



将哥式力和回旋力矩加入自由轮胎有限元模型中,可以计算轮胎旋转时的模态频率和随转速变化的特征。轮胎旋转后,静态时的重根模态分离成两个独立的模态,如图3.31所示,即出现了模态分离现象。
图3.31 静态时的重根模态分离为旋转时的两个独立模态(Uesaka et al.,2015)
用有限元计算、试验和解析方法来获取旋转轮胎的模态频率和振型。将轮胎安装到台架上并施加很小的预载(如50N),让轮胎与转鼓接触,以便转鼓能够带动轮胎旋转。与通常4000多N的预载相比,50N预载很小,接近空载,所以,将这种“约束”状态视为“准自由旋转”状态,这样就可以通过测试来获取旋转轮胎的特征。
在研究模态分离现象的同时,很多学者探索了旋转速度对分离程度的解析方法,并给出了计算公式。
Brinkmeiera et al.(2008)从模态振型与声波波数的角度,认为频率分离值是由轮胎模态波数和转速决定的,表达如下
式中, n 和 ω 分别为模态振型中的波数和旋转角速度(rad/s)。
Perisse(2002)分析了哥式加速度的作用和多普勒效应对轮胎弯曲波的影响,给出了弯曲波传递到轮胎前行端和离地端的频率
式中, f a 和 f b 分别为弯曲波传递到轮胎前行端和离地端的频率;而 k 由式(3.9)决定。
式中, c B 为胎体内弯曲波的波速; V 为滚动速度。
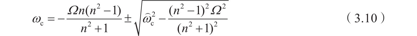
Dorf i et al.(2005)给出了计算自由轮胎旋转频率的公式
式中,
Ω
为角速度;
n
为径向模态阶数;
为轮胎静态时的频率。
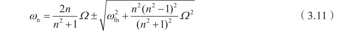
Huang et al.(1987b)建立了轮胎环模型,并分析了旋转带来的频率分离
式中, ω fn 为轮胎静态时的频率。
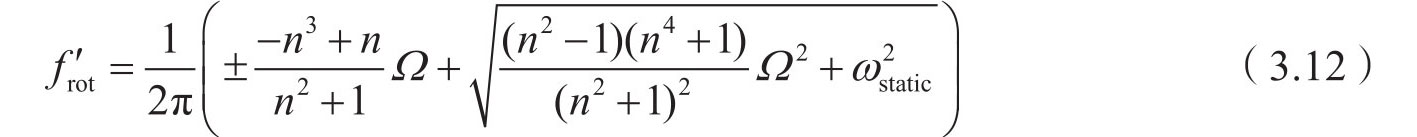
Matsubara et al.(2011)建立了二维环模型,考虑了多普勒效应,得到了旋转时的轮胎频率为
式中, ω static 为轮胎静态时的频率。
通过有限元计算或试验或解析计算,都可以得到旋转轮胎模态分离频率随转速和模态阶次变化的几个现象和趋势,如图3.32所示。第一,旋转使得静态模态重根分离,分离模态振型方向相反,如图3.31所示;第二,模态频率分离与转速、模态阶次、自由轮胎模态频率和胎体内弯曲波传递速度有关;第三,分离后的两个模态频率,一个比静态模态频率高,另一个比静态模态频率低,而且随着转速增加,频率分离得越开;第四,随着阶次增加,频率分离得越开。
图3.32 旋转轮胎模态分离频率随转速和模态阶次的变化趋势
导致模态分离的原因是轮胎旋转时出现的三种效应:材料变化效应、哥式加速度导致的回旋效应(gyroscopic effect);声波传播速度与转速差之间的多普勒效应。
材料变化效应是指轮胎在旋转过程中橡胶材料的刚度和阻尼发生变化。轮胎旋转导致橡胶材料循环变形,使得轮胎变软。轮胎低速旋转[称为准静态(quasi-static)]时,橡胶变软,导致频率突然降低。
回旋效应是指轮胎旋转时的哥式加速度引起的效应。旋转轮胎承受着哥式力和离心力。离心力使得橡胶变硬,在高速旋转时,会抵消一部分材料循环变形而变软的效果。
多普勒效应是指物体辐射声波波长随着声源和观测位置的相对运动而变化的现象。在运动的声源前面,声波被压缩,波长变短,频率变高;在运动的声源后面,声波被拉长,波长变长,频率变低。一个声源沿着轮胎周向的两个方向传播,而旋转使得这两个方向的波速不一样。前行波速度加快,而反向波(扩展波)速度降低,所以旋转轮胎结构中没有静态时的驻波。
多普勒效应导致的频率偏移是转速和周向波数的线性关系,而回旋效应与转速是非线性关系。对于低阶模态和低速情况,如(1,0)、(2,0)等模态,回旋效应大于多普勒效应;随着模态数增加,多普勒效应超过了回旋效应;当模态数超过3时,多普勒效应远大于哥式加速度回旋效应的影响。在高频时,与多普勒效应相比,哥式加速度的影响可以忽略。
对自由旋转轮胎,哥式加速度的回旋效应和多普勒效应对模态频率的影响远远大于橡胶材料变化效应,但是对约束旋转轮胎,材料变化效应不能忽视。
旋转约束轮胎模态可以通过有限元计算或试验获取。将哥式力和回旋力矩作为超级单元加入有限元模型中就可以得到运行模态特征。
在轮胎台架或整车转鼓上,用运行模态分析方法来获取轮胎的模态信息。图3.33显示将轮胎安装在转鼓上,在转鼓上安装一个小的凸起物(cleat)。当轮胎旋转触及凸起物时,被激励起来。在轮胎上选择一个参考点,用激光测振仪测量出轮胎上一系列被测点和参考点的振动,然后通过频谱分析来得到轮胎运行模态。
图3.33 在转鼓上安装凸起物来激励轮胎,测量运行工况下的模态
凸起物的材料、形状和高度影响到激励频率的能量宽度。速度越快,激励频率越宽,激励能量越大。
表3.5为某个轮胎在静态约束和旋转约束下的前几阶模态频率。与静态约束相比,旋转约束轮胎的频率普遍降低,这种现象是由于旋转带来的橡胶刚度和阻尼呈周期性变化、多普勒效应和旋转效应所导致。
表3.5 约束轮胎静态和旋转的峰值频率比较(Tsujiuchi et al.,2005)
轮胎第一阶垂向模态对轮心力的贡献最大,这个模态频率随转速变化的规律最重要。图3.34给出了4个轮胎第一阶垂向频率随速度变化趋势。
图3.34 轮胎第一阶垂向频率随速度变化趋势
轮胎刚开始转动时速度低,如从静止到低速(10km/h、20km/h),处于一种准静态,橡胶材料周期性变形使得轮胎变软,导致了频率迅速降低。随着速度增加,离心力的增加使得胎带张力增加,从而导致轮胎刚度和弯曲频率增加。不断增加的胎带张力和变软的轮胎材料相互作用,导致了频率下降的趋势变缓,慢慢趋于稳定。如果张力的作用超过橡胶变软的作用,频率会升高。