



我的朋友,
生活中什么看起来至关重要?
无论它带来了沉重的压抑,
还是快乐和欣喜。
行动,思想和愿望,
相信我,没有任何意义比得上
在我们所设计的实验中
一个指针的波动。
看穿了自然:也无非只是分子的碰撞,
光疯狂的颤动也不能让你明白基本定律,
更不是你的快乐和战栗让生活有了意义。
世界之灵,如果
可能来自千次的实验,
最终得出了如下结果——
这真是我们所做的吗?
——E.薛定谔
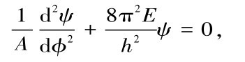
1.从通常的力学和几何光学间的哈密顿类比推导出波动力学的基本观念
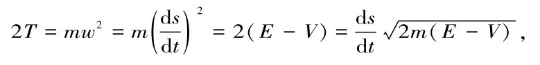
当一 质点 m在一以势能V(x,y,z)描述的保守力场中运动时,假如你让它从定点 A 以已定的速度,即以已定的能量 E开始运动,那么,只要适当地瞄准,即让它沿一个明确选定的方向开始运动,你就可以让它到达另一任意选定的点 B。一般说来,对应于 一个已定的能量 ,总有 一条 确定的从 A 到 B 的动力学轨道。这条轨道具有这样的特性:
图1
并由这个特性[莫培督(Maupertuis)形式下的哈密顿原理]所规定。这里T是质点的动能,而这个方程表示:考虑
所有
从A联到B并服从能量守恒定律(T+V=E)的轨道的簇,其中实际的动力学轨道具有这样的特点:
对应于这条轨道
和簇中所有同它无限接近的轨道,
基本上取
相同
的值,它们之间的差异为
二阶
无穷小(“无限接近”一词是用来规定
一阶
无穷小的)。令
为质点的速度,我们取
由此,方程(1)可以变换为
这个形式的优点在于变分原理是应用在一个纯粹几何积分上,它不包含时间变数,而且还自动照顾到能量守恒的条件。
◀位于利马德河岸的苏黎世大学。这所瑞士最大的综合性大学创建于1833年。
哈密顿 发现,将方程(2)同 费马 原理比较是有用的,费马原理告诉我们:在一不均匀的光学媒质中,实际的光线,即能量传播的径迹,是由(通常所称的)“最小时间定律”决定的。 现在 设同图1 相关联的是一个任意不均匀的光学媒质,例如地球的大气;那么,如果在A点有一盏探照灯,射出一支轮廓分明的光束,只要将探照灯适当地 瞄准 ,一般地就能够照亮任意选定的点B。有一条确定的光程从A联到B,它服从这样一条定律:
而这条定律也唯一地规定了这条光程,这里,ds同前面一样,表示路程元,而u是光速,是坐标x,y,z的函数。
如果我们假设:
则方程(2)、(3)分别表示的两条定律就变为 等同的 了,这里C必须不依赖于x,y,z,但可以依赖于E。这样,我们就做出了一幅关于光学媒质的假想图像,在这幅图像里,可能的光线簇和那个在V(x,y,z)力场中以 已定能量 E运动着的质点m的动力学轨道簇相重合。光速 u 不仅依赖于坐标,而且也依赖于质点的总能量E,这个事实是最重要的。
这个事实使我们能够把上面的类比推进一步,这只要将光速对 E 的依赖关系描述为色散,即描述为对 频率 的依赖关系就行了。为了达到这个目的,我们必须给我们的光线以一确定的频率,它是取决于E 的。我们要(任意地)假设
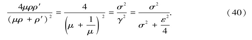
而不过多地去讨论这一对现代物理学家讲来是非常富有启示性的假设了。这样,这个不均匀的和色散的媒质就以它的光线提供出一幅关于粒子的 一切 动力学轨道的图像。现在我们可以再前进一步,提出这样的问题:我们能不能使一个小的“点状的” 光信号完全 像我们的质点一样运动呢?(到此为止,我们只注意到 轨道 的几何等同性,完全忽略了时间变率问题)乍看起来,这似乎是不可能的,因为质点(沿着路径,即以不变的能量E)的速度
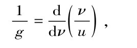
是同光速u成 反比 的[见方程(4),C只依赖于E]。但我们必须记住,u当然是通常的 相 速度,而一个小的光信号却以所谓的 群速度 在运动,令群速度为g,它可以用下式求得
或者,在这里,根据方程(5),可以从下式求得
我们要试着使 g=w。要达到这个目的,我们可以使用的唯一办法是对 C的适当选择,这C是方程(4)中出现的关于E的任意函数。根据(4)、(6)和(7),g=w的假设变成为
由此可知
对于E来说是常数。既然V含有坐标,而C 又必须只是E 的函数,那么,显然只有使第一个因子等于零才能保证这个关系普遍成立。因此
由此得出方程(4)的一个特殊形式:
关于相速度的这个假设是唯一能保证质点运动的动力学定律与我们想象的光传播中光信号运动的光学定律绝对符合的假设。值得指出的是:按照(8),
在u的这个定义中,仍然还有 一种 任意性,这就是说,显然可以用任意加上一个恒量的办法来改变E,如果在V(x,y,z)上加上一个同样的恒量的话。在非相对论性的处理中,这种任意性无法克服,而在这几次演讲中,我们是不准备探讨相对论性的处理的。
现在可把波动力学的基本观念归纳如下:我们以为在旧力学中用描述一个质点运动的方法(即令它的坐标x,y,z为时间变量t的函数)做了适当描述的现象,必须用描述一种确定的波运动的方法来正确地——按照这种新观念——加以描述,这种波运动发生在前面考察过的那类波中,这类波所具有的确定的频率和速度(从而也具有确定的波长),也就是我们认为前面我们称为“光”的那种东西所应该具有的。波运动的数学描述不能用一个变量t的有限几个函数来实现,而需要用比如这样一些函数的一个连续簇,即用一个(或者可能用几个)x,y,z 和t 的函数来实现。这些函数满足一个 偏 微分方程,即满足某种 波动方程 。
用描述波运动的方法正确地描述了 真实 的现象,这种讲法并不一定就完全等于说:真实 存在 的就是波运动。在后面我们将看到,在推广到 任意 力学系统的时候,我们将用广义坐标空间(q空间)中的波运动来描述这样一种系统中真实发生的事情。虽然后者具有完全确定的物理意义,然而把它说成是“存在”的,是不太恰当的;因此,即使是从通常的字面意义上来讲,也不能说这种空间中的波运动是“存在”的。这只是对现象做适当的数学描述。对于我们现在所探讨的单个质点的情况也是一样,波运动也不能过于死板地理解为是真实“存在”的,尽管在这种特别简单的情况中,位形空间和普通空间正好完全一致。
2.通常的力学只是一种近似,它对于非常微小的系统不再适用
在用波动力学描述来代替通常的力学描述时,我们的目的是要得到这样一种理论,它既能处理量子条件在其中不起显著作用的通常的力学现象,而另一方面,也能处理典型的量子现象。实现这个目的的希望就在下面的类比当中。以前面讨论的方法所建立的哈密顿波动图像包含了某些对应于通常力学的
东西
,这就是:光线对应于力学
路径
,而
信号
