



1756年左右Leidenfrost给出了加热面水滴完全蒸发后留下的沉积物的观察报告,从此污垢进入人们的视野。如今污垢对换热器的影响已在航天、海洋、石油、化工等多个领域引起人们的关注。大到军事小至民用,污垢都以不同的形式影响着人们的生活。
早在20世纪初期,研究人员就逐渐尝试建立测量方法和物理量来表征污垢。1910年,Orrok首次提出了“清洁因子”的概念用以量化污垢对换热的影响,并将“清洁因子”引入换热设备的设计公式中。但是“清洁因子”忽略了污垢随时间的变化,从而导致在后续很长一段时间内,设备制造商及研究人员将污垢视为一个常数进行处理。同年,Neilson提出采用单一项热阻的形式表达污垢沉积对换热设备传热性能的影响。随着污垢研究的发展,人们逐渐意识到其在换热器设计中的重要性。1941年,根据经验汇总,TEMA列管式换热器制造商协会标准(第1版)首次公布了污垢因子数据表。直至20世纪70年代初其仍被普遍应用于换热设备的设计中。在20世纪50年代前,科学家对污垢的研究仍停留在较粗糙和工业化的水平,缺乏科学性的表达和描述。
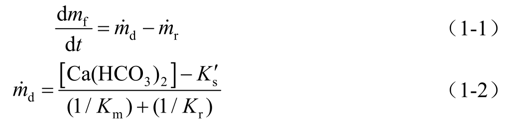
自20世纪50年代以后,全球范围内关于污垢的报道逐渐增加。1959年,Kern和Seaton对常数污垢因子存在的弊端进行了分析,首次尝试建立一个通用的颗粒污垢预测模型,称Kern-Seaton污垢模型,见式(1-1),认为净污垢量是颗粒沉积过程和去除过程共同作用的结果,该研究被视为现代污垢科学研究的里程碑。1962年,Hasson首次将污垢沉积作为传质过程进行处理,建立了换热表面碳酸钙析晶污垢的沉积数学模型,见式(1-2)。该模型不仅从机理角度上解释了析晶污垢现象,而且还提出了污垢反应速率常数的概念,是首个考虑了换热影响的污垢模型,对其研究意义重大。经过一年时间发酵,美国传热研究公司开始了壳管式换热器冷却水侧污垢问题的研究计划,展开了大量的研究工作,并引起了工业界及医学界的关注。在1969年,英国Winfrith原子能研究所,也启动了污垢研究计划。
从20世纪70年代开始,全世界范围内开展了较为系统的对污垢的结构、成分以及形成过程的研究,污垢研究的文献显著增多。1971年Reid研究了关于锅炉和燃气轮机的污垢沉积和腐蚀现象,发表了相关的经典性文献。1972年,Taborek总结了污垢的堆积过程以及影响因素,并通过堆积率和沉淀率来解释污垢的发展过程。1974年,Watkinson开始关注于粗糙表面污垢生长情况,并对内翅片管内表面的碳酸钙污垢进行了初步的探索。1978年,Knudsen等人发现影响污垢形成的因素多种多样,为此他们逐一分析,开展了一系列实验来测试分析冷却水塔中各因素的影响情况。1986年Watkinson调查研究了硬水的水质对污垢的影响。20世纪70年代末至80年代初,先后召开多次与污垢研究有关的学术会议。在第六届国际传热大会上,Epstein对过去近20年来(1960—1978年)的170多篇关于污垢研究的文献做了系统的评述,并根据污垢的形成过程将其分为六类。第一次换热设备污垢的国际学术会议在1979年召开,会上根据Epstein的分类,对各类污垢的共同特性做了相关研究和报告。此次会议的论文集是之后污垢研究的重要参考之一。时隔两年,第二次换热设备污垢学术会议召开,会上提出了一些很有价值的研究报告,这一时期是污垢研究的兴盛期。在1985年左右,HTRI和TEMA两个组织合作对之前TEMA推荐的换热器污垢系数值进行了修正和补充。直至今日,壳管式换热器的设计以及评价标准仍然采用该参考方式——仅给予附加固定的污垢热阻值,缺乏流动条件、水质以及换热器结构尺寸的考虑。TEMA也提供了一些指导工业应用的经验方法。有学者对换热站的板式换热器中的污垢热阻进行了实际测量,其结果可供借鉴。但是这些基于特殊场合以及条件下的污垢系数不能直接应用于热泵系统的设计。
