
    
    
     2
     
      m
     
    
    ,
     ,
    
     m
    
    =0,±1,…时,或者令
    
     δ
    
    =±π/2时,合成场矢量是圆极化,对应场矢量
    ,
    
     m
    
    =0,±1,…时,或者令
    
     δ
    
    =±π/2时,合成场矢量是圆极化,对应场矢量
     。
    。
   
如果令 E x = E 1 (t)= E 0 cos ωt , E y = E 2 (t)= E 0 sin ωt ,则( E 1 ( t )) 2 +( E 2 ( t )) 2 = E 0 2 在与其传播方向垂直平面内轨迹为一个圆,合成场矢量 E ( t )= E 0 ,合成场矢量大小不变,场矢量方向随时间以角速度 ω 旋转,矢端轨迹为圆,故称为圆极化波,它是椭圆极化波的一种特例。
(1)单位极化矢量
    电磁波最普遍的极化是椭圆极化,圆极化和线极化仅是其特例。对椭圆极化,它有三种参数表示其特性,如果用极化平面电场的左旋和右旋圆极化单位极化矢量
     表示,有
    表示,有
   
 
    (2-49)
    式中,
     分别表示左旋和右旋圆极化波的单位极化矢量,
    
     E
    
    
     L
    
    和
    
     E
    
    
     R
    
    分别表示左旋和右旋圆极化波的电场强度。
    分别表示左旋和右旋圆极化波的单位极化矢量,
    
     E
    
    
     L
    
    和
    
     E
    
    
     R
    
    分别表示左旋和右旋圆极化波的电场强度。
   
如果空间任意场矢量用圆极化比表示,有:
 
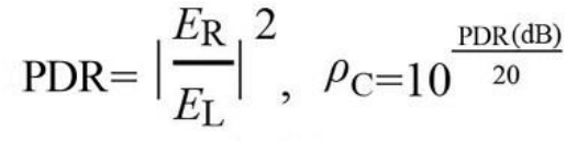
    (2-50)
式中, ρ C 为圆极化比,是一复常数。
    如果极化平面电场用
    
     θ
    
    和
    
     φ
    
    (或
    
     x
    
    和
    
     y
    
    )的线极化单位极化矢量
     (或
    (或
     线极化单位极化矢量)表示,有
    线极化单位极化矢量)表示,有
   
 
    (2-51)
 
    (2-52)
    式中,
     ,或者
    ,或者
     为线极化比,为一复常数。圆极化单位极化矢量与线极化单位极化矢量之间有以下关系:
    为线极化比,为一复常数。圆极化单位极化矢量与线极化单位极化矢量之间有以下关系:
   
 
    (2-53)
由式(2-53)可知,单位极化矢量之间具有正交归一性:
 
    (2-54)
(2)波的极化场分量
场矢量与单位极化矢量的复共轭点乘得到该场极化分量的场值。
 
    
    
    (2-55)
(3)极化轴比(AR)
极化椭圆及其倾角和圆极化分量表示如图2-5所示。
 
    图2-5 极化椭圆及其倾角和圆极化分量表示
AR=椭圆长轴/椭圆短轴=|( E L + E R )/( E L - E R )|,若用dB表示,有
AR(dB)=20 lg(AR),AR(dB)=20 lg( E max / E min )
(2-56)
式中, E max 和 E min 代表极化椭圆长轴和短轴。
(4)交叉极化比(CPR)与极化鉴别率(PDR)
假如我们使用圆极化,并令RHCP为主极化场,则极化鉴别率PDR如式(2-57)所示:
 
    
    (2-57)
式中, ρ c 为圆极化比, E R / E L 代表主极化(同极化)分量场强电平/交叉极化场强电平;AR表示轴比。假设采用圆极化并令RHCP为主极化场,则PDR如式(2-57)所示,PDR越高,说明天线极化纯度越高,交叉分量越小。
 
    (2-58)
由式(2-58)可知,当AR趋近1时,此波近似于理想圆极化;PDR越高,表明极化纯度越高,二信道的极化隔离越好,有利于极化复用。
(5)极化椭圆倾角
极化椭圆倾角( τ )被定义为极化椭圆长轴与水平 x 轴的夹角。
 