就像
质点
一样地运动。但是用
射线
来描述波运动只是一种近似(在光波的情况下称为“几何光学”)。只有碰巧当我们所要处理的波动现象的结构与波长相比甚为粗略而我们又只对它的“粗略结构”感兴趣时,这种近似才能成立。波动现象的精细结构绝不能用射线(“几何光学”)的处理来揭示,而且总是存在着这样的波动现象,它们都是那么细微,以至于射线方法是毫无用处,而且也提供不出任何知识的。因此,在用波动力学代替通常的力学时,我们可以指望,一方面把通常的力学作为一种近似保留下来,它只对于粗略的“宏观力学”现象才是有效的;而另一方面,又对那些精细的“微观力学”现象(原子中电子的运动)做出解释,关于这种现象,通常的力学完全不能给出任何知识。至少,如果不做非常人为的附加的假设,是不能做到这一点的,这些假设实际上构成了理论中比力学处理更重要得多的部分。
从通常的力学走向波动力学的一步,就像光学中用惠更斯理论来代替牛顿理论所迈进的一步相类似。我们可以构成这种象征性的比例式:
通常力学∶ 波动力学 =几何光学∶ 波动光学。
典型的量子现象就类比于衍射和干涉等典型的波动现象。
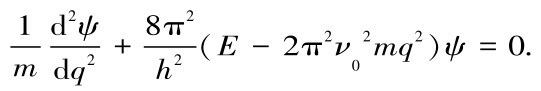
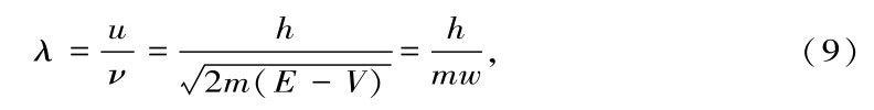
对于这种类比的概念来说,通常力学在处理非常细微的系统时遭到失败,这一事实是有重大意义的。我们能够立即掌握到可预料通常力学将遭到完全失败的那个数量级,并且将看出这个数量级是分毫不差的。这种波动的波长λ是[参见方程(5)和(8)]
即普朗克常量除以质点的动量。现在,为简单起见,取氢模型的一个半径为a的圆形轨道,但不一定是“量子化”了的。那么,从通常的力学(没有应用量子法则)可得到
这里n是任意正实数(对于玻尔的量子化应该是1,2,3,…;后一方程中h的出现暂时只是一种表示数量级的便利方法)。合并上二方程,我们得到
现在,为了使我们能够可靠地应用通常的力学,必须使这样算出来的路径的大小总是要比波长大得多。可以看出,当“量子数”n 比1 大得多时,就是这种情形。当n变得愈来愈小时,λ 对于a 的比率就变得愈来愈不利了。可预料通常力学将遭到完全失败的区域正是我们实际碰到这种情况的区域,即n具有1的数量级的区域,对于那些具有1 个正常原子的大小(10 -8 cm)的轨道,情况就该是这样。
3.把玻尔的定态能级作为波的本征振动频率推导出来
现在让我们考察一下怎样用波动力学来处理一个通常的力学无法处理的情况;比如说,让我们专门来考察一下,如何用波动力学来处理通常的力学中称之为氢原子中的电子运动。
我们将用什么方法来解决这个问题呢?
啊,这同我们要解决那种求弹性体的可能运动(振动)的问题时所用的方法十分相像。只是,对于后者,因为存在着纵波和横波这两类波而使问题复杂化了。为了避免这种复杂化,让我们考察一种装在一个已定的包壳中的弹性流体。关于压力p,我们得到一个波动方程:
式中u是纵波传播的恒定速度,纵波是在流体的情况下唯一可能发生的波。我们必须尽力找到这个偏微分方程的满足容器表面一定边界条件的最普遍解。求解的标准方法就是试用
代入方程,由此得出关于ψ的方程
ψ和p服从同样的边界条件。这里我们遇到一个众所周知的事实,那就是,对于ψ的系数的 一切 数值,即对于 一切 频率ν,不是都能得到一个满足这个方程和这种边界条件的正则解的,而只对于分立的频率ν 1 ,ν 2 ,ν 3 ,…,ν k ,…的无穷集才能得到正则解,这些频率称为这个问题或者这个物体的特性频率或者本征频率(Eigenfrequenzen)。我们称ψ k 为属于ν k 的解(如不考虑相乘的常数,通常总是唯一的),那么,——因为方程和边界条件都是齐次的——带有任意常数c k ,θ k 的
将是一个更普遍的解,而且如果量(ψ k ,ν k )的集是完备的话,它确实是这个普遍解。[说到物理的应用,我们当然只用(11)式的实数部分]
在用波来代替我们想象中的电子运动的情况下,也必须有某个量 p,它满足像方程(10)那样的波动方程,虽然我们还不能讲出p的物理意义。让我们暂时撇开这个问题。在方程(10)中,我们必须取(见前)
这不是一个恒量;因为:(1)它依赖于E,即在本质上依赖于频率ν(=E/h);(2)它依赖于坐标x,y,z,这些坐标包含于势能 V 中。与前述振动流体的简单情况相比较,这就有双重的复杂化了。但这两者都不严重。第一方面,从对E的依赖关系,我们受到这样的限制,就是我们只能把波动方程应用于这样的函数p,它对时间的依赖关系如下:
因此
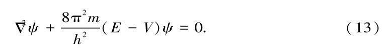
我们用不着担心这一点,因为在任何情况下,在求解的标准方法中也都要做这样的假定(Ansatz)。将(12)和(8)式代入(10),并用 ψ 来代替 p(要注意的是,我们现在同以前一样只研究坐标的函数),我们得到
现在我们看到, 第二种 复杂化(u对V 的依赖关系,即对坐标的依赖关系)只是产生了这样的结果,所得到的方程(13)同方程(10′)相比,多少具有更有意思的形式,这里 ψ 的系数不再是一个 恒量 ,而是同坐标有关的了。这实在是可以预料到的,因为一个表达力学问题的方程不能不包含这一问题中的势能。这种“力学的”波动问题的简化(与流体问题相比)在于不存在边界条件。
当我最初接触这些问题时,我曾以为后一种简化是致命的。由于对数学的造诣不深,我就不能想象在 没有 边界条件的情况下怎能出现本征振动频率。后来,我认识到系数的更复杂形式[即V(x,y,z)的出现]好像起了通常由边界条件所起的作用,即对E的确定值的选择作用。
这里我不能进一步做冗长的数学讨论,也不准备多讲求解的详细过程,虽然求解法实际上同通常的振动问题完全相同,即:引入一组适当的坐标(例如按照函数V的形式,可选用球面坐标或者椭圆坐标)并令ψ 等于几个函数的 乘积 ,其中每个函数只包含一个坐标。我要直接说出关于氢原子问题的结果。这里我们必须令
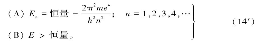
r是电子与原子核的距离。那么,可以看出,不是对于E 的一切值,而只是对于E的下列值,才能够找到正则的、单值的和有限的解ψ:
这个恒量同(14)中的相同,并且(在非相对论性波动力学中)除了我们不能很妥当地令它取通常为简便起见所取的那个值(即0)之外,它是没有什么意义的。因为,如取它为0,(A)式中所有的E 值都将成为负的。而一个负频率,如果它终究还是意味着什么的话,它只能与绝对值相同的正频率意味着同样的东西。那么,为什么一切正频率都是可容许的,而负频率却只能是一组分立的值,这是不可思议的。但是这个恒量问题在这里是无关紧要的。