20世纪80年代以后,研究者们主要从污垢形成理论与实验研究、污垢监测技术、污垢对策这三个方向对污垢展开相关研究。对污垢形成过程的理论分析和实验研究,主要目的在于为换热设备的设计者和使用者们提供一个实用而准确的通用污垢预测模型。其中,Epstein以矩阵式做了形象的概括,为污垢的研究进一步指明方向。Zubair等人首次尝试建立碳酸钙析晶污垢的统计模型,而非描述污垢堆积过程的传统模型。由于污垢是多相流体在动量、能量和质量传递等多种过程同时存在的情况下,在表面流动过程中形成的,因此分析时还要涉及化学动力学、胶体化学、统计力学甚至表面科学等多学科的理论知识。对于这样一个多学科交叉问题,其研究工作难度很大。
直到1986年,对污垢特性依然无法进行准确的预测。由于理论模型中用到的诸如附着概率、污垢的黏合系数、水质因素等参数很难直接测定,同时实验中得到的污垢热阻值难以与诸如换热器几何特性、粒子直径、运行工况等影响污垢堆积的一些可测参数直接相关,所以还不能对目前的一些理论模型直接进行验证并用以指导实际。自20世纪90年代以来,由于强化换热技术在实际使用中取得了良好的能源收益,其使用范围也迅速扩大,对于换热面污垢的研究也从平整光滑的表面正式转移到了结构多样化的粗糙表面。
经过几十年的发展,特别是近20年来各国科学工作者和工程技术人员的共同努力,人们对污垢形成的基本物理化学过程有了深刻理解,对于运行参数(如流体速度、温度和浓度)对污垢形成影响的认识,积累了许多资料和实验数据。但是,时至今日,在换热器的使用过程中,设计者依然只能利用经验数据进行粗略计算,从而造成设计冗余过大,给运行、维护工作带来一系列阻碍。
目前,观察到的水侧污垢可分为六类:颗粒污垢、析晶污垢、化学反应污垢、腐蚀污垢、生物污垢和结冰污垢。其中析晶污垢是构成污垢的主要成分,对工业界的危害最大。上述各类污垢之间都存在或强或弱的相互作用和协同效应,研究起来极为复杂。
1.实验研究
由于结垢是一个缓慢的过程,为了能在短时间内获得明显的污垢沉积结果,研究人员通常仅针对某一特定条件采用加速实验来研究颗粒污垢的生长规律。Robert在115~187mg/L的碳酸钙碱度条件下,通过加速实验研究了碱度对传热表面结垢行为的影响。污垢的沉积量并不取决于沉积前期的“延迟时间”(即诱导期),而是由冷却塔中水的组成成分决定的。研究人员还以光管为基准通过加速颗粒污垢实验对比分析了各类强化管的结垢性能。Watkinson对比分析了在应用实验冷却塔水时(碳酸钙悬浮颗粒)不同强化管和光管的抗垢性能,由实验结果可知内翅片管的渐近污垢热阻约为光管的1.2倍;而纵向翅片管的积垢量与光管基本相同。Kim和Webb发现氧化铁(粒径为2.11μm)和氧化铝颗粒(粒径为1.75μm)在水冷冷凝器横肋管内表面(0.015≤ e / D ≤0.030、10≤ p / e ≤20)的污垢沉积量随 e / D 的减小、 p / e 的增大而增大,且当雷诺数 Re 为26000时横肋管与光管的渐近污垢热阻值相近。Webb对具有斜截锥三维肋柱的强化管进行加速颗粒污垢实验,结果显示所测三维强化管的传热性能优于二维强化管,但其抗垢性能却劣于二维强化管及光管。
