



从数学概念上讲,卷积是一种运算,令( x · w )( t )为 x 、 w 的卷积,其连续的定义为
离散的定义为
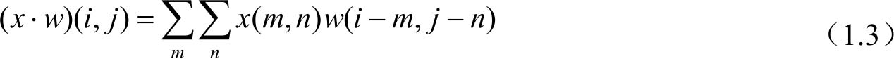
如果将一个二维图像 x 作为输入,使用一个二维的卷积核 w ,则输出可表示为
在这里,卷积就是内积,根据多个确定的权重(卷积核),对某一范围内的像素进行内积运算,输出就是提取的特征,具体可视化的卷积操作将在1.3.2节中介绍。
在传统的BP神经网络中,前后层之间的神经元是“全连接”的,即每个神经元都与前一层的所有神经元相连,而CNN中的神经元只与前一层的部分神经元相连。从仿生的角度来说,CNN在处理图像矩阵问题时会更加高效。例如,人的单个视觉神经元并不需要对全部图像进行感知,只需要对局部信息进行感知即可,距离较远、相关性较弱的元素不在计算范围内。从计算的角度来说,卷积使参数量与计算量大幅度减少。