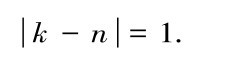
你们可以看到,我们的微分方程自动选择出来的容许的E值是:(A)按照玻尔理论量子化了的椭圆轨道的能级;(B)一切属于双曲线轨道的能级。这是很值得注意的。它表示,不管这种波动在物理上意味着什么,这个理论提供一种量子化的方法,这种方法绝对不需要任意假设这个或者那个量必须是一个整数。这里恰恰给出了整数 如何 发生的观念;例如,假如ϕ是一个方位角,而已知波幅总包含一个因子cosmϕ,m是一个任意常数,那么,m 必定 应该取作整数,因为否则波函数将不是 单值 的了。
你们将会对于上述E 值的波函数ψ 的形式感到兴趣,并将追问是否可用它们来解释任何可观察的事实。事情 正是 这样,但是问题却颇为复杂。
4.氢原子中波系的粗略描述。简并性。微扰
波幅函数的主要特性是:属于那组分立的E n 值(椭圆轨道)的波幅函数随着离原子核的距离的增长而迅速递减,就是说像指数函数 e -const.r 那样,这实际上是将它们限制在这样一个区域之内,这区域的大小和对应的玻尔轨道具有完全相同的数量级。另一些属于双曲线能级的波幅函数递减得不太快,就是说只像r -1 那样。
在上述区域中,“椭圆”函数的详细行为由于以下的理由不能很好地用唯一的方法来描述。属于一个E n 值的一般不只有波动方程的一个解,却正好有n 2 个独立解。从数学观点看来,这是一个例外,那是由于势能V的特殊形式,特别是它的球面对称性。属于一个本征值的解的多重性相当于著名的玻尔理论中属于同一能级的轨道的多重性。玻尔理论中称这为“简并性”,我们在波动力学中仍将保留这个名称。现在,既然方程是线性齐次的,任何带有完全任意系数的解的线性组合也是属于同一本征值的解。大家都知道,在这种情况下,如果另一组解是由第一组解的独立的线性组合形成的,其数目也和第一组解相同,那么,这两组解就无法区别开来。用这种构成线性组合的方法,我们能得到一些呈现出非常不同的行为的解。举例说吧,有这样一组解,它们的节面是:(1)同心球,(2)同轴锥,(3)通过锥轴的平面,你可以由这组解构成另一组解,在那里,同心球和同轴锥被两组共焦抛物面所代替。这还只是最简单的例子。一般说来,取任意的系数,节面系统将复杂得 多 。
属于各个本征值的解的这种多重性(这在通常的振动问题中已为大家所熟知)在原子问题中极为重要。如果没有多重性(例如,对于最低的频率,n=1),那么,势能 V 的一个微小变化,例如相当于加上一个弱外电场,除了使本征值产生微小的位移和使本征解产生微小的变化以外,就不会再引起什么变化了——这就像将一小片金属附加到一个音叉上,只不过稍微改变它的音调和它的振动形式而已。但是一个多重的(比如说 α重的)本征值在这种情况下却显示出这样一种实际的多重性,它分裂成α个稍有差异的不同本征值,其中每一个现在都有完全确定的本征函数,它稍稍不同于属于这多重值的本征函数的完全确定的线性组合。从理论上说来,这种分裂可为最微小的扰动所引起,并且可以由于两种性质不同的扰动而有很大的区别。举例说,一个均匀电场产生前述的抛物面节面,而磁场却产生球面和锥面。
几乎不需要说明,刚才所举两种情况下的分裂正相当于塞曼和斯塔克效应中氢光谱线的分裂。新理论对光谱线的位移所做的定量描述就像旧理论所描述的一样。但是,新理论能够描述更多的东西,那是旧理论所难以办到的,这就是:光谱线的 偏振 状态,它们的 强度 ,特别是 不存在 许多这样的谱线,而要是我们考虑到能级分裂的 一切 可能的差异,我们本可以指望这些谱线是会出现的。我们将立即看到这一点。
5.波函数的物理意义。对于选择定则和光谱线的偏振定则的解释
微扰效应的高度重要性是在于这一事实:简并性一旦被消除,我们就必须立即同唯一地规定的本征函数ψ k 打交道,对于所谓ψ这个量的物理意义所做的任何假说,现在就可以比较容易地加以检验了。
让我们称
为问题的本征值、本征频率和本征函数,它的势能我们设想为是十分不对称的,由此足以消除一切的简并性。那么,带有任意常数c k ,θ k 的
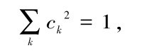
将描述这系统的最一般的“振动”。 [1] 既然每个ψ k 除了可乘以任意常数以外,它本身是唯一地规定了的,为了避免混乱起见,我们将使各个ψ k 都满足归一化条件
或许这里值得一提,这些ψ k 自动地具有一个非常重要的性质,那就是它们是相互“正交”的:
并且它们构成了一个 完备 的正交集;就是说,同它们 全体 都是正交的函数必然是0。(对于用这些ψ k 来把任一函数展开为级数这件事来说,上述这些性质是十分重要的,但我们将不在这里讨论它,因为我们暂时还不需要)
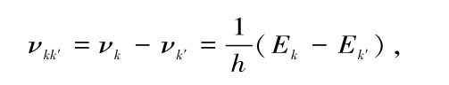
现在回到一般的振动函数(15)。我们提出这样的问题:能否给ψ这个量以一定的物理意义,使得频率为
ν kk′ =ν k - ν k′
的光的发射成为可理解的?行,这是做得到的。但是,说来奇怪,这只有当我们利用 复数的 ψ函数而不是只利用它的实数部分时才能成立,而我们在通常振动问题中是习惯于只取实数部分的。
必须接受的假说是很简单的,这就是令 ψ 的绝对值平方同电密度成比例,这个电密度按照通常电动力学定律引起光的发射。既然 ψ 的绝对值平方是ψ乘以共轭复数值的量(我们称它为ψ),从(15)式立即可以看出,组成ψψ的项是以所要求的频率 ν k -ν k′ 的余弦因子这样的形式来包含时间的。更准确地说,让我们令电荷密度ρ为
这里e表示电子电荷的绝对值。将此式对整个空间积分,并利用方程(16)和(17),我们得出 总 电荷为
这表示我们必须假设
以便使总电荷等于电子电荷(我们有意要这样做)。
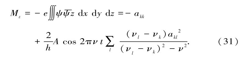
前面已说过,ψ 实际上是限制在几个埃(Ångstrom)的非常小的区域内,因而ρ也是这样。既然频率为ν k -ν k′ 的光辐射的波长要比这个区域大得多,所以,大家都知道,起伏密度ρ的辐射同电矩的z分量为
(类似地可写出x和y分量)的电偶极子的辐射非常相近。从(18)式计算M z ,在简单的演算之后,我们求得
这里a kk′ 是下面的 恒量 的缩写:
而
表示对于所有的(k,k′)
对求和
。因此这些积分的平方(以及相应的关于x和y方向的积分)决定着频率为| ν
k
- ν
k′
| 的发射光的强度。强度并不是由它们单独决定的;振幅常数c
k
当然也起作用。但这是十分令人满意的。因为积分a
kk′
为系统的本性所决定,即为它的本征函数所决定,而不用考虑它的
状态
。a
kk′
是相应的电矩的振幅,如果只有ψ