由实际工程可知,污垢是一个受多种因素共同影响的复杂变量,因此研究人员针对影响颗粒污垢沉积的各个因素——颗粒浓度、粒径、换热面表面涂层、表面粗糙度、流体性质、换热面温度等开展了实验研究。Chamra和Webb的研究发现强化换热管和光管的渐近污垢热阻随流速(1.22~2.44m/s)及颗粒粒径(2μm、4μm、16μm)的增大而减小,而随颗粒物浓度(800~2000mg/L)的增大而增大,此外,他们还基于实验数据,建立了适用于Korodense型强化管和NW型强化管的渐近污垢热阻半经验关系式。Yang等发现在换热面上二氧化硅颗粒污垢沉积率随颗粒粒径(10~50μm)及浓度(300~500mg/L)的增大而增大,在相同的测试条件下不同颗粒污垢对应的渐近污垢热阻值排序为SiO 2 >CaCO 3 >CaSO 4 >MgO。此外还发现,由于颗粒的协同作用,混合污垢(由两种颗粒污垢组成)的孔隙率比单一颗粒污垢低。东北电力大学徐志明教授及其团队细致地研究了四面体涡流发生器几何尺寸,矩形翼涡流发生器排列布局、表面结构(有无开孔及开孔尺寸位置等)、低肋涡流发生器等对氧化镁颗粒污垢沉积的影响,其测试数据扩充了污垢研究领域的成果。
2.理论分析
基于加速颗粒污垢的实验数据,一些强化管表面污垢预测模型在Kern-Seaton模型的基础上得到了初步的发展。基于污垢数据,浙江大学李蔚教授不仅提出了面积指标及能效指标的概念,建立了渐近污垢热阻比关于面积指标( β )与能效指标( η )乘积的分段半理论关联式,还强调了基准面积的选择在污垢热阻计算过程中的重要性。此外,李蔚教授采用Von-Karman类比、Chilton-Colburn类比、Prandtl类比的方法计算污垢模型中的传质系数,并基于此发展了一系列污垢热阻计算关联式,研究表明Von-Karman类比为其中最优的类比方式。他们还采用平均粒径为3μm的氧化铝颗粒开展加速实验,探究了颗粒污垢在5根内螺纹强化管内( D i =15.54mm、18≤ N s ≤45、0.33mm≤ e ≤0.55mm、25°≤ α ≤45°)的沉积情况,并提出了污垢过程指标( σ )的概念用以预测颗粒污垢的生长过程。研究聚焦污垢热阻,通过拟合方式构建具有实际物理意义的污垢预测模型,对于进一步系统化污垢特性具有重要的推动作用。
3.模拟研究
随着计算机技术的发展,数值模拟在污垢领域也得到了广泛的应用。李蔚等人模拟了肋高、螺纹数、螺旋角变化对内螺纹强化管传热系数及摩擦系数的影响,该研究在一定程度上反映了微肋几何尺寸对污垢的影响规律,但并未直接计算得出强化管(对应不同微肋几何参数)的渐近污垢热阻值,仍存在一定的局限性。Kasper等人提出了一种多相流欧拉-拉格朗日法用于模拟换热表面颗粒污垢的沉积。模拟结果表明,内凹半球形结构内部存在非对称涡结构流场,致使该结构具有明显的抑垢效果。韩志敏等基于计算流体力学模拟,提出并验证了一种用于预测颗粒污垢生长的欧拉模型(适用于湍流运动),并对比分析了欧拉模型与拉格朗日模型的利弊。他们还以空气侧颗粒无量纲沉积速率为基础修正了液侧颗粒的沉积计算公式,针对缩放管及光管探讨了颗粒浓度及流速对氧化镁颗粒污垢沉积的影响。张宁等人采用Fluent软件开展了颗粒污垢研究,由模拟可知二氧化硅颗粒污垢的沉积率随光管表面粗糙度的增大而增大,且粗糙度越大,达到渐近污垢热阻值所需的时间越长。
1.实验研究
换热管内表面CaSO 4 析晶污垢的沉积断面图如图1—7所示,水系统中碳酸钙(CaCO 3 )、硫酸钙(CaSO 4 )为逆溶解性盐,会在换热面上不断受热沉积,是现阶段析晶污垢实验中较为普遍的研究对象。通常利用以下反应方程式配置实验用碳酸钙、硫酸钙溶液。
