



装配式建筑是指把传统建造方式中的大量现场作业工作转移到工厂进行,在工厂加工制作好建筑用构件和配件(如楼板、墙板、楼梯、阳台等,)然后运输到建筑施工现场,通过可靠的连接方式在现场装配安装而成的建筑。形象地说,装配式建筑类似于“搭积木”,把梁、柱、墙板、楼板、阳台、楼梯等部品部件,也就是“积木”在工厂里预先生产好,运到工地后吊装、组合、安装、连接即可。
装配式建筑是建筑工业化中最重要的生产方式之一,采用标准化设计、工厂化生产、装配化施工、信息化管理、智能化应用。它具有提高建筑质量、缩短工期、节约能源、减少消耗、清洁生产等诸多优点。传统建筑生产方式,是将设计与建造环节分开,设计环节仅从目标建筑体及结构的设计角度出发,而后将所需建材运送至目的地,进行露天施工,完工交底验收的方式;而建筑工业化生产方式是设计施工一体化的生产方式,即从标准化的设计到构配件的工厂化生产,再到现场进行装配的过程。
建筑传统生产方式与建筑工业化生产方式的区别见表1.1。
表1.1 建筑传统生产方式与建筑工业化生产方式的区别
国外混凝土预制件与钢筋混凝土几乎同时起步,而现代意义上的工业化混凝土预制件制造在半个世纪前才得以真正发展,预制件真正取得了突破性发展是在第二次世界大战之后。
战争的破坏、城市化发展以及难民和无家可归者的涌入,使得欧洲国家住宅极度短缺,这为混凝土预制件的发展提供了发展契机。在这一时期,法国、丹麦等西欧国家出现了各种类型的大板住宅建筑体系,如Cauus体系、Larsena & Nielsen体系等。这种体系可采用框架体系和非框架体系,主体结构构件有混凝土预制楼板和墙板。大板住宅建筑体系在德国也得到了广泛应用,个别小型厂房采用板式结构,用T形板组装而成,墙板、楼板的宽度均为1.5 m,楼板跨度为15 m。在美国、日本以及北欧国家出现了预制盒子结构。这种盒子结构是六面体预制件,即把一个房间连同设备装修等,按照定型模式,在工厂中按照盒子形式完全制作好,然后在现场吊装完毕。按照建筑构造可分为骨架结构盒子、薄壁盒子。
随着人们生活水平的提高,欧美人对住宅舒适度的要求也越来越高。同时,由于通货膨胀致使房地产领域的资金抽逃,建筑工人的短缺进一步促进了建筑构件的机械化生产,这也成为预制装配式建筑突破的又一原因。这一时期,除住宅建设外,中小学校以及大学的广泛建设,使得柱子、支撑以及大跨度的楼板(7.2 m/8.4 m)在框架结构体系的运用中逐渐成熟。工业厂房以及体育场馆的建设使得预制柱、预应力Ⅰ型桁架、桁条和棚顶得到了应用。
住宅建设在欧美市场遭遇了严重的危机,这一方面要归结于建筑市场的饱和;另一方面要归咎于当时的高利率,其直接导致了多户住宅建设的停滞。
当时中东石油出口国建筑市场的需求给欧洲建筑商提供了一个绝佳的喘息机会。大量的住宅、学校以及政府办公楼的建设为中东地区预制件建筑开辟了新纪元。但是好景不长,第三次石油危机再一次打乱了这个行业的发展步伐。
当时的预制件厂大都经历了产能无法得到充分释放或关门的阵痛。这也给整个行业提供了一次思考预制件未来的绝好机会。约在20世纪80年代,一些企业和院校,比如德国的FILIGRAN公司发明了钢筋桁架式叠合楼板。钢筋桁架式叠合楼板的性能和特征结合了新的时代特点,完美结合了全预制和现浇两者的优点,使得其在住宅和公共建筑中得到大量推广,尤其是在欧洲地区。之后,日本企业从20世纪80年代开始相继引入该系统,钢筋桁架式的叠合楼板至今仍被日本广泛应用。
我国预制件生产应用已有近60多年历史,在这60多年里,经历了一波三折式的发展历程。
第一阶段:从20世纪50年代起,我国处于经济恢复和国民经济的第一个五年计划时期。在苏联建筑工业化的影响下,我国建筑行业开始走预制装配式发展道路。这一时期的主要预制件有柱、吊车梁、屋面梁、屋面板、天窗架等。除屋面板及一些小型吊车梁、小跨度屋架外,大多是现场预制,即使工厂预制,也往往由现场建立的临时性预制场预制,预制作业仍然是施工企业的一部分。
第二阶段:20世纪60年代末70年代初,随着中小预应力构件的发展,城乡出现了大批预制件厂。用于民用建筑的空心板、平板、檩条、挂瓦板;用于工业建筑的屋面板、F形板、槽形板以及工业与民用建筑均可采用的V形折板、马鞍形板等成为这些构件厂的主要产品。