k
,ψ
k′
这两个本征振动被激发,并且它们具有相等的强度
的话,a
kk′
将由ψ
k
,ψ
k′
这两个本征振动所产生。
(19)式中的第一个和式对我们研究的辐射没有意义,因为它表示电矩的一个不随时间变化的分量。
关于
假说的正确性已经得到了验证,所用的方法就是在那些 ψ
k
已被充分规定了的情况中,即在塞曼和斯塔克效应中计算出a
kk′
。所谓选择定则、偏振定则和这些图样中的强度分布,都可用这些a
kk′
以下述的明显方式来描述,而这种描述和实验完全符合。
一条预期会出现的谱线的 不存在 (“选择定则”)是用对应的 a kk′ 和另 外两个关于x和y方向的恒量 等于零 来描述的。
一条谱线在一个确定方向上的
线偏振
是用这样一个事实来描述的:
只有
对应于
这个
方向的恒量a
kk′
不等于零,而另外两个恒量都是零。类似地,比如xy
-
平面上的圆偏振是这样来表示的:①z
-
恒量等于零,②x
-
和y
-
恒量相等,以及③在方程(19)中相应的余弦函数之间有
的相差。
最后,氢的斯塔克图样和塞曼图像中那些不等于零的分量之间的 强度关系 是由这些a kk′ 的平方值之间的关系来做正确的表示的;这种关系很能令人满意,因为,尽管我们缺乏关于c k 的其他方面的知识,但是关于同一 能级 的精细结构的分量的各个c k 是相等的这个假定是富有启发性的。
当然,不可能在这次演讲中把得出上述结论的任何计算都加以介绍;这样得耗费许多篇幅,虽然毫不困难,但却非常烦琐。但不管它们怎样烦琐,令人惊奇的是,一切人所熟知的但却不为人所理解的“定则”从
非常
平常而又基本的并且绝对令人信服的分析中一个接着一个地显示出来,这就像
除n=m外都等于零这一事实一样。当人们一旦做出了关于
的假说,就不需要也不能够做出任何附加的假说;如果这些“定则”不能正确地显示出来,那么谁也帮不了我们的忙。但是,很幸运,它们正是这样地显示出来了。
我想我应当提醒大家注意我只在开始时简略地提到过的另一个事实,即玻尔的非常基本的“频率定则”:
也可以说是为
假说所解释。在原子中存在着确实以
观测到
的频率在振动着的某种东西,这就是电密度分布的某个部分,或者,如果你愿意,也可以是
的某个部分。
这可能引导我们去做这样的猜想:只有ψ函数的绝对值的平方才有实在的意义,而ψ函数本身则没有实在的意义。而这种设想又会引起这样一种愿望,即想用一个直接描述
的行为的方程来代替波动方程。为了打消这种愿望,我要提醒你们回想一个事例,在这个事例中,由于完全类似的理由或许会引起类似的愿望;但你们全都会承认,要追求这种愿望是注定要失望的。
麦克斯韦方程描述电磁矢量的行为。但这些都不是真正能够观察到的。唯一可以观察到的是有质动力(ponderomotive forces)或者能(如果你愿意的话),因为这些力都是由虚能差所引起的。但所有这些量(能、麦克斯韦应力)都是场矢量的 二次 函数。因此,我们或许会期望用别的方程来代替麦克斯韦方程,这些方程可直接决定场矢量的可观察的 二次 函数。但是任何人都会同意,这无论如何意味着很大的麻烦,而且没有麦克斯韦方程实际上也就不能做到这一点。
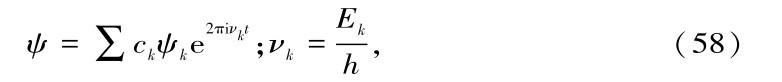
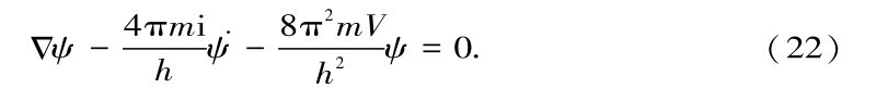
6.含有时间的波动方程(就其本来的意义而言)的推导
我们用来研究氢原子的方程
仅仅提供振动振幅在空间中的分布,它对时间的依赖关系总是由下式表示:
频率的值E在方程中出现,所以我们实际处理的是一组方程,其中每一个方程只对一个特殊的频率成立。事情正如同在通常的振动问题中一样;我们的方程对应于通常所谓的“振幅方程”[见第3节,方程(10′)]
而不对应于
前面已讲过从后一方程导出前一方程的方法(即假设 p 是时间的正弦函数)。现在的问题是从相反的方向进行类似的推算,即要消去振幅方程中的参数E,而用时间导数来代替它。这很容易做到。取方程组(13)中的 一个 (具有一特殊的E值),然后,从(21),我们得到
利用这个关系,我们从(13)得到
不论E取什么值,都可以得到 同样 的方程(因为 E 已消去)。因此方程(22)对任何本征振动的线性组合都将成立,即对于那种作为这问题的解的最一般的波运动,这方程也是成立的。
我们可以进一步尝试在势能V明显地包含时间变数的情况下也利用这个方程。这究竟是不是一个正确的推广,并不是显而易见的,因为可能遗漏了那些包含 这可能引导我们去做这样的猜想:只有ψ函数的绝对值的平方才有实在的意义,而ψ函数本身则没有实在的意义。而这种设想又会引起这样一种愿望,即想用一个直接描述
等等的项——从我们得到这个方程的方法看来,它们或许是有可能进入方程(22)的。但是成果会证明我们的做法是否正当。当然,要做出假定,说方程(13)中的V是明显地包含时间的,那是荒谬的,因为限制这个方程的条件(21),在一任意变化的V函数的情况下,会使这个假定不可能满足(13)。
7.受交变电场微扰的原子
这个推广使得我们能够解决这样一个重要问题:在交变外电场即入射光波的作用下,原子的行为是怎样的呢?这是一个非常重要的问题:因为它不仅包含次级辐射特别是共振辐射的机制,并且还包含在适当频率的入射辐射作用下原子态变化的理论,此外,还有折射与色散的理论;因为,众所周知,色散——我指的是一种折射率的现象——是由于初级辐射和所有次级子波的叠加而形成的,这些次级子波是物体的每单个原子在初级辐射的作用下发射出来的,它们和初级辐射同相。如果入射电矢量E使得每个原子发射一个次级子波, 就像 电矩偶极子所发射的一样:
式中α是一个恒量。如果单位体积中有Z个原子,那么,它们将使折射有一个增量
因此,研究α的值(它通常依赖于频率)就意味着研究折射与色散的现象。
为了考察原子在交变电场作用下的行为,让我们设想方程(22)中的V是由两部分组成的,其中一部分描述原子内部静电场V 0 ,而另一部分描述光场Aez cos 2πνt; A,ν表示光场的振幅和频率,我们假定这光场是沿z方向而偏振的(电子电荷的负号已经考虑到了,这里的 e 是一个正数)。因此方程(22)成为
我们将设想A较内部场(用V 0 表示)小得多,并用近似法解这个方程。如果A是零,我们将通过假设(21)而回到方程(13)(不同的仅仅是以记号V 0 代替V)。我们将假设未受微扰的原子的问题已完全解决,它的归一化本征函数和本征值是
因此,当A=0时,(25)的最普遍解是
式中各个c k 是任意复数值恒量。
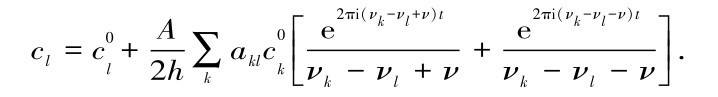