图1—7 换热管内表面CaSO 4 析晶污垢的沉积断面图(对应不同轴向位置)
针对换热表面析晶污垢的形成机理,1968年,Hasson等人首次指出在非沸点温度下(67~85℃)碳酸钙的沉积主要是由钙离子和碳酸氢根离子的正向扩散速率控制。在此基础上,Pääkkönen等人总结了碳酸钙析晶污垢的沉积及去除机理:离子到换热表面的传质;表面反应,其中离子的附着概率;取决于流体在换热表面的滞留时间;污垢层内的去除。
关于换热表面析晶污垢的生长曲线,Albert等人以硫酸钙溶液为研究对象,解释了析晶污垢生长过程中由换热面粗糙度增加而导致的负污垢热阻现象。Geddert等人则通过实验探索了换热表面参数(表面粗糙度、形态、表面自由能)对硫酸钙析晶污垢诱导期的影响,结果表明换热表面越光滑非均质析晶越少,诱导期随平均表面粗糙度的减小而延长。针对强化换热管表面的析晶污垢,Watkinson等人利用碳酸钙溶液对强化管和光管进行研究,并发现当流速大于0.91m/s时,由于二次流的存在导致螺纹槽管表面的析晶污垢结垢率低于光管。他还发现碳酸钙析晶污垢主要出现在外置翅片软钢管的管体表面上,因此其具有较低的结垢率,且流速越大钢管表面析晶污垢的热阻越低(当流速大于0.3m/s时)。
研究人员普遍认为析晶污垢受温度、溶液水质、流速、换热面表面性质等多种因素共同影响,并对此展开了细致分析。其中,Al-Otaibi等人讨论了温度的影响,发现逆溶解性盐溶液产生的析晶污垢量随换热面温度的升高而增大。针对水质条件,Al-Gailani等人发现饮用水内氯离子和钠离子含量的增多会增强传热表面的水侧结垢行为。此外,Song等人综合了水侧溶液浓度、流速、温度以及换热面V形角度对板式换热器表面碳酸钙和硫酸钙混合污垢的影响。相较于水侧溶液浓度和换热面V形角度,流速和温度是影响该混合污垢沉积的主要控制因素。Dong等人分析讨论了析晶颗粒对硫酸钙溶液结垢特性的影响,研究表明当雷诺数 Re 小于57600时污垢沉积过程主要受析晶颗粒扩散控制,渐近污垢热阻随雷诺数的增大而增大;而当 Re 大于57600时,结垢过程主要受去除率控制。对于换热面表面性质,Teng等人研究了表面金属材料(黄铜、铜、铝、碳钢、不锈钢)、流速(0.15m/s、0.3m/s、0.45m/s)、浓度(300mg/L、400mg/L、500mg/L)以及热流体入口温度(50℃、60℃、70℃)对套管式换热器换热表面碳酸钙析晶污垢(或混合污垢)沉积的影响。由实验可知,金属材料铜对应的污垢沉积量最大,而316不锈钢表面沉积的污垢量最少。在不锈钢换热表面碳酸钙的沉积量随浓度、热流体入口温度的增大而增大,但却与流速呈负相关。在300mg/L、400mg/L的浓度条件下,碳酸钙污垢呈正交晶体结构,当浓度为500mg/L时,碳酸钙污垢为颗粒与结晶共同组成的混合污垢。
部分研究人员还针对析晶污垢与其他类型污垢(腐蚀污垢、颗粒污垢等)共同组成的混合污垢展开实验研究。李蔚教授针对四种表面几何参数完全不同的波纹板式换热器研究了氧化铝颗粒污垢与碳酸钙析晶污垢的相互作用关系,实验结果表明颗粒的存在促进了析晶污垢的生长,而晶体的存在为颗粒污垢提供了更大的沉积面积。
2.理论分析
由现有文献可知,换热表面析晶污垢的沉积过程(不考虑去除过程)主要由传质及附着两种作用机制控制。为表征上述两个过程,Hasson等人给出了离子的传输模型,见式(1-5)。此外,由于附着过程涉及晶体非均相成核、晶粒生长等多个复杂的过程,因此通常采用表面反应模型简化地表达离子在晶格内的附着过程,见式(1-6)。
