



土方工程施工前,通常要计算土方量。根据土方量的大小,拟订土方工程施工方案,组织土方工程施工。土方外形往往很复杂、不规则,要准确计算土方量难度很大。一般情况下,将其划分成一定的几何形状,采用具有一定精度又与实际情况近似的方法计算。
(1)基坑土方量
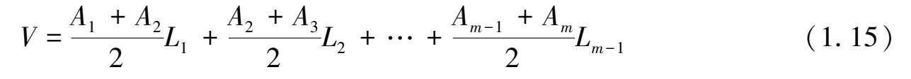
基坑是指长宽比≤3 的矩形土体。基坑土方量可按立体几何中棱柱体(由两个平行的平面作底的一种多面体)体积公式计算,如图1.2 所示。
式中 H——基坑深度,m;
A 1 ,A 2 ——基坑上、下底的面积,m 2 ;
A 0 ——基坑中截面的面积,m 2 。
(2)基槽土方量
基槽土方量计算可沿长度方向分段后,按照上述同样的方法计算,如图1.3 所示。
式中 V 1 ——第一段的土方量,m 3 ;
L 1 ——第一段的长度,m。
将各段土方量相加,即得总土方量:
式中V 1 ,V 2 ,…,V n ——各段土方量,m 3 。
图1.2 基坑土方量计算
图1.3 基槽土方量计算
场地平整就是将天然地面平整成施工要求的设计平面。场地设计标高是进行场地平整和土方量计算的依据,合理选择场地设计标高,对减少土方量,提高施工速度具有重要意义。场地设计标高是全局规划问题,应由设计单位及有关部门协商解决。当场地设计标高无设计文件特定要求时,可按场区内“挖填土方量平衡法”经计算确定,可达到土方量少、费用低、造价合理的效果。
场地设计标高的确定应考虑以下因素:
①满足生产工艺和运输要求;
②充分利用地形,尽量做到挖填平衡,以减少土方量;
③要有一定的排水坡度,以满足排水要求;
④考虑最高洪水位的影响。
场地平整土方量的计算方法有方格网法和断面法两种。断面法是将计算场地划分成若干横截面后逐段计算,最后将逐段计算结果汇总。断面法计算精度较低,可用于地形起伏变化较大、断面不规则的场地。场地地形较平坦时,一般采用方格网法。
方格网法计算场地平整土方量包括以下 6 个步骤。
(1)绘制方格网图
由设计单位根据地形图(一般在 1∶500 的地形图上),将建筑场地划分为若干个方格,方格边长主要取决于地形变化的复杂程度,一般取a=10 m,20 m,30 m,40 m等,通常采用20 m。方格网与测量的纵横坐标网相对应,在各方格角点规定的位置上标注角点的自然地面标高(H)和设计标高(H n ),如图1.4 所示。
图1.4 方格网法计算土方工程量图
(2)计算场地各方格角点的施工高度
各方格角点的施工高度为角点的设计地面标高与自然地面标高之差,是以角点设计标高为基准的挖方或填方的施工高度。各方格角点的施工高度按下式计算:
式中 h n ——角点的施工高度,即填挖高度(以“+”为填,“-”为挖,单位为m)
H n ——角点的设计标高,m;
H——角点的自然地面标高,m;
n——方格的角点编号(自然数列 1,2,3,…,n)。
(3)计算“零点”位置,确定零线