我们将试用(26)去满足仍带有A的方程(25),但是(26)式中的c k 现在要随时间做微小的变化(恒量变值法)。考虑到这一点,并考虑到 ψ k ,hν k 是未受微扰方程的本征函数和本征值,将(26)代入(25),我们很容易得到
如果左端对于正交函数ψ k 的 完备 系展开的 全部 系数和右端相应的展开系数恒等(对于任何时间都恒等),则这个方程将被满足。因此,乘以 ψ l 并对整个空间积分。取缩写(见第5节)
那么,由于各ψ k 的归一性和正交性,我们得到
这个常微分方程的无穷集是和(27) 等价的 。分离 ̇c l 并将余弦分裂成指数函数,我们将它写成
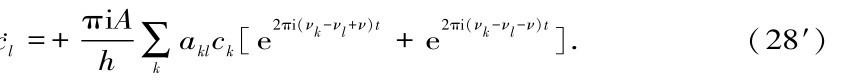
到这里为止,我们还没有利用任何近似方法。现在我们将用两种不同的方法来进行这一工作,一种方法导出了次级辐射理论(不包括共振的情况)和色散理论,而另一种方法则提供了共振的情况和原子态的变化。
8.次级辐射理论和色散理论
在方程(28′)中,我们首先假设所有在指数上出现的组合
较
的数量级要
大
得多。这表示入射频率和任一个自发射频率的
差
要比原子从外场得到的
势能
所对应的频率大(完全
共振
或接近
共振
时除外)。从这个假设来看,方程(28′)表示c
l
的
全部
时间导数都比指数函数的时间导数小。在说明了这一点之后,让我们在(28′)中的任何一个方程的右端取出任一指数函数。我们可以假设,在指数函数的一个周期中,它的系数c
k
是一个恒量。因此,
这
一项将只使c
l
(左端的)产生一个小的周期振荡,当指数函数经过一个周期以后,这个 c
l
将恢复到原状(或者差不多如此)。但是同样的情况对
所有
指数函数都成立。因此
所有
的c围绕它们的平均值进行很多的微幅振荡,当A消失时振荡当然也就消失。因此,我们可以用一些恒量来代替方程组(28′)
右
端的各个c,就是说用它们的平均值去代替各个c,因为略去微幅振荡以后,这里只省略了那些带有A
2
的项。我们用
表示所说的恒量。现在这些方程很容易积分了。我们得到
因此,我们的解(26)中的第l项将是
虽然我们还没有到达能和实验相比较的地步,但我们还是要用文字来描述那些在入射光波作用下按照方程(29)而发生的事件。不论每一个本征振动ψ
l
本身是否一开始就是受激的,它都会被迫进行许多小的附加的受迫振荡,那就是,每一个被激发到相当程度的本征振动
都给了它两份“赏赐”。如我们所说的:ψ
l
因受到 ψ
k
的“赏赐”而进行的两个受迫振荡的频率是ν
k
±ν,那就是入射频率同“赏赐”的本征振动频率的和与差。它们的振幅是同外场的振幅和“赏赐的”振动的振幅两者都成比例的;它们也包含一个因子a
kl
,这是一个恒量,它掌管着那个频率为|ν
k
-ν
l
|的自发射的强度。而且,在两个受迫振幅中出现了两个“共振分母”,当入射频率接近自发辐射频率|ν
k
-ν
l
|时,它们使得两个振幅中的一个急剧增大。
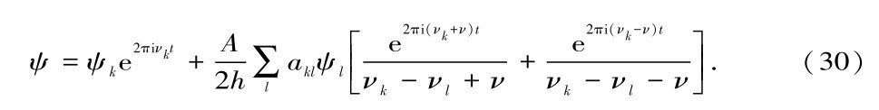
在从(26)和(29)得出完全解以前,我们不妨只限于处理最重要的情况,那就是只有 一个 自由振动(比如说是ψ k )受激的情况:
我们可以设想ψ k 对应于正常状态。那么,在方程(29)的右端,第一项(除了l=k外)和连加号都可以略去,并且我们为了求完全解,得到[把方程(26)中的k用l来代替]
(注意 现在 指数已同求和指数l无关;只有 两个 受迫振动的频率存在。)
为了得到次级辐射的知识,我们从(30)式构成合成电矩的分量 [2] M z 。在化简之后,省略二阶的微小项(同A 2 成比例),我们得到
第一项-a kk 同时间无关;它是由于自由振动 ψ k 的受激而形成的恒定电矩。我们在这里对它没有什么兴趣。第二项决定次级子波。它的频率与入射电力(Acos2πνt)的频率相同。它的相与入射电力相同或者相反,这要随ν≶ν l -ν k 而定,就像在经典理论中一样[如果ψ k 对应于正常态,所以ν l -ν k 永远是正的,这个关系就成立;如果 ν l -ν k 是负的,则相反的关系成立;色散公式的克拉麦斯(Kramers)项]。从(31)式的右端第二项除去Acos2πνt就求得了方程(23)中的量α,根据表示式(24),它是决定对折射率的贡献的。分母(ν l -ν k ) 2 -ν 2 提供了所有 那些 包含ψ k 的指数k(记住我们曾假定只有ψ k 这一个自由振动被激发)的 发射 (或吸收)频率附近的反常色散现象。分子中的 α kl 2 与那个决定自发射|ν k -ν l |的强度的量相同。在所有这些方面,这公式是亥姆霍茨老公式(为克拉麦斯的“负”项所补充)的完整的摹本,它被认为是同实验完全符合的。
另外两点也是值得提出的。你们都知道托马斯(Thomas)和库恩(Ku-hn)提出了关于色散公式中全部系数的 总和 的假说,在我们这里是
按照他们的见解,这应当等于有关 一个 受弹性束缚的电子的系数值,就是说,它必须等于
(在我们这里是乘以 1 ,因为我们处理的是 单 电子原子;一般说来,应当乘以一个整数)
对于我们的色散公式,上述二量的相等是能加以 证明 的,但证明有点儿冗长,因此我要省略它。
第二个注意点如下:也许你们记得那个首先由斯梅卡(Smekal)提出的讲法:频率不同于入射辐射频率ν的次级辐射( 因此 没有相的关系, 因 此没有折射现象的影响)也应当是存在的。预期的频率是
如果我们放弃只有 一个自由 振动是受激的这样的简单化的假定,而假设它们之中至少存在着两个,比如说 ψ k 和 ψ k′ ,那么现在的理论所给出的正是这些频率的次级辐射。
9.共振辐射理论,频率与自然发射频率一致或接近一致的入射辐射所引起的原子态变化的理论
在上节的开头,我们曾必须假设像
那样的全部组合都有不可忽略的大小,这表示入射光的频率ν不能与所考察的原子的任何自然频率极其接近,现在我们要研究入射频率非常接近于一个自然频率的情形。为了集中我们的思想,设
(“很小”意味着数量级为Aa kl /h或者更小,也可能为零)
回到方程(28′),你们现在会发现方程组的右端有两个指数项都是缓慢地变化,这就是
前者出现在第l个方程中,后者出现在第k个方程中。(我们将立刻看到)不管入射波的振幅A可能是多么小,这些项现在使c k ,c l 两个量发生了很可观的“久期的”变化。而所有其他指数,如以前一样,只引起小的周期性扰动。因此,有理由略去它们,因为我们现在处理的是更为粗糙的现象(就是c k 和c l 的可观的久期变化)。我们甚至可以设想,其他的c全都是零;这并没有什么关系,因为它们在我们所指望的准确度范围内都必然是恒量。为了决定c k 与c l ,我们从(28′)得到两个简单的方程:
其中的简写为
