



外力作功对物体的运动状态又会引起什么样的变化呢?
为简单起见,先讨论物体在恒合外力作用下作匀加速直线运动的情况。设物体的质量为m,初速为v
0
,所受恒合外力为f,加速度为a,经位移s后速度变为v(参看图3.12(a),)按匀加速直线运动方程可知
,按牛顿第二运动定律有f=ma,于是合外力对物体所作的功式(3.11)可改写为
式中所引入的物理量
称为物体的动能。式(3.12)说明合外力对物体所作的功等于物体动能的增量。这一结论称为动能定理。
图3.12 动能定理
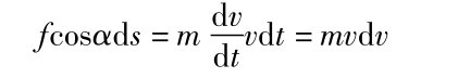
再讨论合外力f是变力,物体做曲线运动的情况(图3.12(b)。)根据牛顿第二定律,fcosα=ma
t
,而切向加速度
,速率
,则
于是
因此,当外力对物体作正功(即A>0)时,物体的动能增加;当外力对物体作负功(即A<0)时,物体的动能减少,亦即物体反抗外力作功。因此,动能这一概念表示物体以一定速度运动时所具有的作功的本领,物体依靠动能的减少来作功。
利用动能作功的例子很多,锻压是利用锤的动能作功,水磨是利用水流的动能作功,帆船、风车是利用空气的动能作功,汽轮机是利用蒸汽的动能作功。
动能是表征物体运动状态的一个重要物理量,它是标量,大小等于
,单位与功相同。物体的动量mv也是一个表征物体运动状态的重要物理量。它们的意义有什么不同呢?首先,动量定理反映力的时间累积,动能定理反映力的空间累积。动量定理和动能定理都是适用于物体的一段运动过程的,而且动量和动能本身只联系于过程的始末状态。这样,从方法上说,动量定理和动能定理对于解决某些力学问题可能比直接应用牛顿第二定律要方便些,但要注意到,动量和动能分别联系于不同的物理量——冲量和功,两个定理不能相互混淆。第二,在动量方面,我们发现,仅在系统内部物体或质点间的相互作用下,不会改变系统的总动量。正是从这种客观事实中使我们认识到动量是表征物体机械运动的这样一种量度:在几个物体之间,如果通过力的相互作用而有机械运动的转移时,一定伴有等量的动量转移,一个物体得到多少动量的同时,一定有其他物体失去等量的动量。然而,我们如考察这系统的动能的问题(我们从下节起就要进一步讨论,)却并没有“必有等量动能转移”的问题,而是一种能量往往可以转化成其他形式的能量,包括机械运动有转化为其他形式(如热运动等)的能力,其他运动形式也有转化为机械运动的能力,其间,有一个等值交换“能量”的客观规律。可以这样说,动能是表示物体机械运动转化为一定量的可能是其他运动形式的能力的一种量度。动能和动量这两种量度互不相同,各有其适用之处。
能的概念,是物理学和工程上最重要的概念之一,一个物体能够作功,我们就说这个物体具有能量。前已说明运动着的物体具有动能,现在我们来说明另一种形式的能量——势能。打桩时,铁锤从高处落下而作功,水力发电利用高处的水下落而作功。铁锤和水所以能够作功,是由于(1)它们与地球之间的相互作用——重力,(2)它们相对于地球的位置有所改变。物体因重力而具有的能量叫做重力势能。当拉长了弹簧逐渐恢复原长时,可以带动系在弹簧上的物体而作功,钟表中利用卷紧了的发条逐渐放松而作功。弹簧和发条所以能够作功,是由于(1)它们内部弹性力的作用,(2)它们所处的弹性形变状态的改变。物体因弹性力而具有的能量叫做弹性势能。总之,与相互作用的物体的相对位置有关的能量统称为势能。
按相互作用力的性质来区分,势能可有不同的形式。重力势能(与重力有关)和弹性势能(与弹性力有关)是力学中所讨论的势能。以后,我们还要遇到其他形式的势能,例如分子与分子之间的势能(由于分子间的相互作用)、电势能(由于静电力)等。
现在我们研究重力作功和弹性力作功的特点,定量地讨论重力势能和弹性势能。
物体和地球构成一重力系统。物体所受的重力是系统的内力。现设质量为m的物体从a点沿任一曲线acb运动到达b点,a点和b点对所选取的参考平面来说,高度分别为h a 和h b ,如图3.13所示。
图3.13 重力作功
在位移元ds中,重力P所作的功是