基于上述研究,Taborek等人进一步发展了Kern-Seaton污垢模型,初步建立了冷却塔水系统中析晶污垢的沉积模型,其中沉积率见式(1-7)。Mwaba等人建立了换热表面析晶污垢的半经验关联式,给出了污垢热阻随时间的变化规律,以及其与污垢层生长阶段的对应关系。Nikoo等人将表面能引入通用的析晶结垢模型,建立了剪切强度与附着功的数学关联式,发现沉积物与换热表面的相互作用能越大,污垢沉积率越小,见式(1-8)。
此外,Babuška等人提出了一种综合考虑碳酸钙污垢老化及污垢层温度分布的BO(break-off)污垢模型,还原了污垢生长曲线达到稳定值后的锯齿形波动。Lugo-Granados等人针对管式热交换器建立并验证了与溶液浓度、温度、pH值、流速、换热器长度、运行时间相关的析晶污垢理论预测模型,分析了污垢层厚度随换热器长度的变化规律,并从惯性力与黏性力角度解释了流速对污垢沉积量的影响。Souza和Costa针对整套冷却塔系统(包括冷却塔、水泵、相互连接的管段及一套壳管式换热器)建立了污垢模型,并通过差分能量及机械能平衡来确定换热表面污垢的分布情况。
3.模拟研究
污垢层结垢的扫描电镜图如图1—8所示,由于析晶污垢层结构复杂,在现有的模拟研究中通常采用不同的方法对污垢层进行处理。孙卓辉指出硫酸钙在换热表面以混合污垢(颗粒与析晶污垢)的形式沉积,提出了硫酸钙析晶-颗粒沉积混合污垢模型,并采用“虚拟污垢法”模拟研究了流速、污垢表面温度以及过饱和度对换热面结垢的影响。结果表明,当污垢表面温度保持不变时,硫酸钙结垢率随流速的增大而增大;然而当保持热流密度不变时,硫酸钙结垢率随流速的增大而降低。由于“虚拟污垢法”并未考虑污垢层厚度对流场的影响,张蕊考虑了污垢层厚度的变化,提出了“非虚拟污垢法”,分析了矩形管道及缩放管内硫酸钙的结垢过程。在析晶污垢的模拟研究中,大部分研究人员通常将污垢层假设为流体不可渗透的均质多孔介质,Xiao等人在此基础上提出了四种简化的污垢层表征结构,并建立了用于描述污垢层(多孔介质)的对流换热模型。模拟结果表明,在析晶污垢数值模拟中推荐使用HePe(流体可渗透的非均质多孔结构)表征结构,从而更真实地还原实际污垢层结构。
图1—8 污垢层结垢的扫描电镜图
此外,针对析晶污垢的各类影响因素,研究人员也开展了系统化的模拟研究。其中,Crittenden等人研究了碳酸盐溶液浓度、温度、表面几何参数对换热面结垢性能的影响。徐志明教授先后采用CFD数值模拟研究了强化管内各运行工况、丁胞型圆管、矩形通道内圆形楞涡流发生器结构、半球型涡流发生器结构对硫酸钙析晶污垢沉积的影响;还针对电场作用、圆管内三角翼涡流发生器的布局、几何尺寸等影响因素对碳酸钙析晶污垢展开了一系列研究工作。
近些年除了CFD数值模拟外,神经网络法也逐渐被应用于污垢研究。Wen等人提出了多分辨率小波神经网络的方法,用于预测板式换热器表面的污垢沉积,由模拟结果可知该方法在提高工业污垢模型的准确性上显示出良好的性能。Sundar等人基于深度学习,开发了一种广义的、可扩展的统计模型,利用工业换热器常用的测量参数预测污垢热阻。神经网络虽然具有较高的精度,但其在污垢研究中的应用仍处于起步阶段,相关的文献较少。