当同一方格四个角点的施工高度同号时,该方格内的土方则全部为挖方或填方,如果同一方格中一部分角点的施工高度为“+”,而另一部分为“-”,则此方格中的土方一部分为填方,另一部分为挖方,沿其边线必然有一不挖不填的点,即为“零点”,如图1.5 所示。
零点位置按下式计算:
式中 x 1 ,x 2 ——角点至零点的距离,m;
h 1 ,h 2 ——相邻两角点的施工高度,均用绝对值表示,m;
a——方格的边长,m。
在实际工作中,为省略计算,确定零点的办法也可以用图解法,如图1.6 所示。方法是用尺在各角点上标出挖填施工高度相应比例,用尺相连,与方格相交点即为零点位置。此法甚为方便,同时可避免计算或查表出错。将相邻的零点连接起来,即为零线。它确定了方格中挖方与填方的分界线。
图1.5 零点位置计算示意图
图1.6 零点位置图解法
(4)计算方格土方工程量
按方格底面积图形和表1.5 所列计算公式,计算每个方格内的挖方量或填方量。
表1.5 常用方格网计算公式
注:①a——方格的边长,m;
b,c——零点到一角的边长,m;
h
1
,h
2
,h
3
,h
4
——方格网四角点的施工高度,m,用绝对值代入;
∑h——填方或挖方施工高度总和,m,用绝对值代入;
V——填方或挖方的体积,m
3
。
②本表计算公式是按各计算图形底面积乘以平均施工高度得出的。
(5)边坡土方量的计算
场地的挖方区和填方区的边沿都需要做成边坡,以保证挖方土壁和填方区的稳定。边坡的土方量可以划分成两种近似的几何形体进行计算:一种为三角棱锥体,另一种为三角棱柱体。
①三角棱锥体边坡体积,如图1.7 中①~③、⑤~⑦、⑧~⑪所示,计算公式如下:
式中 l 1 ——三角棱锥体边坡的长度,m;
A 1 ——三角棱锥体边坡的断面面积,m 2 ;
h 2 ——角点的挖土高度;
m——边坡的坡度系数,m=高度/高度。
②三角棱柱体边坡体积,如图1.7 中④所示,计算公式如下:
当两端横断面面积相差很大时,边坡体积按下式计算:
式中 l 4 ——三角棱柱体边坡的长度,m;
A 1 ,A 2 ,A 0 ——三角棱柱体边坡两端及中部横断面面积,m 2 。
图1.7 场地边坡平面图
(6)计算土方总量
将挖方区(或填方区)所有方格计算的土方量和边坡土方量汇总,即得该场地挖方和填方的总土方量。
沿场地取若干个相互平行的断面,可利用地形图或实际测量定出,将所取的每个断面(包括边坡断面)划分为若干个三角形和梯形,如图1.8 所示。则面积为:
图1.8 断面法示意图
某一断面面积为:
若d 1 =d 2 =…=d n =d,则:
设各断面面积分别为A 1 ,A 2 ,…,A m ,相邻两断面间的距离依次为L 1 ,L 2 ,…,L m ,则所求的土方体积为用断面法计算土方量(边坡土方量已包括在内)。
通过方格法计算土方量的学习,应掌握方格网法土方量计算的基本原理和计算步骤。但在实际工程应用中,土石方开挖工作量大,手工计算速度慢、精度低。所以,在实际工作中,常采用相关软件(如南方CASS)来处理数据,并进行计算和出图。