第三阶段:20世纪70年代中期,在政府的大力提倡下,我国建起了大批混凝土大板厂和框架轻板厂,掀起了预制件厂发展的热潮。到了80年代中期,我国城乡已建立起了数万个规模不同的预制件厂,我国构件行业发展达到了巅峰。在此阶段,主要的预制件有以下种类。民用建筑构件:外墙板、预应力大楼板、预应力圆孔板、预制混凝土阳台等;工业建筑构件:吊车梁、预制柱、预应力屋架、屋面板、屋面梁等;从技术上看,我国预制件的生产从以手工为主到机械搅拌、机械成型再到工厂的机械化程度很高的流水线生产,经历了一个由低到高的发展过程。
第四阶段:20世纪90年代以来,构件企业无利可图,城市的预制件厂大多已到了无法维持的地步,民用建筑上的小构件已让位给乡镇小构件厂生产。与此同时,某些乡镇企业生产的劣质空心板又充斥了建筑市场,进一步影响了预制件行业的形象。1999年初以来,一些城市相继下令禁止使用预制空心楼板,一律改用现浇混凝土结构,预制件行业已到了生死存亡的关头。
进入21世纪,人们开始逐渐发现现浇结构体系已经不再完全符合时代的发展要求。对于我国日益发展的建筑市场,现浇结构体系所存在的弊端已趋于明显化。面对这些问题,结合国外的住宅产业化成功经验,国家推进“建筑工业化”“住宅产业化”等政策,装配式建筑相关标准、规范、规程逐步完善,传统预制件生产被规模化、标准化、智能化的装配式建筑构件生产所取代。
近年来,在政府部门相关政策的引导下,建筑工业化发展形势较好。这也使得各集团、企业、公司、学校、科研机构等增加了对装配式建筑构件研究的热情,经过多年研究,已取得了一定成果。
装配式建筑按结构材料可分为装配式混凝土结构、装配式钢结构和装配式木结构3类。
装配式混凝土结构(Prefabricated Concrete Structure,PC)是由预制混凝土构件通过可靠的连接方式装配而成的混凝土结构。
常见的装配式混凝土结构体系主要有以下几种:
装配整体式混凝土剪力墙结构的特点是尽可能多地采用预制构件。结构体系中的竖向承重构件剪力墙采用预制方式,水平结构构件采用叠合梁和叠合楼板形式。同时,内隔墙、楼梯、阳台板及外墙挂板或三明治夹芯保温外墙板等都采用预制混凝土构件,如图1.1所示。
图1.1 装配整体式混凝土剪力墙(全装配)结构体系
装配整体式混凝土框架结构的特点是尽可能多地采用预制构件。结构体系中的竖向承重构件柱采用预制方式,水平结构构件采用叠合梁和叠合楼板形式。同时,内隔墙、楼梯、阳台板及外墙挂板或三明治夹芯保温外墙板等都采用预制混凝土构件,如图1.2所示。
图1.2 装配整体式混凝土框架结构体系
内浇外挂式剪力墙体系中竖向承重构件剪力墙采用现浇方式,水平结构构件采用叠合梁和叠合楼板形式。同时,内隔墙、楼梯、阳台板及外墙挂板或三明治夹芯保温外墙板等都可采用预制混凝土构件。预制混凝土外墙挂板设计为非结构构件,施工中利用其为围护墙体,以作为竖向现浇构件的外模板,如图1.3所示。
图1.3 内浇外挂式剪力墙体系
内浇外挂式框架体系中竖向承重构件框架柱采用现浇方式,水平结构构件采用叠合梁和叠合楼板形式。同时,内隔墙、楼梯、阳台板及外墙挂板或三明治夹芯保温外墙板等都可采用预制混凝土构件,如图1.4所示。
图1.4 预制外墙板
双面叠合剪力墙体系中竖向承重构件剪力墙采用两层带桁架钢筋的预制墙板,现场安装就位后在两层板中间浇筑混凝土,再辅以必要的现浇边缘构件。同时,内隔墙、楼梯、阳台板及外墙挂板或三明治夹芯保温外墙板等都可采用预制混凝土构件,如图1.5所示。
图1.5 双面叠合剪力墙
装配式钢结构是指建筑的结构系统由钢(构)件构成的装配式建筑。
常见的装配式钢结构体系如下所述。
钢框架结构主要应用于办公建筑、居住建筑、教学楼、医院、商场、停车场等需要大空间和相对灵活的室内布局的多高层建筑。钢框架结构体系可分为半钢接框架和全钢接框架,可以采用较大的柱距并获得较大的使用空间,但由于缺少剪力墙,抗侧力刚度较小,在水平方向荷载作用(地震作用、风荷载作用)下产生的变形较大,因此使用高度受到一定限制,如图1.6所示。
对于高层建筑,由于风荷载和地震作用较大,使得梁柱等构件尺寸也相应增大,失去了经济合理性,此时可在部分框架柱之间设置支撑,构成钢框架-支撑结构。钢框架-支撑结构在水平荷载作用下,通过楼板的变形协调,由框架和支撑形成双重抗侧力结构体系,可分为中心支撑框架、偏心支撑框架和屈曲约束支撑框架,如图1.7所示。