由于非加速污垢实验具有实验周期长、实验控制难度大等缺点,在现有文献中大多基于加速实验研究,仅有少数的研究人员开展了长期污垢实验,从而导致长期污垢数据的匮乏。Rabas等人首次记录了12台TVA电厂冷凝器(其中9台内安装了螺旋槽管)连续运行一年后的水侧污垢热阻数据。其中测试用冷却水为河水,电厂采用闭式冷却塔散热,其水质条件受外界环境的影响较小。污垢结果显示,强化换热管的结垢率约为光管的两倍,且其对应的污垢热阻值均小于TEMA标准中的推荐最小值。Haider等人通过水质分析及长期污垢实验研究发现浸没式水冷蒸发器换热表面基本没有污垢沉积。Webb和李蔚首次针对实际开式冷却塔系统中冷凝器内的内螺纹强化管开展长期污垢测试实验,实验用内螺纹强化管的微肋几何尺寸范围为10≤ N s ≤45、2.81≤ p/e ≤9.77,流速条件为1.07m/s,总钙硬度约为800mg/L,实验周期为2500h,其中具有最大渐近污垢热阻的测试管对应的螺纹数及螺旋角最大,李蔚还基于此数据建立了一个多元线性能量损耗回归关联式。在ASHRAE RP-1345项目中,Cremaschi等人针对实际冷却塔系统中钎焊式板式换热器(BPHE)水侧污垢开展了为期两个月的实验研究,由实验结果可知相较于具有硬波纹角的钎焊式板式换热器而言,具有软波纹角的BPHE虽然在洁净状态下对应的泵功损耗较小,但其结构却降低了换热面的抗垢性能。近年来,Kukulka等人利用地表水针对不锈钢强化换热管开展了长期污垢测试。该实验为水-水换热,管内为加热后的地表水,其入口温度约为21℃,管外冷流体温度与湖水温度一致。在连续运行第90天后,普通光管的污垢沉积量约为强化换热管的4倍,这是因为强化管表面结构加强了流体的二次流强度,从而起到了清洁作用。
强化换热表面水侧污垢问题一直都是备受关注的热点问题。污垢问题虽然已有较长的研究历史,但是混合污垢的生长理论和长期污垢测试实验研究非常缺乏。下面是目前针对冷却塔系统中强化管表面混合污垢的研究存在的问题。
(1)实验研究 现有加速颗粒污垢测试的实验工况(水质条件较差且流速条件过高)与典型冷却塔系统的运行工况不同,且研究对象单一(仅研究颗粒污垢或析晶污垢),并忽略各类污垢间的相互作用,因此现有实验研究无法真实地还原强化管内表面的污垢生长状态。与此同时,由于实际非加速污垢测试实验难度大、精度要求高,该类数据仍然非常匮乏,严重阻碍了该领域的发展。此外,混合污垢的生长是一个十分复杂的过程,但目前针对混合污垢宏观生长特性的实验研究存在实验工况不成体系、零乱不一的弊端,其影响因素并未得到系统性的讨论。
(2)理论分析 现有的污垢预测模型主要分为两大类:第一类是基于加速颗粒污垢数据建立的半经验公式,该类模型没有综合考虑测试管表面微肋几何参数、流速、水质等条件对混合污垢沉积过程的影响,仅适用于某一种特定工况,其计算精度相对较低,不具备普适性;第二类是通过假设及理论推导获得的污垢热阻计算公式,该类模型内具有较多在实际工程中很难获取的物理量,实际应用价值受到局限。与此同时,现有行业标准及换热器指导手册内提供的污垢因子在指导现代壳管式冷凝器换热尺寸的设计过程中表现出较大的误差,致使换热器面积选取不当。综上所述,现有污垢预测模型及标准手册在实际工程应用中都存在一定的局限性。
(3)模拟研究 主要集中讨论外界运行条件或换热面材料对颗粒污垢(或析晶污垢)沉积的影响,而关于内螺纹强化管表面微肋几何参数的研究较少且以实验研究为主。由于表面微肋几何参数由多个变量共同组成,研究人员很难通过数量有限的实验直观找到污垢热阻随某单一表面微肋几何参数的变化规律,通常仅能靠极值之间的差异推导其影响。与此同时,实测实验结果无法从本质上解释污垢的沉积现象,需要开展系统的数值模拟分析。然而,由于内螺纹强化管表面微肋几何形状特殊,建模难度较大,关于内螺纹强化管的数值模拟研究较少,且部分研究也是针对其换热特性展开的。因此针对内螺纹强化管开展数值模拟研究,确定各表面微肋几何参数对污垢沉积的影响作用是一个需要研究的问题。