    (2-59)
式中, E 1 和 E 2 分别为极化椭圆的长轴和短轴; δ 为二正交极化分量间的相位差,它可以是二圆极化分量比的相角,也可以是二线极化分量的相位差。
E 1 = E R + E L , E 2 = E R - E L
E 1 = E θ cos τ + E φ sin τ , E 2 =- E θ sin τ + E φ cos τ
(2-60)
极化椭圆倾角在估计二椭圆极化天线的极化损失中有重要作用,当二极化椭圆的长、短轴平行时,对应的极化损失最小;当二极化椭圆长、短轴垂直正交时,有最大极化损失。
(6)极化旋向
根据IEEE 149:1979对极化旋向的定义,规定眼睛顺着电磁波的传播方向看去,电场矢量沿顺时针方向旋转定义为右旋,电场矢量逆时针方向旋转定义为左旋。另一种判断规则为“拇指定则”,即可用拇指指向波传播方向,当波的电场矢量旋转方向同右手其余四指时,定义为右旋;当波的电场矢量旋转方向同左手其余四指时,定义为左旋。
    假设波的场矢量的两个分量,
     ,波传播方向的单位矢量
    ,波传播方向的单位矢量
     。按坐标轴正方向表示电场分量,两个场矢量的相位,δ>0为相位超前,δ<0为相位滞后。极化旋向由相位超前场分量旋向相位滞后场分量,符合右手规则者为右旋,反之为左旋。例如,波场的球坐标分量为
    
     E
     
      θ
     
    
    和
    
     E
     
      φ
     
    
    ,如果
    
     E
     
      θ
     
    
    的相位超前
    
     E
     
      φ
     
    
    的相位,该波场极化为右旋极化;如果
    
     E
     
      θ
     
    
    的相位滞后
    
     E
     
      φ
     
    
    的相位,该波场极化为左旋极化。任意电场可表示为左旋和右旋场之和,有
    。按坐标轴正方向表示电场分量,两个场矢量的相位,δ>0为相位超前,δ<0为相位滞后。极化旋向由相位超前场分量旋向相位滞后场分量,符合右手规则者为右旋,反之为左旋。例如,波场的球坐标分量为
    
     E
     
      θ
     
    
    和
    
     E
     
      φ
     
    
    ,如果
    
     E
     
      θ
     
    
    的相位超前
    
     E
     
      φ
     
    
    的相位,该波场极化为右旋极化;如果
    
     E
     
      θ
     
    
    的相位滞后
    
     E
     
      φ
     
    
    的相位,该波场极化为左旋极化。任意电场可表示为左旋和右旋场之和,有
   
 
    (2-61)
(7)Ludwing极化定义
    对于天线辐射电场
    
     E
    
    (
    
     θ
    
    ,
    
     φ
    
    ),
     为
    
     E
    
    的参考极化分量,
    为
    
     E
    
    的参考极化分量,
     为
    
     E
    
    的交叉极化分量。在实际中,有时采用Ludwing极化定义更方便,其定义如表2-1所示。
    为
    
     E
    
    的交叉极化分量。在实际中,有时采用Ludwing极化定义更方便,其定义如表2-1所示。
   
表2-1 Ludwing极化定义
 
   天线的极化响应是表征天线对来波极化的接收转换程度。假设GNSS卫星以理想的右旋圆极化波到达用户接收终端,用户接收天线的极化波也是理想的右旋圆极化波,接收波将是无任何损耗的完全接收波,其极化效率=1。如果接收天线的极化是一个椭圆极化,或是旋向不一样,则在接收来波能量时就会出现损耗。极化效率是表征天线在接收电磁波时,在能量传递过程中因极化状态引起的能量损失的一种量度。假设功率密度为 S 的椭圆极化波,由( θ , φ )方向从远处传到接收天线处,当接收天线极化与来波方向极化匹配(即轴比和旋向相符,倾角异号)时,在接收天线端 P r = SA r ( θ , φ ), A r 为天线在( θ , φ )方向的有效接收面积;当接收天线极化与来波极化不完全匹配时,就会产生极化失配现象,降低接收功率,其减少系数 L 被称为极化效率,接收功率可表示如下:
P r = LSA r ( θ , φ ) 0≤ L≤ 1
(2-62)
当 L =1完全匹配时, P r = SA r ( θ , φ )完全接收;当 L =0完全失配时, P r =0,接收不到信号。一般椭圆极化波间的极化效率可表如下:
 