式中dh=dscos(π-α)=-dscosα就是位移元ds中物体上升的高度,所以重力所作的功是
可见物体上升时(h b >h a ,)重力作负功(A<0;)物体下降时(h b <h a ,)重力作正功(A>0)。
从计算中可以看出,假使物体从a点沿另一曲线adb运动到b点,所作的功仍如上式所示。由此可知,重力有一特点,即重力所作的功只与运动物体的始末位置(h a 和h b )有关,而与运动物体所经过的路径无关。
这个特点也可表述如下:当物体从图3.13 中的a点沿任一闭合路径adbca绕一周时,重力所作的功为零(可根据式(3.13)看出。)具有这种特点的力称为保守力,否则称为非保守力。
重力是保守力,此外如弹性力、万有引力(重力是万有引力的特例)、静电力等也都是保守力。摩擦力则不是保守力。例如,我们把放在地面上的物体,从一处拉到另一处时,地面对物体所作用的滑动摩擦力的方向恒与物体的运动方向相反,所作的功总是负功。如果经过的路程不同,摩擦力所作的负功也就不同。如果物体运动所经过的路程为闭合路径,这个滑动摩擦力所作的功,决不等于零。所以摩擦力是非保守力。
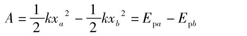
在式(3.13)中,如果令h a =h,h b =0,这时重力所作的功等于mgh。因此,我们认识到,这一量值表示物体在高度h处(与物体在高度h=0处相比较)时,由于重力所具有的作功本领。所以通常把mgh,即物体所受的重力和高度的乘积,称为物体与地球所组成的系统的重力势能,简称为物体的重力势能。
如果用E pa 和 E pb 分别表示物体在高度 h a 和 h b 的重力势能 mgh a 和mgh b ,式(3.13)可改写为
或
上式说明:重力的功等于重力势能的增量的负值,如果重力作正功(即A>0,)系统的重力势能能将减少(E pb <E pa 。)反之,如果重力作负功(即A<0,)系统的重力势能将增加(E pb >E pa )。
应该注意:(1)重力势能是属于物体与地球所组成的重力系统的。通常所谓“物体的重力势能”只是简称而已。因为物体与地球之间如果没有重力的作用,也就无所谓重力势能了。(2)高度h并没有绝对意义,所以重力势能只有相对的意义。但是,如果我们选定在某一位置重力系统的势能为零,那么在其他位置时,重力系统的势能就有一定的量值。我们说物体在一定位置具有一定量值的势能,就是在这种意义上理解的。实际上,mgh指的是势能差,式(3.13)指的也是势能差,我们所利用的势能也都是势能差,所以真正有意义的也是势能差。不管选定的零点势能怎样,势能差总有其绝对意义。(3)重力势能的概念,是与重力是保守力这一特点密切相关的。由于重力所作的功具有与路径无关的确定的量值,才反映出重力势能具有确定的量值;反之,对于非保守力,因为非保守力的功并不确定,所以不存在与非保守力相关的势能。
弹性力也具有保守力的特点。我们以弹簧的弹性力为例来说明。
将弹簧的一端固定,另一端连接一物体,并限制在光滑水平面内运动,如图3.14所示。O点为弹簧未伸长时物体的位置,称为平衡位置。如果把弹簧向右拉长,弹簧将对物体作用一弹性力f,方向向左。物体与弹簧组成一个系统,弹性力是系统的内力。
设a、b两点为弹簧伸长后物体的两个位置,x a 和x b 分别表示物体在a和b两点距O点的距离,亦即弹簧的伸长量。现在计算当物体由a点到b点时,弹性力f将对物体所作的功。显然,当x a >x b (弹簧缩短)时,弹性力作正功(图3.14(a);)当x a <x b (弹簧伸长)时,弹性力将作负功(图3.14(b))。
图 3.14
根据胡克定律,在弹性限度内,弹簧的弹性力f的大小与弹簧的伸长量x成正比,即
k称为弹簧的劲度系数,亦即弹簧每伸长单位长度所需的力。因弹性力是一变力,所以计算弹性力作功时,须用积分法或图解法。
参看图3.14(a)和图3.15,可知当物体从a点到b点的路径中,弹性力f所作的功A等于图3.15中x
a
和x
b
间的梯形面积,即
图3.15 弹性力的功