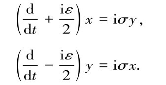
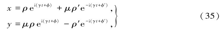
为了解这两个方程,我们引入新的变数x,y,取
结果可改写为
这些方程都有常系数,也都容易用熟悉的方法解出。解可以写成下列形式:
其中的简写是
① 严格地说,ε应等于2π(ν k -ν l +ν)。——译者
而ρ,ρ′,
是
任意
的实恒量,如果你愿意,可以令它们不是负的。我们可以把(35)写成下列形式:
其中的简写
从(37)我们很容易得出 x 和 y 的绝对值的平方,也就是[由方程(34)] c l 和c k 的绝对值的平方,从而我们得到问题中两个振动间变化着的强度分布的知识——这是主要的意义所在。我们得到
这些 强度之和是恒量 ,正如所预期的一样。可以认为它是由三个部分所组成,其中有两个“部分”不变地固定在两个振动级上,第三“部分”(就是4μρρ′)在它们之间缓慢地振荡。为了集中我们的思想,让我们考察这样的一种情况,在这种情况下,全部强度在某一个时刻都集聚于一个振动(比如说下面的一个振动c k )。在选择适当的t值以使cosθ=0的同时,这要求
那么,我们就得到强度的振荡部分和总强度之比为
利用由(36)式可以明显看出的事实,即
我们看到,当ε=0时, 总 强度是振荡的。从(33)式可以看出,ε=0意味着锐共振的情形。如果共振是不完全的,那么(40)表示只有某一部分强度在振荡,当缺少共振时,即当ε较(33)式规定的σ 大得多时,振荡部分就变得微不足道了[σ的数量级是原子在光波的电场中由于第k个和第l个振动方式的合作而形成的电矩所获得的 势能 (除以 h)]。如果能够构成入射光振幅A的全面观念的话,量 σ 在一定意义上会给出共振线的天然锐度的度量。我们不拟在这里讨论这个问题。
这里粗略地提出的理论既描述了由于适当的频率的辐射而引起的原子态的变化,也描述了共振辐射的出现。由于 两个 振动 ψ k 和 ψ l 的存在,当然会引起它们的天然发射。值得指出的是,由于方程(34)中出现的指数,这种发射的频率 不 应该正好等于ν l -ν k ,而是应该正好等于入射光波的频率ν。
10.波动力学向非单质点系的扩展
到此为止,我们只对一种很简单的系统应用了波动力学方法,这系统就是一个在不变的力场或随时间而变的力场中运动的单质点。现在我们要着手研究完全任意的力学系统。我们或许在以前就可以做到了这一点;对前面谈过的关于交变电场作用的一切,只要稍加修改,就可以应用到任意的系统上去,即多电子原子上去。但是我想,在我们的心目中有一个清晰而简单的实例,似乎更好。
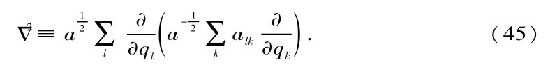
在第一次演讲中所做的关于基本波动方程的推导很容易扩展到完全任意的系统,唯一的差别就是发生波传播的“空间”不再是通常的三维空间,而是“位形空间”。
让我们回忆一下曾作为我们的出发点的哈密顿-莫培督原理,就是
令
我们就将(1)变换为
然后我们将它同关于波传播的费马原理
作比较,这就使我们得到
现在,T
一般不
取
这种简单形式,而取
式中b lk 是广义坐标q l 的函数。我们现在用下式来定义广义的q空间中的线元ds:
或者
后式所描述的广义非欧几里得几何正是哈因利希·赫兹(Heinrich Hertz)在他的著名的力学中所应用的几何学,这种几何学使他在处理一个任意系统的运动时,在形式上可以像处理一个单质点的运动一样(在一非欧几里得的多维空间里)。将这种几何学引用到这里,我们很容易看出第一次演讲中导出基本波动方程的一切考虑都可以转换过来,甚至在形式上还稍有简化,就是说我们必须取m=1。用完全像以前一样的方法,我们得到
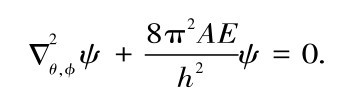
而最后得到的波动方程(或者比较恰当地说,是振幅方程)是
关于在本来意义上的波动方程,正和以前一样(第6节),我们得到
但是,
现在既
不能
理解为三维空间中的初等拉普拉斯算符,也不能理解为多维欧几里得空间中的初等拉普拉斯算符(就是关于单个坐标的二阶导数之和),而应该把它理解为拉普拉斯算符在具有像(42)那样的广义线元的情况下的众所周知的推广。在处理广义的问题时,我们常能避免写出这种运算的明显的表示式;我们只需要知道它是一个二阶自伴(Self-ad-joint)微分算符(不必介意你是否了解“自伴”的意义,此刻这并不重要)。但为了完满起见,我要写下 Δ
2
的一般表示式。设a
lk
是对应于b
lk
的子行列式除以行列式
。令a表示a
lk
的行列式。那么
在笛卡儿坐标中处理质量为m 的单质点的例子中,这个式子简化为
乘上初等
算符(就是
)。或者,如果你选择任何别的坐标,例如极(polar)坐标或椭(elliptic)坐标来描述单质点的运动,你会得到
乘以那个转换到这些坐标的初等
的表示式。如果这系统是由n个自由质点组成,你可以把各个初等拉普拉斯算符除以相关质量,然后再加起来。
现在这种形式的理论可以应用到任意大于、等于、小于三个自由度的系统。我将很快地说明少数例子,如果它们没有什么物理意义,我将不做详细的计算。
11.例:振子,转子
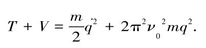
举一维谐振子为例。在通常的力学中能量的表示式可以取为
(我们已将势能的系数用由它所引起的经典本征频率ν 0 来表示)
由此很容易导出振幅方程:
可以证明,只有对于下列E值,这个方程在沿实q-轴的解才是有限的:
本征函数就是所谓正交厄米函数
其中
H n (x)是所谓的n阶厄米多项式。(47)式的头5个函数的图形如下图2。
虽然,理论上它们可以伸展到无穷远,实际上它们被指数函数限制在这样一个区域里,它的数量级与对应的经典力学质点的振幅的数量级相同(这很容易证明)。我们尚未讨论我们的广义ψ函数的物理意义。然而下面的陈述是颇有意思的:如果各ψ n 是单电子问题的本征函数,而q 是直角坐标之一,我们应当用积分
图2根据波动力学得出的普朗克振子的头5个本征振动。在本图中,在-3≤x≤+3区域之外,这五个函数全都单调地趋近x轴。
的平方来估计(按照
假说)频率为
在q方向偏振的发射的强度。如果
在这里
我们也试图这样做,我们就得到一个最令人满意的结果,就是说,积分
等于零
,除了
这意味着除了频率为1.ν 0 以外,全部发射频率都是不许可的。后面我们将回到普遍情况下的ψ的物理意义问题。
用另一个一维问题作为第二个例子:其轴在空间中固定的简单转子。这里全部能量都是动能,就是
这里A=转动惯量,φ=转动角。振幅方程成为
这方程有解:
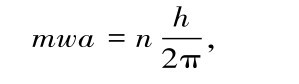