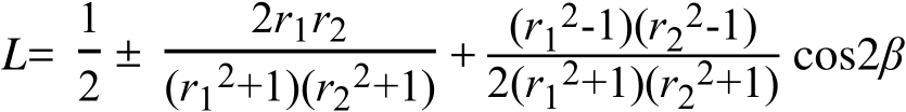
    (2-63)
    式中,
    
     r
    
    
     1
    
    和
    
     r
    
    
     2
    
    分别代表二椭圆波之轴比,
     ,
    
     i
    
    =1,2;
    
     β
    
    为二极化椭圆长轴间之夹角;“±”分别代表二椭圆波的旋向,同旋取“+”,反旋取“-”。各种情况下的极化效率按上式计算。将式(2-63)画成曲线,可得到如图2-6所示的极化失配损失曲线。在工程中,比如在进行信道电平估计时,可直接查曲线得知极化失配损失。
    ,
    
     i
    
    =1,2;
    
     β
    
    为二极化椭圆长轴间之夹角;“±”分别代表二椭圆波的旋向,同旋取“+”,反旋取“-”。各种情况下的极化效率按上式计算。将式(2-63)画成曲线,可得到如图2-6所示的极化失配损失曲线。在工程中,比如在进行信道电平估计时,可直接查曲线得知极化失配损失。
   
在图2-6中,横坐标为发射天线轴比,每一小格为1 dB,右边纵坐标为接收天线极化轴比,左边纵轴为极化效率。当两根天线的极化轴比、极化旋向已知时,就可估计其极化失配引起的电平损失了。我们可以看到,当两根天线为同旋时,使用上面两张图;当两根天线为反旋时,使用下面两张图。 β 代表二极化椭圆的长轴(或短轴)的夹角, β =0°和 β =90°分别代表二极化椭圆的长轴平行或垂直,代表两种极限情况,分别代表具有最小和最大极化损失的两种情况。两根极化旋向相同, β =0°的天线,极化失配引起的损失最小;两根极化旋向相反, β =90°的天线,极化失配引起的损失最大。
 
    图2-6 极化失配损失曲线
同样我们也可以用数字表列来估计接收信道的极化失配损失,极化失配损耗计算表列如图2-7所示,在该表列中,首先在对应列中找到发射天线轴比和接收天线轴比,第1行发射天线轴比与第3行接收天线轴比连成一条直线,该直线与第2条线之交点为最大极化损失。同样第5行发射天线轴比与第3行接收天线轴比相连,与第4条线的交点则是最小极化损失。
 
    图2-7 极化失配损耗计算表列
前面仅就简谐电磁场而论,这仅是一种特例。广义而论,电磁波一般分以下3种。
①完全极化波:为无噪声的单色简谐波,电场矢量运动描述出一个恒定的椭圆曲线。
②部分极化波:非单色简谐波,但有限带宽远小于载频,属于窄带信号。电场矢量运动变得复杂,但可近似看成一条形状和方向随时间缓慢变化的类似于椭圆的曲线,它包括随机量、时变量和噪声参数。
③非极化波:电场矢量各分量之间是完全不相关的电磁波。
上面已经提到,极化是指用一个场矢量来描述空间某一固定点矢量波(电场)随时间变化的特性。极化描述了电场矢量端点作为时间函数所形成的空间轨迹的形状和旋向。简谐波,又叫单色波是一种完全极化波,其电场矢量端点在传播空间任一点处描绘出一个具有恒定椭圆率和倾角的极化椭圆,该椭圆不随时间变化,它是非时变的。在实际中,一个辐射源产生的电磁波不可能是单色的,而是有一定带宽的电磁波,波场不再是时谐的,其电场矢量端点在传播空间任一给定点描绘出的轨迹不再是一个非时变的椭圆,而是一条形状和方向都随时间变化的类似于椭圆的曲线,人们把这样的波称为部分极化波。显然,完全极化波是部分极化波的特例。在实际应用中,以完全极化波和部分极化波居多,在宽带信号应用中,对部分极化波研究更有针对意义。
对于无线电传输的收发系统来说,无线极化状态对于接收效果起着关键的作用。比如,对于GNSS终端接收来讲,GNSS接收属于微弱信号接收,极化损失引起接收能量的损耗,直接影响接收灵敏度,同时极化状态关系到接收机系统的抗多径性能和接收机的稳定性,所以,研究极化具有特殊的意义。广而言之,波的极化、幅值、相位一样是包含信息量的,可用来传递信息。迄今,极化的利用已十分广泛,比如,雷达利用圆极化天线实现反云、雨干扰;气象雷达利用雨、雹等的散射极化响应不同来识别目标性质;跟踪航天器的地面天线或飞行器天线多采用圆极化,其目的是提高通信可靠性,避免极化失配造成的信号衰落;在卫星通信中,为了增加分配的无线电频带内的信道数目,对邻近通道使用高纯度的正交极化以达到极化鉴别的频率复用目的。掌握极化知识不仅对从事高频技术工作的人员很重要,对系统工程人员也十分重要。当今复杂、多变的战场电磁环境对雷达探测系统提出了更高要求,宽带多极化已成为新一代雷达扩大信息来源、提高探测性能的主要发展趋势。雷达极化信息在电磁信号滤波、目标增强、杂波抑制、目标检测及目标识别等方面具有巨大的应用潜力,如何有效地抑制干扰、改善信号的接收质量一直是雷达、通信、导航等应用领域中人们特别关注的问题,现已形成了包括时域、频域、时频域、空域滤波在内的较为完整的体系,而极化域滤波目前仅是在极化捷变、分集接收技术上有些应用,利用极化信息在目标极化检测、干扰抑制、信号增强与滤波等方面的研究正在加紧进行,因此研究电磁波极化特性及其表征是十分重要的。
    天线是一个电磁能量转换器,无论它将导波转换成空间波,还是反之,天线总要与收发信机相连。一般在天线与收发信机间总存在网络和射频馈线,在此讨论的阻抗匹配问题就与这部分网络和射频馈线有关,其性能的好坏直接影响到天线转换效率,因此这部分网络和射频馈线是天线系统中十分重要的一部分。传输线形式很多,有双线或同轴式TEM传输线、波导、光纤(介质光波导)、各种微带线和平面波导等,目前在GNSS终端接收中应用最普遍的还是TEM传输线,其中最典型的是同轴线和微带线。假设传输线输入端功率为
    