读者可自己证明,式(3.15)也适用于图3.14(b)所示弹性力f作负功的情况。
由此可见,弹性力的功和重力的功具有共同的特点,即所作的功也只与始末位置(x a ,x b )有关。同样,如果物体由某一位置出发使弹簧经过任意的伸长和缩短(在弹性限度内,)再回到原处,则在整个过程中,弹性力所作的功为零。这说明弹性力也是保守力。
与重力系统的重力势能相似,对于物体与弹簧这一系统来说,弹性势能为
。这是弹簧伸长量为x时的弹性势能,弹簧无形变时的弹性势能规定为零。
如果用E
pa
和E
pb
分别表示弹簧伸长量为x
a
和x
b
时的弹性势能
和
,式(3.15)可改写为
或
和重力作功完全相似,上式说明:弹性力所作的功等于弹性势能的增量的负值。
前节中所讲的动能定理,也可以推广到由几个物体组成的系统。显然,系统的动能定理的形式,与式(3.12)相同,即
这里,E k 和E k0 分别表示系统在终态和初态的总动能,A表示作用在各物体上所有的力所作的功的总和。
对于几个物体组成的系统来说,A包括一切外力的功和一切内力的功。内力之中,又应将保守内力和非保守内力加以区分。所以上式(3.17)改写为下式后就更清楚了:
以前的式(3.12)是适用于一个物体(视为质点)的动能定理。这里,式(3.18)是适用于一个系统的动能定理。
保守内力(重力和弹性力)作功的同时,系统的势能(重力势能和弹性势能)将发生改变。保守力的功等于势能增量的负值(参看式(3.14)和式(3.15),)即
至于非保守内力的功,可以是正功(例如系统内的爆炸冲力,)也可以是负功(例如系统内的滑动摩擦力。)但是无论作正功或负功,都没有与之相关的势能的改变。将式(3.19)代入式(3.18)中,得
或
动能、重力势能、弹性势能统称为机械能。上式说明:系统机械能的增量等于外力的功和非保守内力的功的总和,通常称为系统的功能原理。
显然,在外力和非保守内力都不作功或所作的总功为零(或根本没有外力和非保守内力的作用)的情形下,由上式得
亦即系统的机械能长保持不变。这一结论称为机械能守恒定律。我们把它叙述如下:对于由若干个物体所组成的系统,如果系统内只有保守力(如重力、弹性力)作功,其他非保守内力和一切外力所作的总功为零,那么,系统内各物体的动能与各种势能(重力势能、弹性势能)之间虽然可以互相转换,但是它们的总和总是恒量。
机械能守恒定律一方面是由牛顿运动定律导出的结果,另一方面也是自然界最普遍规律之一的能量守恒定律的特殊情况。
如果系统内除重力和弹性力外,还有摩擦力或其他非保守内力作功,那么,系统的机械能将发生变化。事实证明:在系统的机械能减少或增加的同时,必须有等值的其他形式的能量增加或减少,而系统的机械能和其他形式的能量的总和仍然是恒量。这就是说,能量不能消失,也不能创造,只能从一种形式转换为另一种形式。这一结论称为能量转化和守恒定律,或简称能量守恒定律。对于一个与外界没有能量交换的系统(称为封闭系统,)能量守恒定律可以这样叙述:在封闭系统内,不论发生何种变化过程,各种形式的能量可以互相转换,但能量的总和是恒量。
能量守恒定律是从无数事实中得出的结论,是物理学中具有最大普遍性的定律之一,可以适用于任何变化过程,不论是机械的、热的、电磁的、原子和原子核内的,以及化学的、生物的,等等。
能量守恒定律能使我们更深刻地理解功的意义。按能量守恒定律,一个物体或系统的能量变化时,必须有另一个物体或系统的能量同时也发生变化。所以当我们用作功的方法(在下一讲我们会看到,也可以用传递热量等其他方法)使一个系统的能量变化时,在本质上是这个系统与另一个系统之间发生能量的交换。而这个能量的交换在量值上就用功来描述。所以,功是能量交换或变化的一种量度。
这里还应该指出,我们不能把功和能量看作是等同的。功总是与能量变化或交换的过程相联系着的,而能量代表着系统在一定状态时所具有的特性,能量的量值只决定于系统的状态,系统在一定状态时,就具有一定的能量。例如,对一个在重力场中运动的物体,当它在一定的运动状态时(在一定位置,具有一定的速度,)它就具有一定量值的机械能。所以我们说,能量是系统状态的单值函数。