显然,必须限制ψ为以2π为周期的φ的周期函数。因此φ的系数必须是一个整数;这个条件提供了本征值
这同量子论的旧形式 完全 相符。现在让我们如前面一样地试图对辐射强度做一估计。在通常力学中,如果一个带电粒子固定在离转子重心距离为a的地方,它的直角坐标是
现在构成
既然头两个
函数的乘积总是能用
的和或差来表示,那就容易看得出,除非|n+k|或|n-k|等于1,或者,实质上也等于说,除非|n-k|=1,上式中所包含的8 个量都将等于0。这是众所周知的关于转子的选择定则。现在不假定转子的轴在方向上刚性地固定的,要处理这样的转子是颇有意思的。我们求得振幅方程为
这里
表示初等
算符(当用极坐标表示时)中只包含着对θ,φ这些角微分的
那个
部分。已知上面的方程式只有当常数为两个相接连的整数的积:
时,它的解才是有限的、单值的,而且此解是n阶的球面谐函数[本征值E n 是(2n+1)重简并的,因为有2n+1个独立的n阶球面谐函数]。这给出了本征值
这主要意味着“经典”的公式(48)中的 n 应当由“半整数”来代替[因为
,而在
所有
E
n
中的一个共同常数在构成它们的差时被消去]。已经知道,带光谱的表示常常
不得不
使用“半整数”,并且它们似乎全都同新公式相
符合
[当然,在使用时,正确的公式是(49)式而不是(48)式,因为分子的轴绝不是刚性地固定下来的]。选择定则可用那个和前一例子中完全相同的方法得出,只是要通过更为麻烦的计算。
12.关于氢原子中核运动的校正
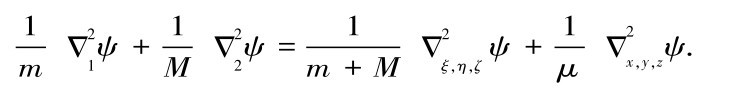
在第一次演讲中,我们把氢原子当做一个单体问题来处理,就像它的核是固定于空间中的一样。在通常力学中,人们都熟知,如果我们从二体(质量为m和M)问题开始,我们可以把问题分离成为两个部分,就是:
① 重心的匀速直线运动(惯性运动)。
② 一个具有“并合质量”μ的物体绕一固定中心的开普勒运动,其中
按照玻尔的理论,对氢原子的这种精密的处理可以从He + 谱线同 那些 氢谱线之间的频率的微小差异而得到定量的支持,如果原子核具有无穷大的质量,He + 谱线就该同那些氢谱线完全重合(换句话说,只要考虑到核的微小运动,He + 和 H 的里德伯恒量间的微小差异就可以定量地算出;索末菲)。
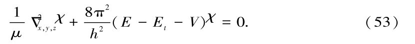
我们在波动力学中碰到完全相同的情形。二体问题的六维振幅方程是
和
分别表示对于电子的坐标(x
1
,y
1
,z
1
)和原子核的坐标(x
2
,y
2
,z
2
)的初等拉普拉斯算符。关于V,我们只需假设它仅仅依赖于
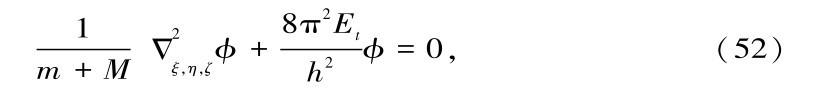
现在,引入重心的坐标(ξ,η,ζ)和 m 对 M 的相对坐标(设为 x,y,z)来代替x 1 ,…,z 2 。我们很容易证明
各
的意义是很明显的;μ 由(50)式给出。将此式代入(51),我们得到这样一个方程,只要假设ψ是一个只包含ξ,η,ζ的函数(设为φ)和另一个只包含x,y,z的函数(设为χ)乘积,这个方程就可以分离成为两个部分。在分离时,引入这样一个恒量,它在下列方程中用E
t
表示。对于φ,我们得到
而对于χ,我们得到
前一方程按照波动力学描述了不受力的重心的运动;常数E t 对应于它的平动能量并且可以取任何正值。E-E t 对应于内能。第二个方程正好是关于在固定场V中运动、具有质量μ的单体问题方程。因此,对应于内能的本征值同(14′)式只有一个区别,就是其中里德伯恒量中的m应由μ来代替。这样,前面提到的索末菲的重要结果在波动力学中得到了新的讲法。由于这种推导在分析上的简单性,在文献中关于这个问题未曾有过什么争论。但这实际上是多维波处理中必定有某些东西是正确的这一点的最直接证明之一——尽管起初多维波处理也许是令人不满的。
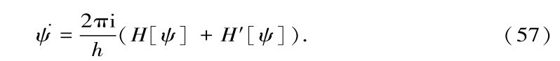
13.任意系统的微扰
和单电子原子的微扰理论相比,任意系统的微扰理论实际上并不显示什么新的特征。单电子原子微扰理论的一个特例已在第7—9节中做了讨论;但我们将重新用一种简明的方式来论述任意系统的微扰理论,以开阔我们的眼界。第10节的广义波动方程(44)可以写为
我们要用H来代表 算符
(V作为一个 算符 意味着“乘以V”)
那么,由第10节(43)式可以看出,本征函数正是 那些 受算符 H 作用后 再现 的函数,且不管一个作为本征值而同它们相乘的恒量:
方程(54)可写成简单的形式:
现在,给V加上一个小的微扰场(它可以是也可以不是明显地含有时间),这意味着把算符H稍加改变(当然,也可以用其他方法引起H的变化,例如改变其中的一个质量,等等。而且也不妨把这种更加一般的情形包括在我们的处理中)。我们把这个改变后的算符叫做H+H′,同时要记住H′必定是一个“小”算符。我们必须解
试代入带有缓慢变化的时间函数c k 的
我们在最初得到
这个方程将得到满足,如果它和所有的 ψ l 都正交的话。 [3] 乘以 ψ l 并在整个位形空间中求积分:
这里
而
总是表示在整个位形空间中求积分。各个a
lk
都是
微小的
量。
我们要假设微扰是保守的。在这种情况下,a lk 就都是恒量,正如以前所处理的一些特例一样,只有指数为零的那些指数函数才使各个 c l 有不可忽略的变化。首先,认为系统是非简并的。这样,略去只提供微小振荡的其他项,对于每个c l 你可以得到
如果你将它代入(58)式,这就不过是意味着频率稍有改变,其改变量是
现在,考虑一个简并的例子。设振幅c l ,c l+1 ,…,c l+α-1 属于α个不同的本征函数,这些本征函数全都是属于同一个本征值E l 或本征频率ν l 的。那么在同它们有关的每一个方程中,你会得到不仅仅是一个而是α个等于零的指数,它们都是引起久期变化的。因此这α个振幅将由下面一组方程来决定:
这些方程表示,在很小的微扰的影响下,在属于同一本征值的简并振动方式之间,一般将有振幅的交换。说它是一种 交换 ,那是正确的,因为从方程(62)容易证明
然而当想到这种交换时,我们必须记得本征函数组 ψ l+ρ (ρ=0,1,2,…,α-1)是可以任意地进行行列式为1的正交线性变换的。这引导出振幅c l 的类似的变换。给定一个确定的微扰,即给定 a l+λ,l+ρ 这些量的确定的值,至少总能够找到各个 ψ l+ρ 的一种正交变换,它可以把方程(62)转化为非简并情形的简单形式(61)。这样,用一种适合微扰的这种特殊形式的方法所选定的这些特殊的本征函数,在微扰的作用下,会有 恒定 的振幅平方值,但它们一般将会属于稍有差别的本征频率。α重本征值已经被分裂为α个稍有差别的本征值;简并性为扰动场所消除,而这个简并问题中所特别选定的本征函数,都成为这样的一种非简并本征函数,它们同这微扰问题的各个本征值都是“零级近似”的。本征值的α个微小的改变量可以用“久期方程”