DTM模型计算土方量是根据实地测定的地面点坐标(X,Y,Z)和设计高程,通过生成三角网来计算每一个三棱锥的填挖方量,最后累计得到指定范围内填方和挖方的土方量,并绘出填挖方分界线。
某建筑施工场地地形图和方格网布置如图1.9 所示。方格网的边长a=20 m,方格网各角点上的标高分别为地面的设计标高和自然标高。该场地为粉质黏土,为了保证填方区和挖方区边坡稳定性,设计填方区边坡坡度系数为 1.0,挖方区边坡坡度系数为 0.5。试用方格网法计算挖方和填方的总土方量。
(1)计算各角点的施工高度
图1.9 某建筑场地方格网布置图
根据方格网各角点的地面设计标高和自然标高,按照式(1.10)计算得:
h 1 =251.50-251.40=0.10(m)
h 2 =251.44-251.25=0.19(m)
h 3 =251.38-250.85=0.53(m)
h 4 =251.32-250.60=0.72(m)
h 5 =251.56-251.90=-0.34(m)
h 6 =251.50-251.60=-0.10(m)
h 7 =251.44-251.28=0.16(m)
h 8 =251.38-250.95=0.43(m)
h 9 =251.62-252.45=-0.83(m)
h 10 =251.56-252.00=-0.44(m)
h 11 =251.50-251.70=-0.20(m)
h 12 =251.46-251.40=-0.06(m)
将各角点施工高度计算结果标注在图1.11 中。
图1.10 施工高度及零线位置
(2)计算零点位置
由图1.10 可知,方格网边 1—5、2—6、6—7、7—11、11—12 两端的施工高度符号不同,这说明在这些方格边上有零点存在,由式(1.11)求得:
1—5 线:x 1 =4.55(m);
2—6 线:x 1 =13.10(m);
6—7 线:x 1 =7.69(m);
7—11 线:x 1 =8.89(m);
11—12 线:x 1 =15.38(m)
将各零点标于图上,并将相邻的零点连接起来,即得零线位置,如图1.10 所示。
(3)计算各方格的土方量
方格Ⅲ、Ⅳ底面为正方形,土方量为:
方格Ⅰ底面为两个梯形,土方量为:
方格Ⅱ、Ⅴ、Ⅵ底面为三边形和五边形,土方量为:
V Ⅱ( +) =65.73(m 3 )
V Ⅱ(-) =0.88(m 3 )
V Ⅴ( +) =2.92(m 3 )
V Ⅴ(-) =51.10(m 3 )
V Ⅵ( +) =40.89(m 3 )
V Ⅵ(-) =5.70(m 3 )
方格网总填方量:
V (+) =184+12.80+65.73+2.92+40.89=306.34(m 3 )
方格网总挖方量:
V (-) =171+24.59+0.88+51.10+5.70=253.27(m 3 )
(4)边坡土方量计算
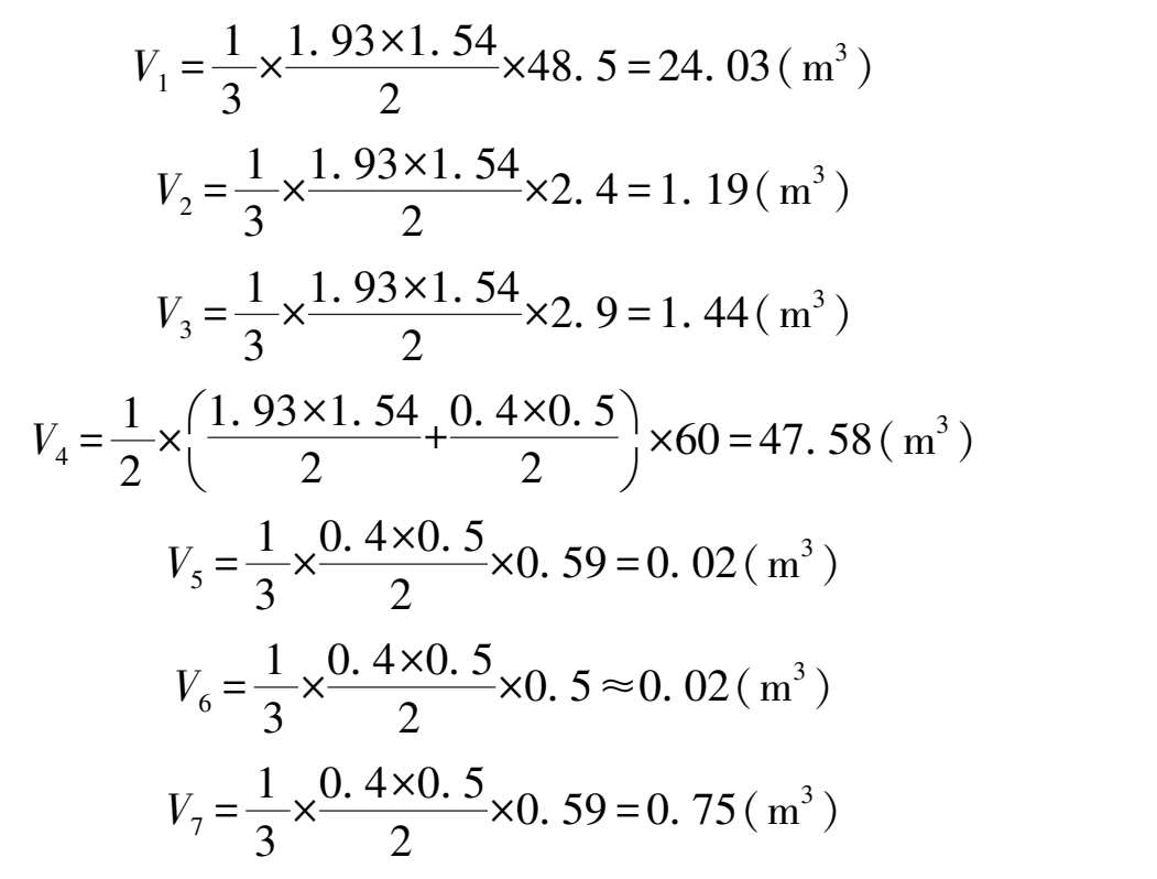
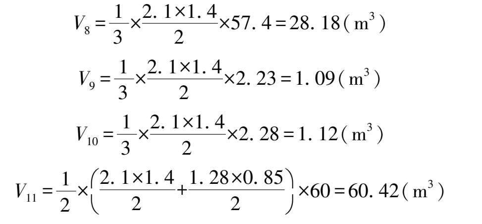
