



反馈的另一个主要应用是使系统的输出跟踪参考值,这称作 伺服问题 (servo problem)。这样的例子包括巡航控制、汽车转向、天线跟踪卫星、望远镜跟踪恒星、高性能音频放大器、机床和工业机器人,等等。
为了说明参考信号的跟踪问题,考虑图2.7所示的系统,其过程是一阶系统,控制器为PI控制器,其比例增益为 k p ,积分增益为 k i 。过程和控制器的传递函数分别为:
由于关心的是参考信号 r 的跟踪问题,故忽略负载干扰并令 v =0。对图2.7的系统应用框图代数运算,得到从参考信号 r 到输出 y 的传递函数为:
由于 G yr (0)=1,因此,只要闭环系统是稳定的,那么当 r 和 y 是恒定的且独立于参数 a 和 b 时,就有 r = y 。因此,稳态输出等于参考值,这也是控制器积分作用的必然结果。
为了确定控制器参数 k p 和 k i 的合适值,按照2.3节的步骤,选择控制器参数,使闭环特征多项式
等于
(其中
ζ
c
>0、
ω
c
>0)。找出两个多项式中
s
的幂相等的项,令系数相等,可得:
这等效于式(2.28)。请注意积分增益随 ω c 的平方增加。图2.9给出了设计参数 ζ c 和 ω c 取不同数值时输出信号 y 和控制信号 u 的曲线。可见,响应时间随 ω c 的增加而减小,控制信号的初值则随之增加。这是因为要想移动得更快,就需要输入更大的指令幅值。超调量则随着 ζ c 的增加而减小。当 ω c =2时,选择 ζ c =1给出的稳定时间很短,且响应没有超调量。
图2.9 当设计参数 ζ c 和 ω c 取不同值时,参考信号发生单位阶跃变化时的响应。左图为 ζ c =0.707、 ω c =1、2和5的响应。右图为 ω c =2和 ζ c =0.5、0.707和1的响应。过程参数为 a = b =1。控制信号的初始值为 k p
人们还希望输出 y 能跟踪时变的参考信号 r 。这意味着要求传递函数 G yr ( s )在很宽的频率范围内接近于1。利用式(2.33)的控制器参数,由式(2.31)可得:
因为 G yr (0)=1,所以对恒值输入的跟踪会很完美。此外,如果 s =i ω 的幅值小于 ω c ,那么经过适当的近似,可以证明 G yr ( s )将接近于1。频率 ω c 确定了能小误差地跟踪的参考信号的频率上限,此上限称作闭环系统的 带宽 (bandwidth)。因此, G yr 的频率响应是跟踪能力的一个定量表示。
两自由度控制器
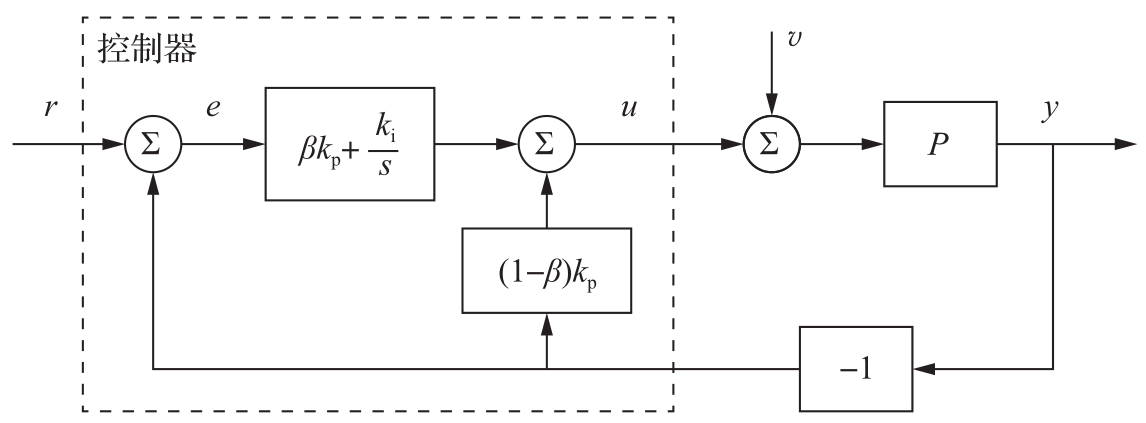
图2.7的控制律具有 误差反馈 (error feedback)的特点,因为控制信号 u 由误差 e = r-y 产生。采用比例控制时,参考信号 r 的阶跃变化会使控制信号 u 立即发生阶跃变化。这种快速响应可能是有利的,但它可能产生较大的超调量,这可以用以下形式的控制器代替式(2.23)的PI控制器来避免:
在这种改进的PI算法中,比例作用仅作用于参考信号的 β 部分。从参考 r 到 u 和从输出 y 到 u 的信号传输可以表示为以下的(开环)传递函数:
由于传递函数 C ur ( s )和 C uy ( s )不同,因此式(2.34)的控制器称作具有 两自由度 (two degrees of freedom)的控制器。
具有两自由度的PI控制器的闭环系统框图如图2.10所示。设过程传递函数为 P ( s )= b /( s + a ),从参考 r 、干扰 v 到输出 y 的传递函数为:
与正常误差反馈的控制器的对应传递函数(2.24)和式(2.31)相比较,可见这两个控制器对负载干扰的响应是一样的,但对参考信号的响应不同。
图2.10 具有两自由度的PI控制器的闭环系统框图
对 a =0、 b =1的闭环系统的仿真结果如图2.11所示。可见参数 β 对响应有着显著的影响。对比正常误差反馈的系统( β =1)与 β 值较小的系统,发现采用两自由度PI控制器的系统具有较小的超调量和更温和的控制作用。
图2.11 采用两自由度PI控制器的系统在参考信号阶跃变化时的响应。过程的传递函数为 P ( s )=1/ s ,控制器的增益为 k p =1.414、 k i =1、 β =0、0.5和1
这个例子说明,采用两 j 自由度控制器架构确实可以改进参考信号的响应。在12.4节中将进一步说明,使用更通用的系统架构可以将系统对参考信号的响应与对干扰的响应完全分离开来。要采用两自由度的控制器,必须同时测量参考信号 r 和输出信号 y 。在某些情况下,只能测量误差信号 e = r-y ,像DVD播放器、光学存储、原子力显微镜等就是如此。在这些场合,只能使用单自由度的(误差反馈的)控制器。