



在通用生成函数法的可靠性分析中,常用的可靠性指标主要有可用度、瞬时期望性能输出、瞬时期望性能失效等,具体如下。
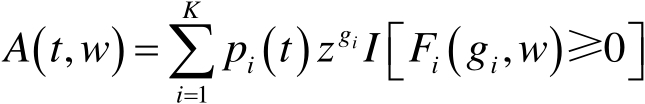
可用度指系统处于可接受功能状态的概率。在给定系统的期望性能后,系统在 t 时刻的可用度为
(2.20)
式中,
w
表示期望性能;
g
i
表示系统的实际性能;
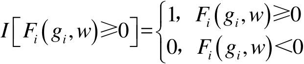
为接受度函数;
为指示函数,即
(2.21)
为了得到系统的平均性能,可以使用瞬时期望性能输出。系统在 t 时刻的瞬时期望性能输出为
(2.22)
系统在给定时间[0,T] 的瞬时期望性能输出为
(2.23)
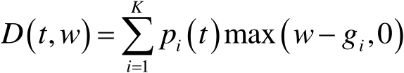
瞬时期望性能失效 D ( t , w ) 用于表示系统的实际性能 g i 与期望性能 w 之间的偏差,可以反映系统的性能对需求的满足水平,瞬时期望性能失效为
(2.24)