



1971年,Ockendon J R和Tayler A B [90] 用具比例时滞的微分方程形式描述了电动机弓头运动轨迹的数学模型,这是最早出现的具比例时滞的微分方程模型。此后,人们在生物、数论、电动力学、天体物理学、非线性动力系统、量子力学等领域都发现了可以用此类微分方程来描述的各类问题,于是比例时滞微分方程解的定性性质引起了数学界的广泛关注。
一阶时滞微分方程的简洁形式可写为如下形式 [91,92] :
其中, f 、 φ 为已知函数,且当 t ≥ t 0 时, φ ( t )≤ t 。
式(1-10)的初始函数为
其中, ξ ( t )为已知向量函数。
根据时滞是否有界,可以把时滞微分方程分成有限(有界)时滞微分方程和无限(无界)时滞微分方程两大类。
定义1-17
称式(1-10)为有限时滞微分方程,如果
。
定义1-18
称式(1-10)为无限时滞微分方程,如果
。
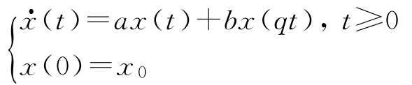
两类最典型的一阶线性时滞微分方程为
和
其中, a 、 b 为常数, τ >0,0< q <1。
易知,方程(1-11)的解在区间[ t 0 ,+∞)内是解析的,而方程(1-12)的解起初是非光滑的,但随着时间的推移而越来越光滑,即它的解具有平展性。因此,对时滞微分方程的定性理论进行研究时,区分有限时滞和无限时滞是非常必要的。
式(1-12)通常被称作为比例时滞微分方程,它是无限时滞微分系统中又一类非常重要且有较强实际应用背景的微分方程。习惯上把具有比例时滞的泛函微分方程统称为比例时滞微分方程。
在过去的40多年里,比例时滞微分方程已经吸引了国内外大量学者的研究兴趣 [91-118] ,Fox L [92] 、Kato T、MaleodJB [93] 、CarrJ、DysonJ [94-95] 、Kuang Y [96] 、Buhman M [97] 、IserlesA [98-101] 、Liu Y [102] 等学者为比例时滞微分方程的发展奠定了理论基础。1971年FoxL和KatoT等 [93-94] 详细地描述了比例时滞系统的工程背景。1976年,CarrJ和DysonJ [95-96] 对线性微分方程 y′ ( x )= ay ( λx )+ by ( x )进行了研究。1990年,Kuang Y [97] 研究了线性中立型延迟方程的单调和振荡解。1992—1997年,Buhman M、Iserles A和Liu Y K [97-101] 研究了几类比例时滞微分方程解析解的性质。1996年Liu Y K [102] 将通过非线性变换将比例时滞微分方程转化为变系数常时滞微分方程,给出了研究比例时滞微分方程的新途径。1997年Liu Y K [103] 又给出线性比例时滞微分方程关于参数变化的数值算例。进入了21世纪之后,具比例时滞微分方程又有了进一步发展 [91,104-118] 。
众所周知,有限时滞微分方程的定性理论研究体系简洁规整,已日趋完善。而无限时滞微分方程的基本理论在1978年才初步确立,且理论体系繁琐冗长,尽管取得了一些研究成果,到目前为止还很不完善。比例时滞系统作为重要的数学模型在物理学、生物系统与控制理论等领域起着越来越重要的作用。又由于比例时滞微分方程的解析解很难求得,有时即使理论上可以验证解是存在的,也无法写出其解析表达式。Liu Y K在文献[103]中指出:无限时滞微分方程在解的解析性和数值解法方面与有限时滞微分方程的相比都有着显著的差别。因此,深入开展比例延迟微分系统的定性理论与数值解法的相关研究,无论在理论上还是实际应用上都具有极为重要的意义。因此近些年来很多学者致力于比例时滞微分方程数值解的研究,并且取得了比较丰富的研究成果。