【例题】某场地平整工程,长 80 m、宽 60 m,土质为粉质黏土。取挖方区边坡坡度为1∶1.25,填方边坡坡度为 1∶1.5。平面图挖填分界线尺寸及角点标高如图1.11 所示。试求边坡挖、填土方量。
【解】先求边坡角点 1~4 的挖、填方宽度。
角点 1 填方宽度:0.85×1.50=1.28(m)
角点 2 挖方宽度:1.54×1.25=1.93(m)
角点 3 挖方宽度:0.40×1.25=0.50(m)
角点 4 填方宽度:1.40×1.50=2.10(m)
图1.11 场地边坡平面轮廓尺寸图(单位:m)
按照场地四个控制角点的边坡宽度,利用作图法可得出边坡平面尺寸(图1.10)。边坡土方工程量,可划分为三角棱锥体和三角棱柱体两种类型,按公式计算如下:
①挖方区边坡土方量。
挖方区边坡的土方量合计:
V 挖 =-(24.03+1.19+1.44+47.58+0.02×2+0.75)=-75.03(m 3 )
②填方区边坡的土方量合计。
填方区边坡的土方量合计:
V 填 =28.13+1.09+1.12+60.42+0.25+0.22+5.71=+96.94(m 3 )
常用计算软件有南方CASS。DTM法土方计算共有三种方法:第一种是由坐标数据文件计算,第二种是依照图上高程点进行计算,第三种是依照图上的三角网进行计算。前两种算法包含重新建立三角网的过程,第三种方法直接采用图上已有的三角形,不再重建三角网。下面分别讲述三种方法的操作过程。
(1)根据坐标数据文件计算
①用复合线画出所要计算土方的区域,一定要闭合,但是尽量不要拟合。因为拟合过的曲线在进行土方计算时会用折线迭代,影响计算结果的精度。
②用鼠标点取“工程应用\DTM法土方计算\根据坐标文件”。
提示:选择边界线用鼠标点取所画的闭合,弹出如图1.12 所示。
图1.12 土方计算参数设置
区域面积:该值为复合线围成的多边形的水平投影面积。
平场标高:指设计要达到的目标高程。
边界采样间隔:边界插值间隔的设定,默认值为 20 m。
边坡设置:选中处理边坡复选框后,则坡度设置功能变为可选。选中放坡的方式(向上或向下):平场高程相对于实际地面高程的高低,平场高程高于地面高程则设置为向下放坡,不能计算向内放坡。不能计算向范围线内部放坡的工程。然后输入坡度值。
设置好计算参数后,屏幕上显示填挖方的提示框,命令行显示:
挖方量=××××立方米,填方量=××××立方米
同时,图上绘出所分析的三角网、填挖方的分界线(白色线条),如图1.13 所示。计算三角网构成详见cass\system \dtmtf. log文件。
关闭对话框后系统提示:
请指定表格左下角位置:<直接回车不绘表格>
用鼠标在图上适当位置点击,CASS 9.0 会在该处绘出一个表格,包含平场面积、最大高程、最小高程、平场标高、填方量、挖方量和图形,如图1.14 至图1.16 所示。
图1.13 填挖方提示框
图1.14 填挖方量计算结果表格
图1.15 DTM土方计算结果
图1.16 土方计算放边坡效果图
