



1.多排锥螺旋管束固有特性计算
在分析多排锥螺旋管束的固有振动特性时,依据动态子结构原理,将每排管束以及管程的进水管、出水管分别作为系统独立的子结构,取三排螺旋管束作为示意(见图1-22)。
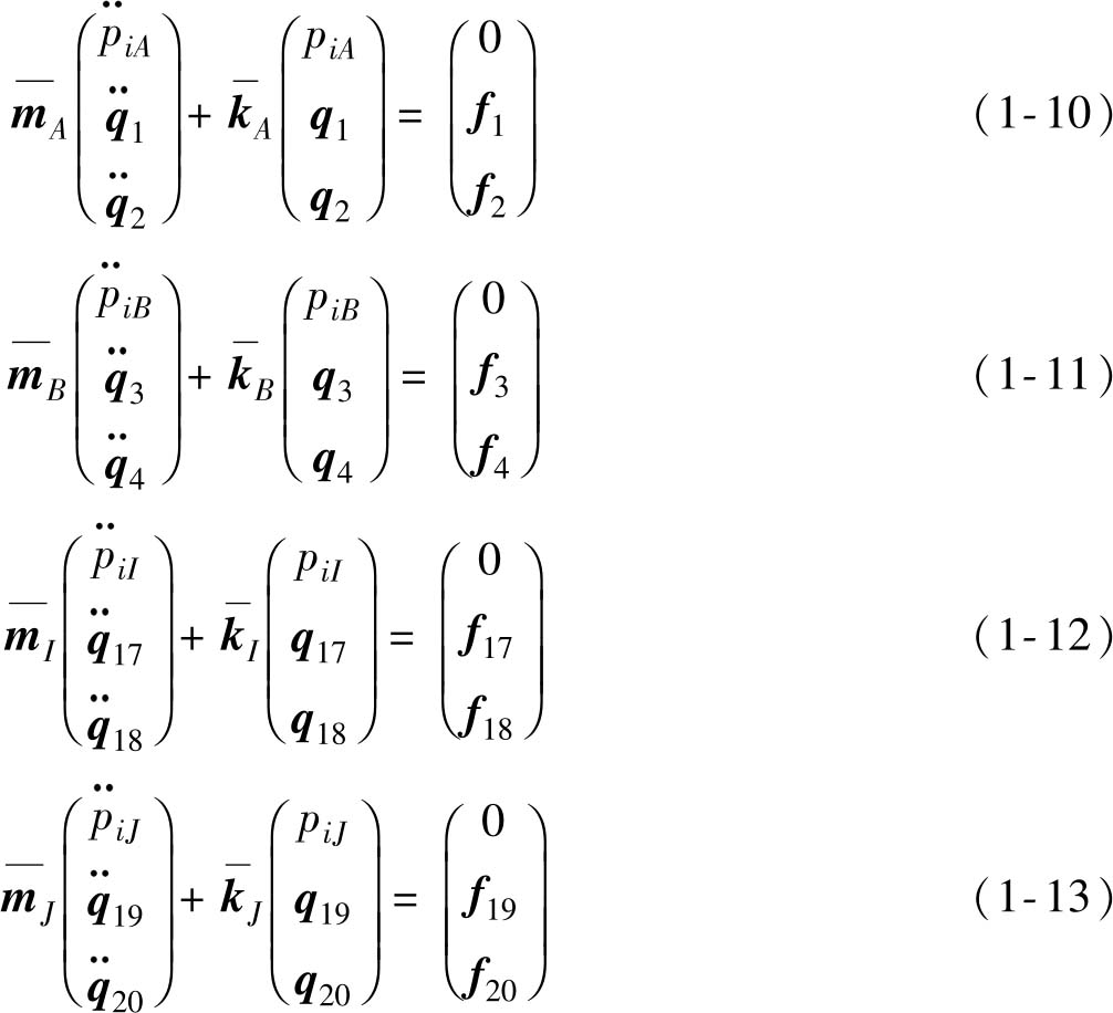
根据固定界面模态综合法,计算10排锥螺旋管束的固有特性。对10排锥螺旋管束的子结构以 A ~ J 分别命名。对于管程的进水管和出水管分别标记为 L 、 N 。管束与进水管及出水管之间的界面节点以1~20标记。由于每个子结构之间的主自由度界面上存在位移与力的约束,因此对锥螺旋管束子结构 A ,定义其界面节点坐标矢量为 q 1 、 q 2 ,相应的界面节点约束力为 f 1 、 f 2 。对于进水管 L ,由于其与各管排子的结构有10个界面节点,其坐标矢量为 q 1 、 q 3 、 q 5 、 q 7 、 q 9 、 q 11 、 q 13 、 q 15 、 q 17 和 q 19 。与之前单排管束的分析过程相似,每个节点的坐标矢量包含三个平动分量和三个转动分量,即 q i =( u i v i w i θ xi θ yi θ zi )。
 
    图1-22 多排锥螺旋管束的结构
利用超单元法求解单排螺旋管束的质量矩阵 m 和刚度矩阵 k ,通过静力方程求解其主模态和约束模态,利用主模态和约束模态组成变换矩阵,完成一次坐标变化,将锥螺旋管束的物理坐标转换为模态坐标,得到管束在模态坐标下的振动方程
 
   不同管排之间通过管程进水管和出水管连接为一体,对于进水管和出水管,其界面节点上的坐标矢量之间并不独立。例如针对进水管 L ,其10个界面节点的位移矢量可以通过 q 1 来表示,而出水管 N 界面节点的位移也可以用 q 2 来表示
 
   管程进水管和出水管在模态坐标下的振动方程为
 
   联立式(1-10)~式(1-19),不考虑各个子结构之间的耦合,得到10排锥螺旋管束整体结构的振动微分方程
 
   
    式中,
    
     
      F
     
    
    为子结构界面力的矢量;
     为子结构质量矩阵组成的对角矩阵;
    为子结构质量矩阵组成的对角矩阵;
     为子结构刚度矩阵组成的对角矩阵。
    为子结构刚度矩阵组成的对角矩阵。
   
与上一节单排管束的计算过程类似,通过定义独立的广义坐标,进行坐标变换,可以得到多排锥螺旋管束在模态坐标下的无阻尼振动方程
 
   式中, M 为管排总体质量矩阵; K 为管排总体刚度矩阵。
利用数值方法求解方程,然后经过两次返回坐标变换,得到多排锥螺旋管束的频率和振型。
2.多排管束的振型与频率分析
多排锥螺旋管束的固有频率见表1-10,通过分析管束的振型可知,多排锥螺旋管束的每一阶固有振型都对应着多个固有频率,即存在一个频率带。而且随着阶次的增加,其频率带变宽。多排管束的第 n 阶固有振型对应的固有频率数量约为2 n 个。
表1-10 多排锥螺旋管束固有频率
 
   多排锥螺旋管束的第1阶振型如图1-23a所示,存在1.2716Hz和1.7544Hz两个频率,其振动形式主要表现为进水管 L 和出水管 N 的弯曲振动,类似于悬臂梁的第1阶振型。多排锥螺旋管束的第2阶振型如图1-23b所示,表现为与螺旋管束一致的纵向伸缩振动。多排锥螺旋管束的第3阶振型如图1-23c所示,表现为相邻两排锥螺旋管束的反向振动。多排锥螺旋管束的第4阶振型如图1-23d所示,表现为各个螺旋管束不同方向的横向振动。
 
    图1-23 多排锥螺旋管束的固有振型