具比例时滞神经网络属于比例时滞微分方程的范畴,鉴于其物理背景及自身输出函数的特殊性,研究具比例时滞神经网络的定性理论具有重要的理论意义及实践意义。在某种程度上推动了比例时滞微分方程理论体系的发展与完善。正如郑祖麻先生 [87] 曾指出:针对各种具体问题得到的具无界时滞的微分方程,利用经典分析方法给出详尽的研究是十分有意义的。
比例时滞微分方程的稳定性定义同一般的时滞微分方程的稳定性定义一致,但是求解比例时滞微分方程的方法和理论却有很大区别。原因在于比例时滞微分方程的时滞项是无界时滞,在某些方法直接应用时,无法直接处理无界时滞项,如一般的Lyapunov泛函方法。下面给出将比例时滞微分方程等价地转换为常时滞和变系数的微分方程的方法,为具比例时滞神经的动力学研究开辟了新思路。
1996年,Liu Y K [103] 通过非线性变换 y ( t )= x (e t )将线性比例时滞微分方程
转化为变系数常时滞微分方程
其中0< q <1, τ =-ln q >0。给出了研究比例时滞延迟微分方程的新途径。
1999年,KotoT [126] 利用 y ( t )= x (e t )把方程组
变为
设
H
是带内积 <·,·>和相应范数
的复希尔伯特空间,
X
是一个紧的连续嵌入
H
的子空间。2007年,GanS考虑如下比例时滞微分方程组
[112]
这里 q 是一个常数,满足0< q <1,且 g 满足
其中, α , β , γ 是实常数。
通过变量代换 y ( t )= x (e t ),式(1-13)能转变成如下常时滞微分方程组
其中, τ =-ln q >0,且
由式(1-14)和式(1-15),得
变量代换 y ( t )= x (e t )在比例时滞递归神经网络的动力学研究中起了非常重要的作用。
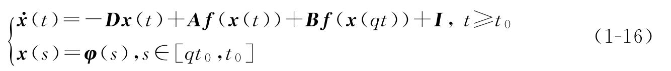
一般的具比例时滞神经网络(含一项比例时滞项)为
其中, t 0 ≥0,0< q ≤1, φ ( s )∈ C ([ qt 0 , t 0 ],ℝ n )。
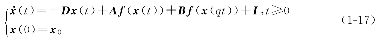
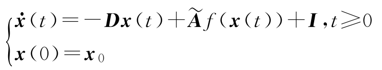
当 t 0 =0时,式(1-16)变成如下形式
其中, x 0 ∈ℝ n 是 x ( t )在 t 0 =0时的初始值,是常值向量。
取变量代换
对变量 t 求导,得
对于 t ≥ t 0 ,由式(1-16)和式(1-19),得
将式(1-18)代入式(1-20),得
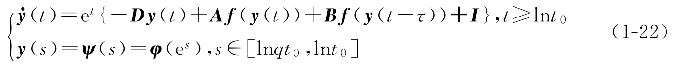
取 τ =-ln q ≥0,由式(1-21)和式(1-16),得
事实上,对于 t ≥ t 0 >0,由式(1-18),有e t ≥ t 0 ,进而得, t ≥ln t 0 。
分下面两种情况:①若 t 0 ∈(0,1),有ln t 0 <0;②若 t 0 ≥1,有ln t 0 ≥0。
在式(1-18)中,当 t ∈[ qt 0 , t 0 ]时,有 qt 0 ≤e t ≤ t 0 ,从而变换后的模型(1-22)中初值部分 t ∈[ln qt 0 ,ln t 0 ]。
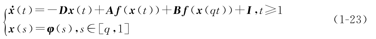
因此,又因为式(1-22)是常时滞变系数的神经网络,通常考虑非时滞部分从 t ≥0开始,时滞部分 t ∈[ -τ ,0]。于是为方便,本书取如下形式的具比例时滞神经网络模型。
式(1-23)经过式(1-18)变换后的等价模型为
容易验证式(1-23)和式(1-24)具有相同的平衡点,因此要求模型(1-23)的平衡点的稳定性,可通过讨论模型(1-24)的平衡点的稳定性来获得,但是模型(1-23)的平衡点的稳定性和(1-24)的平衡点的稳定性可能相同,也可能不同。
注1-1 当 q =1时,模型(1-17)和(1-23)是无时滞项的标准递归神经网络模型。
其中,
。换句话说,本书所得结果也适用于
q
=1的无时滞递归神经网络。