的α个根来表示。
当然,还可能碰到这些根并非全都不同的情形;这时,某种程度的简并性仍然保持着。我们或者可以说,一组任意选定的简并函数中的各个函数都以未受微扰的频率在振动,但交换它们的振幅;——或者可以说,这组适当的函数中的各个函数都有固定不变的振幅,但每个函数都有稍微不动的频率:这样两种说法当然是相同的。因为——我们可以说明——或者是:一个具有变动的振幅的振动并没有真正获得我们认为它该有的那个频率;或者是:两个或者更多个稍有不同的频率,在它们相互叠加时,就引起了“节拍现象”,就是说,引起了振幅的变化。
14.两个任意系统间的相互作用
现取起初没有相互作用的两个任意系统,其中之一是按照波动力学[参见方程(56)]由
来描述,而另一个则由
来描述。将第一方程乘以ϕ,第二方程乘以ψ,然后将二者相加;你可得到
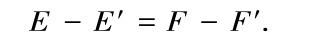
因为算符H并不影响 ϕ,而算符 L 并不影响 ψ。最后的方程是“并合系统”——即 想象上 把这两个系统合而为一——的波动方程。(所用的方法恰好和“分离”方程时所经常使用的方法相反,而分离方程时假设解是两个各自依赖于不同的单个变量的函数所形成的乘积。)并合系统的本征函数是第一个系统的任一本征函数和第二个系统的任一本征函数的 乘积 。不难看出,这样两个本征函数的乘积的本征值是各个本征值之 和 (这相当于通常力学中的能量的可加性)。单个系统即使是非简并的,但由于本征值的相加,在并合系统中却有可能出现 新的简并性 (为简单起见,让我们假设是前一种情形)。设 E,E′是第一个系统的两个本征值,F,F′是第二个系统的两个本征值,并假设
或
由此可见,如果两个系统之间存在共同的 本征值差 ,那就会出现并合系统的一个二重简并的本征值G。为简单起见,假设没有别的这一类的关系, 现在 再假设两个系统间发生一个微弱的 相互作用 ,将算符 H+L 改变为H+L+T,这里T当然会既包含第一系统的变量又包含第二系统的变量。那么,属于E+F′和E′+F 的振幅会现出一种缓慢的、久期的交换,而所有其他振幅则基本上保持不变。所讨论的两个振幅的平方和也是常数。从这两个单个系统看来,这只能这样进行解释:F的振幅因F′的振幅的减少而增加,并且好像是用来补偿E′的振幅一样,而E′的振幅的增加又是以E的振幅的减少为代价的。这似乎是旧量子论中所谓一个能量子E-E′(=F-F′)从一个系统传递到另一系统的适当的波动力学描述。
图3
15.广义ψ函数的物理意义
以上那些结论或许会由于下面这个事实而显得暧昧难解了,这就是,迄今为止,我们没有对函数ψ(q
1
,q
2
,…,q
n
,t)的物理解释提出任何明确的假说,这个函数是有关这样一个系统的,它的位形依据通常力学是用广义坐标q
1
,q
2
,…,q
n
来描述的。这种解释是一个很微妙的问题。在一般力学系统的情况下,下述观点或许是把电子电荷按照相对密度函数
而扩展开来的这种做法(这种做法在单电子已提供了令人满意的结果,见第 5节)的一种明显的推广:真实的自然系统的行为并不像通常力学为它(例如一个具有确定位形的点电荷系统)所建立的图像那样,而却像把这个系统(用q
1
,q
2
,…,q
n
来描述)按照相对密度函数
在它的整个位形空间里
扩展开来而得到的结果。如果一定要用到通常力学图像的话,那么,这就该意味着,实际系统的行为就像这样一幅通常力学的图像:在这图像中,这系统在同一时刻出现在它的一切可能的位形中,不过,在其中某些位形中要比在其他位形中表现得“更强”一些。
我曾在某一时期抱着这种观点。这种观点证明是很有用处的,这可由单电子问题(见第5节)中看出。 没有 任何别的关于ψ函数的解释能够使我们 理解 那些恒量a kl 所提供的关于辐射强度和辐射偏振的大量知识。但是这种说明问题的方法肯定是十分不能令人满意的。因为,在以上那些句子中,“其行为像”什么的说法到底是什么意思呢?ψ函数的“行为”,即其随时间的发展,绝不是受经典力学定律这类东西支配的;它是受波动方程支配的。
有人提出了一个关于 ψ 函数的明显的
统计
解释,认为这种函数完全不和单个系统发生关系,而只是和一个系集(assemblage of systems)发生关系,
确定那些会出现在某一确定位形中的系统(在整个系集中所占的)比率。这种观点有点儿不能令人满意,因为它完全没有说明a
kl
这些量何以能够提供它们确实已提供的一切知识。关于这种统计解释,据说,对于任何一个按照原子的经典图像会有确定的物理意义,并且在原则上(prin-cipiell)是可以量度的物理量,都有一些确定的本征值是属于它的(例如有些本征值E
k
是属于能量的);而且据说对这样一个量的量度结果,总是这一个或那一个本征值,而绝不会是介乎两个本征值之间的。在我看来,这种说法似乎包含着一种颇为模糊的概念,那就是对于一个量(例如能量或动量矩)的
量度
概念,这种概念和原子的经典图像有关,也就是和一种显然错误的图像有关。按照那种我们明知道是错误的图像来解释量度,岂不是有点冒失吗?按照我们终将被迫接受的图像,这些量度会不会具有一种完全不同的意义呢?例如:让一束电子射线穿过汞蒸气之前和之后来量度该电子束在一个电场和一个磁场中的偏斜。按照旧概念,这可以解释为关于汞原子能级差的量度。波动图像则提供了另一种解释,那就是:一部分电子波的频率减小了,其减小量等于汞的两个本征频率之差。说这两种解释不互相抵触,而旧解释是可以同新解释一起站得住脚的,难道这是完全可信的吗?说在宏观现象中不可缺少的能量概念,在微观力学现象中会具有任何别的不同于每 h 秒的振动次数的意义,难道这是完全可信的吗?
(本文是薛定谔 1928 年在英国皇家研究院所作的四次演讲的讲稿。——编注)
(范岱年 译)
[1]
这里我们没有考虑到那种对应于双曲线轨道的“连续谱”。我们或者可以设想这些振动方式不存在,或者认为
包括一个作为极限情形的积分,为了适当地估计到本征值的连续区域,这个积分是必须加上的。然而,我总希望避免公式的不必要的累赘。
[2] 一般说来,对于各向异性的原子,还有M y 和M x (与入射辐射的偏振正交)。这里我们不想讨论它们。
[3] 就本征函数的完备性和正交性说来,一般的情况是同简单的氢原子的情况一样的,这一点我们认为是理所当然的。这是十分可靠的。我们也同以前一样,不明显地考虑本征值的 连续 谱,以避免公式的过分累赘。