图1.6 钢框架结构体系
图1.7 钢框架-支撑结构体系
钢框架-延性墙板结构具有良好的延性,适合用于抗震要求较高的高层建筑中。延性墙板是一个笼统的概念,包括多种形式,归纳起来主要有钢板剪力墙结构、内填RC剪力墙结构等,如图1.8所示。
交错桁架结构体系也称错列桁架结构体系,主要适用于中高层住宅、宾馆、公寓、办公楼、医院、学校等平面为矩形或由矩形组成的钢结构房屋,并将空间结构与高层结构有机地结合起来,能够在高层结构中获得300~400 m 2 方形的无柱空间,如图1.9所示。
图1.8 钢框架-延性墙板结构体系
图1.9 交错桁架结构体系
门式刚架是一种传统的结构体系,该类结构的上部主构架包括刚架斜梁、刚架柱、支撑、檩条、系杆、山墙骨架等,如图1.10所示。
图1.10 门式刚架结构体系
低层冷弯薄壁型钢结构体系是由冷弯型钢为主要承重构件的结构。冷弯薄壁型钢由厚度为1.5~5 mm的钢板或带钢,经冷加工(冷弯、冷压或冷拔)成型,同一截面的厚度都相同,截面各角顶处呈圆弧形。在公用建筑和住宅中,可用薄壁型钢制作各种屋架、刚架、网架、檩条、墙梁、墙柱等结构和构件,如图1.11所示。
图1.11 冷弯薄壁型钢结构体系
装配式木结构建筑是指主要的木结构承重构件、木组件和部品在工厂预制生产,并通过现场安装而成的木结构建筑。
常见的装配式木结构体系如下所述。
轻型木结构体系是用规格材及木基结构板材或石膏板制作的木构架墙体、楼板和屋盖系统构成的单层或多层建筑结构体系,如图1.12所示。
图1.12 轻型木结构体系
胶合木结构体系是指承重构件主要采用层板胶合木制作的单层或多层建筑结构体系,如图1.13所示。
图1.13 胶合木结构体系
原木结构采用规格及形状统一的矩形和圆形原木或胶合木构件叠合制作,集承重体系与围护结构于一体的木结构体系,如图1.14所示。
木结构组合体系是指由木结构或其构、部件和其他材料,如钢、钢筋混凝土或砌体等不燃结构或构件共同形成、共同受力的结构体系,如图1.15所示。
图1.14 原木结构体系
图1.15 木结构组合体系
装配式建筑代表着新一轮建筑科技革命和产业变革方向,既是传统建筑业转型与建造方式的重大变革,也是推进供给侧结构性改革的重要举措,更是新型城镇化建设的有力支撑。为促进装配式建筑发展、规范装配式建筑评价,中华人民共和国住房和城乡建设部颁发了《装配式建筑评价标准》(GB/T 51129—2017)。
根据该标准的规定,装配式建筑评价分为项目预评价和项目评价(项目最终评价结果。)项目预评价一般在设计阶段完成后进行,按设计文件计算装配率,主要目的是促进装配式建筑设计理念尽早融入项目实施中。如果项目预评价结果满足评价要求,对于发现的不足之处,申请评价单位可以通过调整和优化方案进一步提高装配化水平;如果预评价结果不满足评价要求,申请评价单位可以通过调整和修改设计方案来满足要求。若申请评价项目在主体结构和装饰装修工程通过竣工验收后进行评价,按竣工验收资料计算装配率和确定评价等级。
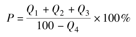
《装配式建筑评价标准》(GB/T 51129—2017)规定,采用装配率评价建筑的装配化程度。装配率计算公式为:
式中 P ——装配率;
Q 1 ——主体结构指标实际得分值;
Q 2 ——围护墙和内隔墙指标实际得分值;
Q 3 ——装修与设备管线指标实际得分值;
Q 4 ——计算项目中缺少的计算项分值总和。
装配式建筑计分表见表1.2。
表1.2 装配式建筑计分表
注:表中带“*”项的分值采用“内插法”计算,计算结果取小数点后一位。
该标准还规定,装配率计算和装配式建筑等级评价应以单体建筑作为计算和评价单元。装配式建筑应同时满足下列要求:主体结构部分的评价分值不低于20分;围护墙和内隔墙部分的评价分值不低于10分;采用全装修;装配率不低于50%。当满足以上要求且主体结构竖向构件中预制部品部件的应用比例不低于35%时,可进行装配式建筑等级评价。装配式建筑评价等级划分为3级,具体如下所述。
①装配率为60%~75%时,评价为A级装配式建筑。
②装配率为76%~90%时,评价为AA级装配式建筑。
③装配率为91%及以上时,评价为AAA级装配式建筑。
此外,该标准还明确,装配式建筑宜采用装配化装修。