     P
    
    
     in
    
    ,由长度为
     的传输线馈送到天线,由于传输线上存在损耗,传送到天线上的功率为
    
     P
    
    
     L
    
    。
    的传输线馈送到天线,由于传输线上存在损耗,传送到天线上的功率为
    
     P
    
    
     L
    
    。
   
P L (dB)=10 lg( P L / P in )=10 lg( e -2 αl )=8.68 αl
(2-64)
式中, α 代表单位长度传输线衰减系数,其单位为奈比(NB),1 NB=8.686 dB。在传输线终端接一负载 Z L ,经过一段传输线 l 后其输入阻抗并不是 Z L 而是 Z in ,它们间有关系如下:
 
    (2-65)
当 Z L =0短路时, Z in = Z 0 th( γl ),对于无损线,当 α =0, γ =j β 时, Z in =j Z 0 tan( βl ;)当 Z L =∝开路时, Z in = Z 0 cth( γl ),对于无损线,当 α =0, γ =j β 时, Z in =j Z 0 cot( βl 。)其中, Z in 表示输入阻抗; Z 0 表示特征阻抗; Z L 表示负载阻抗。
由于传输线与负载阻抗不匹配,负载吸收功率并不等于入射功率。吸收功率仅是入射功率的一部分,它与传输线上的驻波比有以下关系:
 
    (2-66)
式中, η T 为传输效率;VSWR为传输线上的驻波比。
 
    (2-67)
式中,| Γ |为反射系数的模。由式(2-67)可以看出,传输线上驻波比高了,电磁能量传输效率就低了。通常,对大功率发射天线要求馈线系统驻波比<1.2,其他情况下可放宽到驻波比<1.5。
一般希望能量从天线到传输线上以最大功率传输而无信号畸变。阻抗概念对天线特别有用,它可规定辐射器件输入端所要求的特性。只要传输线阻抗确定了,天线阻抗设计的目的就是要与之匹配,保证传输功率最大。阻抗匹配特别有用还在于其值可以通过直接测量获得,通过测量VSWR和回波损耗,可直接变换成相应输入阻抗值。一般来说,天线输入阻抗由两部分组成,一部分是自阻抗,另一部分是互阻抗。自阻抗是自由空间单个天线的输入端阻抗,互阻抗是考虑其他源耦合影响的等效阻抗。其他源可以是反射体或是其他天线等,天线阵元之间、天线环境影响很难避免,由此形成的互阻抗一般在计算输入阻抗时要计入。