(2)根据图上高程点计算
首先要展绘高程点,然后用复合线画出所要计算土方的区域,要求同坐标计算法。
用鼠标点取“工程应用”菜单下“DTM法土方计算”子菜单中的“根据图上高程点计算”。
(提示:选择边界线用鼠标点取所画的闭合复合线)
(提示:选择高程点或控制点)
此时,可逐个选取要参与计算的高程点或控制点,也可拖框选择。如果键入“ALL”再回车,将选取图上所有已经绘出的高程点或控制点。弹出土方计算参数设置对话框,其余操作则与坐标计算法一样。
(3)根据图上的三角网计算
对已经生成的三角网进行必要的添加和删除,使结果更接近实际地形。
用鼠标点取“工程应用”菜单下“DTM法土方计算”子菜单中的“依图上三角网计算”。
[提示:平场标高(米):输入平整的目标高程]
请在图上选取三角网:用鼠标在图上选取三角形,可以逐个选取也可拉框批量选取
回车后屏幕上显示填挖方的提示框,同时图上绘出所分析的三角网、填挖方的分界线(白色线条)。
注意:用此方法计算土方量时,不要求给定区域边界,因为系统会分析所有被选取的三角形。因此在选择三角形时,一定要注意不要漏选或多选,否则计算结果有误,且很难检查出问题所在。
土方调配是土方工程施工组织设计(土方规划)中的重要内容。在场地土方工程量计算完成后,即可着手土方的调配工作。土方调配,就是对挖土、堆弃和填土三者之间的关系进行综合协调的处理。好的土方调配方案,应该使土方的运输量或费用最少,而且又便于施工。
(1)土方调配原则
①力求达到挖方与填方基本平衡和运距最短,使挖方量与运距的乘积之和最小,即土方运输量或费用最小,降低工程成本。
②近期施工与后期利用相结合。当工程分期分批施工时,若先期工程有土方余额,应结合后期工程的需求来考虑其利用量与堆放位置,以便就近调配,以避免重复挖运和场地混乱。
③应分区与全场相结合。分区土方的余额或欠额的调配,必须考虑全场土方的调配,不可以只顾局部平衡而妨碍全局。
④尽可能与大型建筑物的施工相结合。大型建筑物位于填土区时,应将开挖的部分土体予以保留,待基础施工后再进行填土,以避免土方重复挖、填和运输。
⑤选择适当的调配方向和运输路线,使土方机械和运输车辆的功效得到充分发挥。总之,进行土方调配必须依据现场具体情况、有关技术资料、工期要求、土方施工方法与运输方法等,综合考虑上述原则,并经计算比较,选择经济合理的调配方案。
(2)土方调配方案的编制
土方调配方案的编制,应根据施工场地地形及地理条件,把挖方区和填方区划分成若干个调配区,计算各调配区的土方量,并计算每对挖、填方区之间的平均运距(即挖方区重心至填方区重心的距离),然后确定挖方各调配区的土方调配方案。土方调配的最优方案,应使土方总运输量最小或土方运输费用最少,工期短、成本低,而且便于施工。
调配方案确定后,绘制土方调配图,如图1.17 所示。在土方调配图上,要注明挖填调配区、调配方向、土方数量和每对挖填之间的平均运距。图1.17 中的土方调配,仅考虑场内挖方和填方的平衡,W表示挖方,T表示填方。
图1.17 土方调配图